Скачать презентацию Creep-Resistant Steels Success and Failure of Models H Скачать презентацию Creep-Resistant Steels Success and Failure of Models H

dd9c2d6b869f2bba6bd95a94734c42c4.ppt

  • Количество слайдов: 42

Creep-Resistant Steels Success and Failure of Models H. K. D. H. Bhadeshia T. Sourmail Creep-Resistant Steels Success and Failure of Models H. K. D. H. Bhadeshia T. Sourmail

Z-phase, inaccurate data Z-phase, inaccurate data

2. 25 Cr 1 Mo 600°C 2. 25 Cr 1 Mo 600°C

Yamasaki & Bhadeshia, 2003 Yamasaki & Bhadeshia, 2003

x x

Coarsening diffusion flux r concentration 1 q r 2 a aq cr 1 q Coarsening diffusion flux r concentration 1 q r 2 a aq cr 1 q aq cr 2 distance

Mean radius / m 10 -6 10 -7 10 -8 10 -9 1/3 1/2 Mean radius / m 10 -6 10 -7 10 -8 10 -9 1/3 1/2 10 3 10 4 10 5 10 6 10 7 10 8 10 9 10 10 Fujita & Bhadeshia, 2000 18 m -3 4 2 10 Number density Time / s 0 2 10 10 3 10 4 10 5 10 6 10 Time / s 7

10 1 Data from Abe, 1999 M_23 C_6 size / µm 0 W 1 10 1 Data from Abe, 1999 M_23 C_6 size / µm 0 W 1 W 2 W 4 W 10 10 -1 10 Fe-9 Cr-W alloys 0 -2 10 1 10 2 10 3 Time at 600 °C / h 10 4

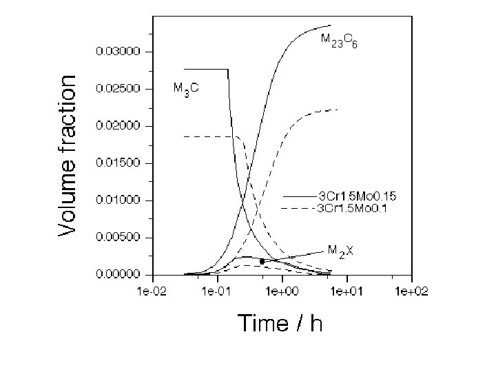
Mole fraction of phase 0. 03 M_23 C_6 0. 02 0. 01 0. 00 Mole fraction of phase 0. 03 M_23 C_6 0. 02 0. 01 0. 00 Laves phase 0 1 2 3 Tungsten / wt% 4 5

Multicomponent coarsening Venugopalan & Kirkaldy, 1978 Multicomponent coarsening Venugopalan & Kirkaldy, 1978

Effective diffusivity / m s 2 -1 Coarsening accelerated by tungsten 1. 8 e-19 Effective diffusivity / m s 2 -1 Coarsening accelerated by tungsten 1. 8 e-19 chromium alone 1. 7 e-19 1. 6 e-19 multicomponent 1. 5 e-19 0 1 2 3 4 Tungsten / wt% 5

concentration in ferrite Multiphase coarsening ? Laves q q distance concentration in ferrite Multiphase coarsening ? Laves q q distance

Parametric methods Parametric methods

Alloys designed at Cambridge University and made by Nippon Steel Alloys designed at Cambridge University and made by Nippon Steel

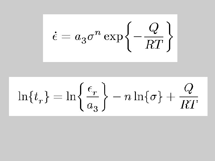
Data from Manoir Industries Rupture stress / MPa 9 Cr 1 Mo type steel Data from Manoir Industries Rupture stress / MPa 9 Cr 1 Mo type steel (Z 1092, 600 °C) 300 200 100 0 0 1 2 3 log (life / h) 4 5

Linkweld Project, Siemens Power Generation W 5397 Weld Metal Rupture at 570 °C 500 Linkweld Project, Siemens Power Generation W 5397 Weld Metal Rupture at 570 °C 500 400 300 200 100 0 2 3 4 5 log(life / h) 6 Cole and Bhadeshia, 2000

Components of Creep Strength 2. 25 Cr 1 Mo 550 °C iron + microstructure Components of Creep Strength 2. 25 Cr 1 Mo 550 °C iron + microstructure solid solution precipitates 600 °C Murugananth & Bhadeshia, 2001

Source code Compiled programs Web-based calculators www. msm. cam. ac. uk/phase-trans Source code Compiled programs Web-based calculators www. msm. cam. ac. uk/phase-trans

Nonaka, Ito, Ohba and Abe, this meeting, p. 401 Nonaka, Ito, Ohba and Abe, this meeting, p. 401

www. msm. cam. ac. uk/phase-trans www. msm. cam. ac. uk/phase-trans