c55e62d148d09bee84f01ea642f4ca51.ppt
- Количество слайдов: 26
Confinement and Bags Governed by SSB of Scale Invariance (E. G. Int. J. Mod. Phys. A 28, 4195, 2010) Eduardo Guendelman Ben Gurion University, Israel MIAMI 2010, December 12 -19, 2010, Fort Lauderdale
Bag Picture: confined phase, deconfined phases have different vacuum energy densities. Gauge Fields have a regular dynamics “inside the bags”, where the vacuum energy density is bigger, while prevented to be outside the bags where vacuum energy density is lower. Can we correlate naturally “from first principles” the vacuum energy dynamis and the confinement dynamics? . We claim here the answer is YES and the natural theoretical framework is the. TWO MEASURES THEORY (TMT)
Bag picture of “constituent quarks” The bags we are taking about may not be full hadrons, the bags could be indeed charged, or in the QCD terminology “coloured”. We could have a bare quark inside the bag, where the gauge field dynamics is “regular” and outside that bag, the gauge field dynamics changes to “confing”, there will be a linear confining potential between these bags representing Constituent Quarks.
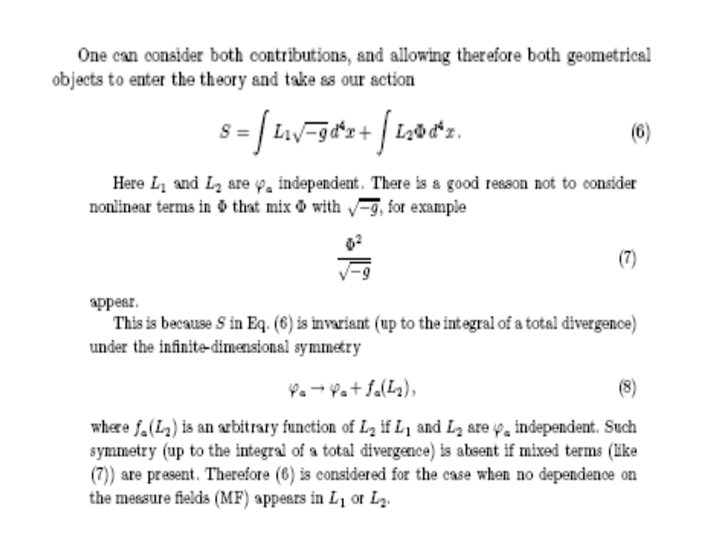
The Basic Idea of the Two Measures Theory (TMT)
Softly Broken Conformal Invariance, simple example
Effective Potential for Exponential forms of U and V (scale invariance)
The two phase structure
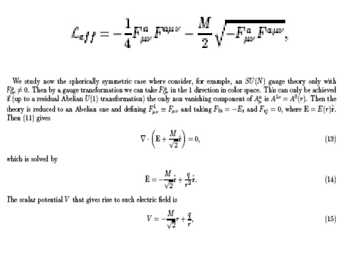
Confinement, through the “Confinement term” • This consists of adding to the standard action density of the gauge fields, which is the sum of the squares of the field strengths, the “Confinement term”, which is a term proportional to the square root of the sum of the squares of the field strengths, that is we consider, first ignoring issues of general coordinate invariance and conformal invariance (this is where TMT enters),
Confinement terms in TMT
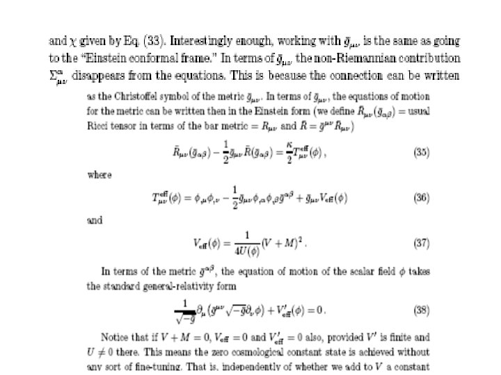
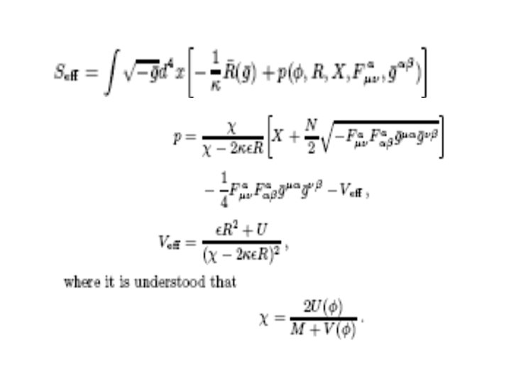
Physics in the Einstein Frame • It is possible to very economically describe the physics in the Einstein Frame, using the bar metric in terms of an effective action. Denoting also as X the scalar kinetic term in the Einstein frame, the effective action is
In conclusion
In the framework of TMT The “CONFINEMENT TERM” appears as the natural coupling of the gauge fields to the new measure
c55e62d148d09bee84f01ea642f4ca51.ppt