Скачать презентацию Чистая приведенная стоимость Чистая приведенная стоимость Скачать презентацию Чистая приведенная стоимость Чистая приведенная стоимость

Экономическая оценка.ppt

  • Количество слайдов: 24

Чистая приведенная стоимость Чистая приведенная стоимость

Чистая приведенная стоимость Чистая приведенная стоимость

Чистая приведенная стоимость Чистая приведенная стоимость

 • - выраженные в текущих ценах результаты в году t, соответственно для инвестора • - выраженные в текущих ценах результаты в году t, соответственно для инвестора (индекс 1), разработчика (2), предприятия (3) и государства (4); • - выраженные в текущих ценах затраты в году t для соответствующих участников проекта;

Метод фактора аннуитета. Пусть инвестиции осуществляются один раз в году t=0, доходы и расходы Метод фактора аннуитета. Пусть инвестиции осуществляются один раз в году t=0, доходы и расходы по годам не меняются,

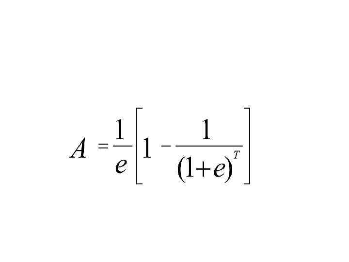
Метод фактора аннуитета Метод фактора аннуитета

А –текущая стоимость фактора аннуитета А –текущая стоимость фактора аннуитета

Пример 1. • Пусть имеется 4 варианта (j) вложения инвестиций в разные технологии, ежегодные Пример 1. • Пусть имеется 4 варианта (j) вложения инвестиций в разные технологии, ежегодные доходы (i = 1 - инвестор, i = 2 - разработчик, i = 3 - предприятие, i = 4 - государство), эксплуатационные расходы - разовые вложения в году t = 0. Для простоты расчетов примем, что жизненный цикл проектов равен 8 лет, а норма дисконтирования e = 0, 14.

 • Определить чистую приведенную стоимость по вариантам и выявить наиболее выгодный • Определить чистую приведенную стоимость по вариантам и выявить наиболее выгодный

Варианты вложения инвестиций Параметры j=1 j=2 2000 - - 4000 - j=3 3000 j=4 Варианты вложения инвестиций Параметры j=1 j=2 2000 - - 4000 - j=3 3000 j=4 - - - 3000 8000

Параметры Варианты вложений инвестиций j=1 j=2 200 - - j=3 j=4 600 - 500 Параметры Варианты вложений инвестиций j=1 j=2 200 - - j=3 j=4 600 - 500 480 1500 800 1500 320 500 600 2000

Параметры Варианты вложений инвестиций j=1 j=2 j=3 j=4 - - 200 - - 300 Параметры Варианты вложений инвестиций j=1 j=2 j=3 j=4 - - 200 - - 300 500 800 400 1000 - 300 200 800

Результаты расчета J=1 J=2 J=3 J=4 ЧПС 320 176 -432 816 ЧПС(С) 0, 13 Результаты расчета J=1 J=2 J=3 J=4 ЧПС 320 176 -432 816 ЧПС(С) 0, 13 0, 03 - 0, 08 РЗ 0, 4 - 0, 4

Внутренняя норма возврата (отдачи, доходности, прибыли) Под внутренней нормой возврата понимается такое значение нормы Внутренняя норма возврата (отдачи, доходности, прибыли) Под внутренней нормой возврата понимается такое значение нормы дисконтирования, при которой чистая приведенная стоимость равна нулю (ЧПС(е)=0)

Взаимосвязь нормы дисконтирования e и ЧПС Взаимосвязь нормы дисконтирования e и ЧПС

Соотношение результатов и затрат (РЗ). Соотношение результатов и затрат (РЗ).

Соотношение чистой приведенной стоимости и затрат (ЧПС(С)) Соотношение чистой приведенной стоимости и затрат (ЧПС(С))

Cрок возврата инвестиций. Период времени, в течение которого первоначальные инвестиционные затраты компенсируются получаемыми прибылями. Cрок возврата инвестиций. Период времени, в течение которого первоначальные инвестиционные затраты компенсируются получаемыми прибылями. Решается уравнение При этом определенный срок возврата сопоставляется с некоторым "стандартом" t.

Точка безубыточности. • Определяются пороговые значения объемов продаж продукции V, при которых проект остается Точка безубыточности. • Определяются пороговые значения объемов продаж продукции V, при которых проект остается еще прибыльным, т. е. выполняется условие ЧПС(V) = 0. При этом все затраты разделяются на постоянные (не зависящие от объема продаж) и переменные (пропорциональные выпуску продукции).

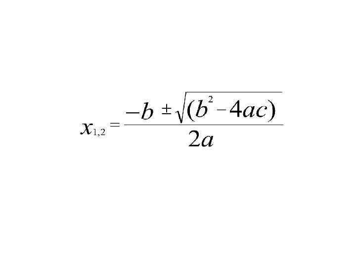
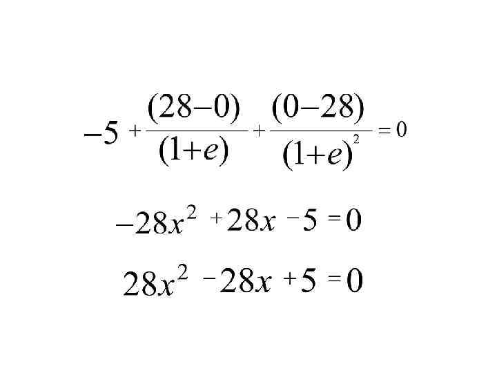
Пример 2. • Пусть рассматривается проект внедрения технологии в некоторую отрасль промышленности. Примем, что Пример 2. • Пусть рассматривается проект внедрения технологии в некоторую отрасль промышленности. Примем, что разовые инвестиции равны 5 млн. руб. Жизненный цикл проекта 2 года. В первый год доход от продажи составляет 28 млн. руб. , а во второй год производятся затраты, связанные с экологическим восстановлением окружающей среды в размере 28 млн. руб. Определить внутреннюю норму возврата.

 • X 1=0, 77 • x 2 =0, 23 • X 1=0, 77 • x 2 =0, 23