3_Bessel_13.ppt
- Количество слайдов: 20
Часть II 6. Частное решение обыкновенного дифференциального уравнения с - функцией в правой части Пусть обыкновенное дифференциальное уравнение имеет вид - заданные числа, Будем искать частное решение . Найдем первую производную : в виде
Производная является кусочно-непрерывной, дифференцируемой функцией и имеет скачок при , равный Тогда Подставим в исходное дифференциальное уравнение, получим. Откуда Ответ 2
Часть III 7. Функции Бесселя - дифференциальное уравнение Бесселя – параметр – переменная В курсовой работе будем рассматривать только случаи – целое число, – действительная переменная. Определение Всякое решение уравнения Бесселя, не равное тождественно нулю, называется цилиндрической функцией Цилиндрическая функция порядка обозначаетс я 3
Общее решение уравнения Бесселя Рассмотрим наиболее известные цилиндрические функции - функция Бесселя первого рода порядка -функция Бесселя второго рода порядка или функция Неймана - общее решение уравнения Бесселя - произвольные коэффициенты 4
Рекуррентные соотношения для цилиндрических функций представление через сумму производная . понижение степени повышение степени интеграл 5
Все функции Бесселя первого рода с целыми индексами m и для действительной переменной z выражаются через и В дальнейшем будем использовать вместо z действительную переменную x Частный случаи свойства 1 для различных m . 6
Частный случаи других свойство 2, m=0 свойство 3, m=1 свойство 6, m=2 7
Некоторые интегральные формулы, содержащие функции Бесселя первого рода Нули цилиндрических функций Функция Бесселя первого рода имеет бесконечное число действительных нулей 8
Графики функций Бесселя первого рода при : , 9
Графики функций Бесселя второго рода – функции Неймана 10
Ортогональность функций Бесселя первого рода относительно веса – два различных корня функции Условие ортогональности функций и , с весом - cистема ортогональных функций с весом , , на промежутке [0, 1] – положительные нули функции расположенные в порядке возрастания 11
8. Ряды Фурье-Бесселя - ряд Фурье-Бесселя, - формула для нахождения коэффициентов разложения Домашнее задание 3 Покажите, что система ортогональна с весом r на промежутке [0, R] Указание. Сделайте замену переменной, чтобы перейти к промежутку [0, 1] и получите коэффициенты 12
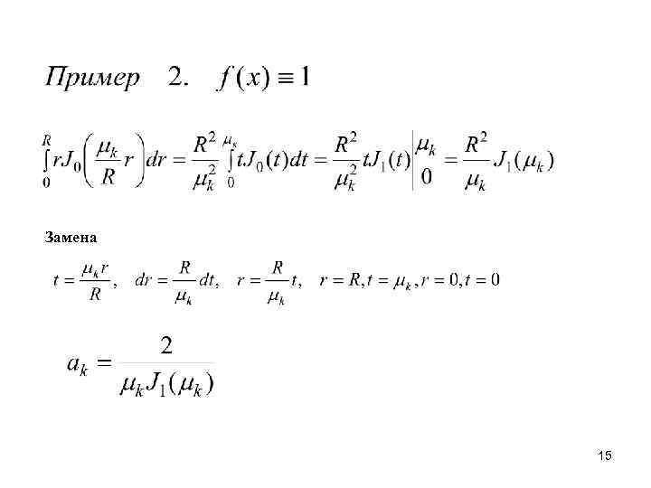
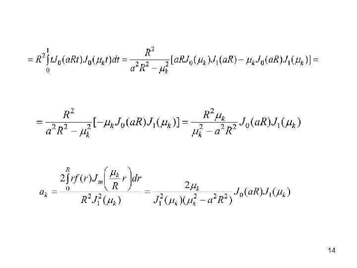
9. Примеры нахождения коэффициентов ряда Фурье для заданных функций при m=0 на промежутке [0, R] Пример 1. Замена 13
14
Замена 15
Разложение - функции в ряд Фурье-Бесселя - ряд Фурье-Бесселя Коэффициенты ряда Фурье-Бесселя Ответ 16
Разложение - функции в ряд Фурье - ряд Фурье Коэффициенты ряда Фурье 17
10. Модифицированные функции Бесселя и Ганкеля решениями модифицированного уравнения Бесселя являются Любое решение модифицированного уравнения Бесселя может быть представлено в виде линейной комбинации. Модифицированная функции Бесселя и функция Ганкеля являются действительными монотонными функциями для целых и действительных положительных 18
Некоторые рекуррентные соотношения Рекуррентные соотношения для модифицированных функций Бесселя Рекуррентные соотношения для функций Ганкеля 19
Графики модифицированных функций Бесселя первого и второго рода при функции Бесселя и функции Ганкеля 20
3_Bessel_13.ppt