423ade98582f998fc719a816d5eb1cbf.ppt
- Количество слайдов: 122
CHAPTER 7 7. 1 7. 2 7. 3 7. 4 7. 5 7. 6 7. 7 Rational Expressions and Equations Simplifying Rational Expressions Multiplying and Dividing Rational Expressions Adding and Subtracting Rational Expressions with the Same Denominator Adding and Subtracting Rational Expressions with Different Denominators Complex Rational Expressions Solving Equations Containing Rational Expressions Applications with Rational Expressions, Including Variation Copyright © 2011 Pearson Education, Inc.
7. 1 Simplifying Rational Expressions 1. Evaluate rational expressions. 2. Find numbers that cause a rational expression to be undefined. 3. Simplify rational expressions containing only monomials. 4. Simplify rational expressions containing multiterm polynomials. Copyright © 2011 Pearson Education, Inc.
Rational expression: An expression that can be written in the form , where P and Q are polynomials and Q 0. Some rational expressions are Copyright © 2011 Pearson Education, Inc. Slide 7 - 3
Example 1 Evaluate the expression when a. x = 2 Solution b. x = – 1 a. b. which is undefined Copyright © 2011 Pearson Education, Inc. Slide 7 - 4
Finding Values That Make a Rational Expression Undefined To determine the value(s) that make a rational expression undefined, 1. Write an equation that has the denominator set equal to zero. 2. Solve the equation. Copyright © 2011 Pearson Education, Inc. Slide 7 - 5
Example 2 a Find every value for the variable that makes the expression undefined. Solution Set the denominator equal to 0. Add 5 to both sides. Divide both sides by 6. The original expression is undefined if z is replaced by 5/6. Copyright © 2011 Pearson Education, Inc. Slide 7 - 6
Example 2 b Find every value for the variable that makes the expression undefined. Solution Set the denominator equal to 0. Factor out the monomial GCF, y. Use the zero factor theorem. The original expression is undefined if y is replaced by 0, – 4, or – 1. Copyright © 2011 Pearson Education, Inc. Slide 7 - 7
Simplifying Rational Expressions To simplify a rational expression to lowest terms: 1. Factor the numerator and denominator completely. 2. Divide out all the common factors in the numerator and denominator. 3. Multiply the remaining factors in the numerator and the remaining factors in the denominator. Copyright © 2011 Pearson Education, Inc. Slide 7 - 8
Example 3 Simplify Solution Write the numerator and denominator in factored form, then eliminate the common factors. Multiply the remaining factors. Copyright © 2011 Pearson Education, Inc. Slide 7 - 9
Example 4 Simplify. a. b. Solution a. Write the numerator and denominator in factored form, then eliminate the common factors. Multiply the remaining factors. b. Copyright © 2011 Pearson Education, Inc. Slide 7 - 10
Example 5 Simplify . Solution Write the numerator and denominator in factored form, then divide out the common factor, which is 2. Copyright © 2011 Pearson Education, Inc. Slide 7 - 11
Example 6 a Simplify. Solution Write the numerator and denominator in factored form, then divide out the common factors, x and x + 2. Copyright © 2011 Pearson Education, Inc. Slide 7 - 12
Example 6 b Simplify. Solution Factor the numerator and denominator completely. Then divide out the common factor, y – 5. Copyright © 2011 Pearson Education, Inc. Slide 7 - 13
Example 6 c Simplify. Solution Factor out the GCF. Factor the polynomial factors. Divide out common factors. Copyright © 2011 Pearson Education, Inc. Slide 7 - 14
Example 7 Simplify. Solution Copyright © 2011 Pearson Education, Inc. Slide 7 - 15
Example 8 Simplify. Solution Copyright © 2011 Pearson Education, Inc. Slide 7 - 16
Simplify. a) 5 b) c) d) 7. 1 Copyright © 2011 Pearson Education, Inc. Slide 7 - 17
Simplify. a) 5 b) c) d) 7. 1 Copyright © 2011 Pearson Education, Inc. Slide 7 - 18
Simplify. a) – 10 x b) c) d) 7. 1 Copyright © 2011 Pearson Education, Inc. Slide 7 - 19
Simplify. a) – 10 x b) c) d) 7. 1 Copyright © 2011 Pearson Education, Inc. Slide 7 - 20
7. 2 Multiplying and Dividing Rational Expressions 1. Multiply rational expressions. 2. Divide rational expressions. 3. Convert units of measurement using dimensional analysis. Copyright © 2011 Pearson Education, Inc.
1. 2. 3. 4. Multiplying Rational Expressions To multiply rational expressions, Factor each numerator and denominator completely. Divide out any numerator factor with any matching denominator factor. Multiply numerator by numerator and denominator by denominator. Simplify as needed. Copyright © 2011 Pearson Education, Inc. Slide 7 - 22
Example 1 Multiply. Solution Copyright © 2011 Pearson Education, Inc. Slide 7 - 23
Example 2 a Solution Write numerators and denominators in factored form. Multiply the remaining numerator factors and denominator factors. Copyright © 2011 Pearson Education, Inc. Slide 7 - 24
Example 2 b Multiply. Solution Write numerators and denominators in factored form. Multiply the remaining numerator factors and denominator factors. Copyright © 2011 Pearson Education, Inc. Slide 7 - 25
Example 2 c Multiply. Solution Write numerators and denominators in factored form. Multiply the remaining numerator factors and denominator factors. Copyright © 2011 Pearson Education, Inc. Slide 7 - 26
Dividing Rational Expressions Copyright © 2011 Pearson Education, Inc. Slide 7 - 27
Dividing Rational Expressions To divide rational expressions, 1. Write an equivalent multiplication statement with the reciprocal of the divisor. 2. Factor each numerator and denominator completely. (Steps 1 and 2 are interchangeable. ) 3. Divide out any numerator factor with any matching denominator factor. 4. Multiply numerator by numerator and denominator by denominator. 5. Simplify as needed. Copyright © 2011 Pearson Education, Inc. Slide 7 - 28
Example 3 Divide . Solution Write an equivalent multiplication statement. Divide out common factors, and multiply remaining factors. Copyright © 2011 Pearson Education, Inc. Slide 7 - 29
Example 4 Divide. Solution Write an equivalent multiplication statement. Divide out common factors, and multiply remaining factors. Copyright © 2011 Pearson Education, Inc. Slide 7 - 30
Using Dimensional Analysis to Convert Between Units of Measurement To convert units using dimensional analysis, multiply the given measurement by conversion factors so that the undesired units divide out, leaving the desired units. Copyright © 2011 Pearson Education, Inc. Slide 7 - 31
Example 5 a Convert 300 ounces to pounds Solution 300 oz. Copyright © 2011 Pearson Education, Inc. Slide 7 - 32
Example 5 b Convert 17 yards to inches. Solution 17 yards Copyright © 2011 Pearson Education, Inc. Slide 7 - 33
Example 5 c Convert 25 miles per hour to feet per second. Solution Copyright © 2011 Pearson Education, Inc. Slide 7 - 34
Multiply. a) b) c) d) 7. 2 Copyright © 2011 Pearson Education, Inc. Slide 7 - 35
Multiply. a) b) c) d) 7. 2 Copyright © 2011 Pearson Education, Inc. Slide 7 - 36
Divide. a) b) c) d) 7. 2 Copyright © 2011 Pearson Education, Inc. Slide 7 - 37
Divide. a) b) c) d) 7. 2 Copyright © 2011 Pearson Education, Inc. Slide 7 - 38
7. 3 Adding and Subtracting Rational Expressions with the Same Denominator 1. Add or subtract rational expressions with the same denominator. Copyright © 2011 Pearson Education, Inc.
Adding or Subtracting Rational Expressions (Same Denominator) To add or subtract rational expressions that have the same denominator: 1. Add or subtract the numerators and keep the same denominator. 2. Simplify to lowest terms. (Remember to factor the numerators and denominators completely in order to simplify). Copyright © 2011 Pearson Education, Inc. Slide 7 - 40
Example 1 Add. Solution Since the rational expressions have the same denominator, we add numerators and keep the same denominator. Factor. Divide out the common factor, 2. Copyright © 2011 Pearson Education, Inc. Slide 7 - 41
Example 2 a Subtract. Solution Warning: Although it may be tempting to do so, we cannot divide out the z’s because they are terms, not factors. Copyright © 2011 Pearson Education, Inc. Slide 7 - 42
Example 2 b Subtract. Note: The numerator can be factored, so we may be able to simplify. Solution Divide out the common factor, x – 4. Copyright © 2011 Pearson Education, Inc. Slide 7 - 43
Example 2 c Subtract. Solution Copyright © 2011 Pearson Education, Inc. Slide 7 - 44
Example 3 Add. Solution Combine like terms in the numerator. Factor the numerator and the denominator. Divide out the common factor, b. Copyright © 2011 Pearson Education, Inc. Slide 7 - 45
Example 4 Add. Solution Combine like terms in the numerator. Factor the numerator and the denominator. Copyright © 2011 Pearson Education, Inc. Slide 7 - 46
continued Divide out the common factors, 2 and x + 2. Copyright © 2011 Pearson Education, Inc. Slide 7 - 47
Example 5 a Subtract. Solution Note: To write an equivalent addition, change the operation symbol from a minus sign to a plus sign and change all the signs in the subtrahend (second) polynomial. Copyright © 2011 Pearson Education, Inc. Slide 7 - 48
Example 5 b Subtract. Solution Note: This numerator is the difference of cubes. Copyright © 2011 Pearson Education, Inc. Slide 7 - 49
continued Note: This numerator is the difference of cubes. Copyright © 2011 Pearson Education, Inc. Slide 7 - 50
Add. a) b) c) d) 7. 3 Copyright © 2011 Pearson Education, Inc. Slide 7 - 51
Add. a) b) c) d) 7. 3 Copyright © 2011 Pearson Education, Inc. Slide 7 - 52
Subtract. a) b) c) d) 7. 3 Copyright © 2011 Pearson Education, Inc. Slide 7 - 53
Subtract. a) b) c) d) 7. 3 Copyright © 2011 Pearson Education, Inc. Slide 7 - 54
7. 4 Adding and Subtracting Rational Expressions with Different Denominators 1. Find the LCD of two or more rational expressions. 2. Given two rational expressions, write equivalent rational expressions with their LCD. 3. Add or subtract rational expressions with different denominators. Copyright © 2011 Pearson Education, Inc.
Remember that when adding or subtracting fractions with different denominators, we must first find a common denominator. It is helpful to use the least common denominator (LCD), which is the smallest number that is evenly divisible by all the denominators. Copyright © 2011 Pearson Education, Inc. Slide 7 - 56
Finding the LCD To find the LCD of two or more rational expressions, 1. Find the prime factorization of each denominator. 2. Write a product that contains each unique prime factor the greatest number of times that factor occurs in any factorization. Or if you prefer to use exponents, write the product that contains each unique prime factor raised to the greatest exponent that occurs on that factor in any factorization. 3. Simplify the product found in step 2. Copyright © 2011 Pearson Education, Inc. Slide 7 - 57
Example 1 Find the LCD of Solution We first factor the denominators 12 y 2 and 8 y 3 by writing their prime factorizations. The unique factors are 2, 3, and y. To generate the LCD, include 2, 3, and y the greatest number of times each appears in any of the factorizations. Copyright © 2011 Pearson Education, Inc. Slide 7 - 58
continued The greatest number of times that 2 appears is three times (in 23 • y 3). The greatest number of times that 3 appears is once (in 22 • 3 • y 2). The greatest number of times that y appears is three times (in 23 • y 3). Note: We can compare exponents in the prime factorizations to create the LCD. If two factorizations have the same prime factors, we write that prime factor in the LCD with the greater of the two exponents. Copyright © 2011 Pearson Education, Inc. Slide 7 - 59
Example 2 Find the LCD. Solution Factor the denominators x 2 – 25 and 2 x – 10. The unique factors are 2, (x + 5), and (x – 5). The greatest number of times that 2 appears is once. The greatest number of times that (x + 5) appears is once. The greatest number of times that (x – 5) appears is once. Copyright © 2011 Pearson Education, Inc. Slide 7 - 60
Example 3 Write with their LCD. as equivalent rational expressions Solution The LCD is 24 x 2. For each rational expression, we multiply both the numerator and denominator by an appropriate factor so the denominator becomes 24 x 2. Copyright © 2011 Pearson Education, Inc. Slide 7 - 61
Example 4 Write as equivalent rational expressions with their LCD. Solution In the previous example, we found the LCD to be. Write the denominator in factored form. Multiply the numerator and the denominator by the same factor, 2, to get the LCD, 2(x + 5)(x – 5). Note: Another way to determine the appropriate factor is to think of it as the factor in the LCD that is missing from the original denominator. Copyright © 2011 Pearson Education, Inc. Slide 7 - 62
continued Write the denominator in factored form. Multiply the numerator and the denominator by the same factor, (x + 5), to get the LCD, 2(x + 5)(x – 5). Copyright © 2011 Pearson Education, Inc. Slide 7 - 63
Adding or Subtracting Rational Expressions with Different Denominators To add or subtract rational expressions with different denominators, 1. Find the LCD. 2. Write each rational expression as an equivalent expression with the LCD. 3. Add or subtract the numerators and keep the LCD. 4. Simplify. Copyright © 2011 Pearson Education, Inc. Slide 7 - 64
Example 5 Add. Solution The LCD is 24 x 2. Write equivalent rational expressions with the LCD, 24 x 2. Add numerators. Note: Remember that to add polynomials, we combine like terms. Copyright © 2011 Pearson Education, Inc. Slide 7 - 65
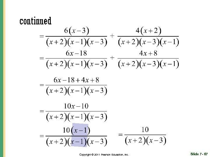
Example 6 Add . Solution Copyright © 2011 Pearson Education, Inc. Slide 7 - 66
continued Copyright © 2011 Pearson Education, Inc. Slide 7 - 67
Example 7 Add. Solution Since x – 6 and 6 – x are additive inverses, we obtain the LCD by multiplying the numerator and denominator of one of the rational expressions by – 1. We chose the second rational expression. Copyright © 2011 Pearson Education, Inc. Slide 7 - 68
Add. a) b) c) d) 7. 4 Copyright © 2011 Pearson Education, Inc. Slide 7 - 69
Add. a) b) c) d) 7. 4 Copyright © 2011 Pearson Education, Inc. Slide 7 - 70
Subtract. a) b) c) d) 7. 4 Copyright © 2011 Pearson Education, Inc. Slide 7 - 71
Subtract. a) b) c) d) 7. 4 Copyright © 2011 Pearson Education, Inc. Slide 7 - 72
7. 5 Complex Rational Expressions 1. Simplify complex rational expressions. Copyright © 2011 Pearson Education, Inc.
Complex rational expression: A rational expression that contains rational expressions in the numerator or denominator. Examples: Copyright © 2011 Pearson Education, Inc. Slide 7 - 74
Simplifying Complex Rational Expressions To simplify a complex rational expression, use one of the following methods. Method 1 1. Simplify the numerator and denominator if needed. 2. Rewrite as a horizontal division problem. Method 2 1. Multiply the numerator and denominator of the complex rational expression by their LCD. 2. Simplify. Copyright © 2011 Pearson Education, Inc. Slide 7 - 75
Example 1 —Method 1 Simplify. Solution Write the numerator fractions as equivalent fractions with their LCD, 12, and write the denominator fractions with their LCD, 24. Copyright © 2011 Pearson Education, Inc. Slide 7 - 76
continued 2 1 Copyright © 2011 Pearson Education, Inc. Slide 7 - 77
Example 1—Method 2 Simplify. Solution Multiply the numerator and denominator by 24. 6 4 1 31 1 1 Copyright © 2011 Pearson Education, Inc. 4 Slide 7 - 78
Example 1 Simplify. Solution Write the numerator and denominator as equivalent fractions. (Method 1) Copyright © 2011 Pearson Education, Inc. Slide 7 - 79
Example 1 Simplify. Solution Multiply the numerator and denominator by the LCD of all the rational expressions. (Method 2) Copyright © 2011 Pearson Education, Inc. Slide 7 - 80
Simplify. a) b) c) d) 7. 5 Copyright © 2011 Pearson Education, Inc. Slide 7 - 81
Simplify. a) b) c) d) 7. 5 Copyright © 2011 Pearson Education, Inc. Slide 7 - 82
Simplify. a) b) c) a + 1 d) a – 1 7. 5 Copyright © 2011 Pearson Education, Inc. Slide 7 - 83
Simplify. a) b) c) a + 1 d) a – 1 7. 5 Copyright © 2011 Pearson Education, Inc. Slide 7 - 84
7. 6 Solving Equations Containing Rational Expressions 1. Solve equations containing rational expressions. Copyright © 2011 Pearson Education, Inc.
Example 1 Solve. Solution Multiply both sides by 24. 6 4 1 3 1 Distribute and divide out common factors. 1 Subtract 6 x from both sides. Divide both sides by 2. Simplify both sides. Copyright © 2011 Pearson Education, Inc. Slide 7 - 86
Example 2 Solve. Solution Multiply both sides by 4 x. Distribute and divide out common factors. Simplify both sides. Copyright © 2011 Pearson Education, Inc. Slide 7 - 87
Extraneous Solution: An apparent solution that does not solve its equation. Solving Equations Containing Rational Expressions To solve an equation that contains rational expressions, 1. Eliminate the rational expressions by multiplying both sides of the equation by their LCD. 2. Solve the equation using the methods we learned in Chapters 2 (linear equations) and 7 (quadratic equations). 3. Check your solution(s) in the original equation. Discard any extraneous solutions. Copyright © 2011 Pearson Education, Inc. Slide 7 - 88
Example 3 Solve. Solution If x = 6, then the equation is undefined, so the solution cannot be 6. Divide out common factors. Distribute 2 to clear the parentheses. Subtract 2 x on both sides. Divide both sides by 4. Copyright © 2011 Pearson Education, Inc. Slide 7 - 89
Example 4 Solve. Solution In the original equation, when x = -1/3 it is undefined, so the only solution is x = ½. Copyright © 2011 Pearson Education, Inc. Slide 7 - 90
Example 5 Solve. Solution Copyright © 2011 Pearson Education, Inc. Slide 7 - 91
continued This solves the original equation Copyright © 2011 Pearson Education, Inc. Slide 7 - 92
Solve. a) 2 b) 5 c) 7 d) 10 7. 6 Copyright © 2011 Pearson Education, Inc. Slide 7 - 93
Solve. a) 2 b) 5 c) 7 d) 10 7. 6 Copyright © 2011 Pearson Education, Inc. Slide 7 - 94
Solve. a) 2 b) 1 c) 2 and 5 d) 3 and 4 7. 6 Copyright © 2011 Pearson Education, Inc. Slide 7 - 95
Solve. a) 2 b) 1 c) 2 and 5 d) 3 and 4 7. 6 Copyright © 2011 Pearson Education, Inc. Slide 7 - 96
7. 7 Applications with Rational Expressions, Including Variation 1. Use tables to solve problems with two unknowns involving rational expressions. 2. Solve problems involving direct variation. 3. Solve problems involving inverse variation. 4. Solve problems involving joint variation. 5. Solve problems involving combined variation. Copyright © 2011 Pearson Education, Inc.
Tables are helpful in problems involving two or more people working together to complete a task. For each person involved, the rate of work, time at work, and amount of the task completed are related as follows: Person’s rate of work Time at work = Amount of the task completed by that person Since the people are working together, the sum of their individual amounts of the task completed equals the whole task. Amount completed by one person + Amount completed by the other person = Whole task Copyright © 2011 Pearson Education, Inc. Slide 7 - 98
Example 1 Louis and Rebecca own a painting business. Louis can paint an average size room in 5 hours. Rebecca can paint the same room in 3 hours. How long would it take them to paint the same room working together? Understand Louis paints at a rate of 1 room in 5 hours, or 1/5 of a room per hour. Rebecca paints at a rate of 1 room in 3 hours, or 1/3 of a room per hour. Copyright © 2011 Pearson Education, Inc. Slide 7 - 99
continued Category Louis Rebecca Rate of Work Time at Work t t Amount of Task Completed t t Plan and Execute Louis’ amount completed + Rebecca’s amount completed = 1 room Copyright © 2011 Pearson Education, Inc. Slide 7 - 100
continued 5 3 1 1 Copyright © 2011 Pearson Education, Inc. Slide 7 - 101
continued Answer Working together, it takes Louis and Rebecca 1 7/8 hours to paint an average size room. or Check Copyright © 2011 Pearson Education, Inc. Slide 7 - 102
Example 2 A sports car travels 15 mph faster than a loaded truck on the freeway. In the same time that the sports car travels 156 miles, the truck travels 120 miles. Find the speed of each vehicle. Understand Use a table to organize the information. Vehicle Distance Rate Sports car 156 miles r + 15 Truck 120 miles r Copyright © 2011 Pearson Education, Inc. Time Slide 7 - 103
continued Plan and Execute Copyright © 2011 Pearson Education, Inc. Slide 7 - 104
continued Answer The truck travels at 50 mph while the sports car travels at r + 15 or 65 mph. Check Copyright © 2011 Pearson Education, Inc. Slide 7 - 105
Direct variation: Two variables, y and x, are in direct variation if y = kx, where k is a constant. In words, direct variation is written as “y varies directly as x” or “y is directly proportional to x” and these phrases translate to y = kx. Copyright © 2011 Pearson Education, Inc. Slide 7 - 106
Example 3 Suppose y varies directly as x. When y = 12, x = 6. Find y when x = 9. Solution Replace y with 12 and x with 6, then solve for k. y = kx 12 = k 6 2=k Replace k with 2 in y = kx so that we have y = 2 x y = 2(9) = 18 Copyright © 2011 Pearson Education, Inc. Slide 7 - 107
Example 4 Nigel’s paycheck varies directly as the number of hours worked. For 15 hours of work, the pay is $188. 25. Find the pay for 27 hours of work. Understand Translating “paycheck varies directly as the number of hours worked, ” we write p = kh, where p represents the paycheck and h represents the hours. Plan Use p = kh and replace p with 188. 25 and h with 15, in order to find the value of k. Copyright © 2011 Pearson Education, Inc. Slide 7 - 108
continued Execute 188. 25 = k 15 12. 55 = k Replace k with 12. 55. p = kh p = 12. 55 h When hours = 27: p = 12. 55(27) p = 338. 85 Answer Working 27 hours will earn a paycheck of $338. 85. Copyright © 2011 Pearson Education, Inc. Slide 7 - 109
Inverse variation: Two variables, y and x, are in inverse variation if where k is a constant. In words, inverse variation is written as “y varies inversely as x” or “y is inversely proportional to x, and these phrases translate to. ” Copyright © 2011 Pearson Education, Inc. Slide 7 - 110
Example 5 If the temperature is constant, the pressure of a gas in a container varies inversely as the volume of the container. If the pressure is 15 pounds per square foot in a container with 4 cubic feet, what is the pressure in a container with 1. 5 cubic feet? Understand Because the pressure and volume vary inversely, we can write where P represents the pressure and V represents the volume. Copyright © 2011 Pearson Education, Inc. Slide 7 - 111
continued Plan Use pressure is 15 when volume is 4 to determine the value of k. Execute Replacing k with 60, solve for P when V is 1. 5. Answer The pressure is 40 pounds per square foot when the volume is 1. 5 cubic feet. Copyright © 2011 Pearson Education, Inc. Slide 7 - 112
Joint variation: If y varies jointly as x and z, then y = kxz, where k is the constant of variation. Copyright © 2011 Pearson Education, Inc. Slide 7 - 113
Example 6 Suppose a varies jointly with b and c. If a = 72 when b = 3 and c = 8, find a when b = 4 and c = 2. Solution We have a = kbc, so The equation of variation is a = 3 bc a = 3(4)(2) = 24 Copyright © 2011 Pearson Education, Inc. Slide 7 - 114
Example 7 The volume of wood V in a tree varies jointly as the height h and the square of the girth g (girth is the distance around). The volume of a redwood tree is 216 m 3 when the height is 30 m and the girth is 1. 5 m, what is the height of a tree whose volume is 1700 m 3 and girth is 2. 5 m? Solution Find k using the first set of data. V = khg 2 216 = k 30 1. 52 3. 2 = k Copyright © 2011 Pearson Education, Inc. Slide 7 - 115
continued The equation of variation is V = 3. 2 hg 2. We substitute the second set of data into the equation. Volume is 1700 m 3 and girth is 2. 5 m. V = 3. 2 hg 2 1700 = 3. 2 h 2. 52 1700 = 20 h 85 = h The height of the tree is 85 m. Copyright © 2011 Pearson Education, Inc. Slide 7 - 116
Danielle can paint a 4800 -square foot house in 8 days, and Paige can do the same job in only 6 days. How long will it take them to paint a 4800 square foot house if they work together? a) 14 days b) 7 days c) d) 7. 7 Copyright © 2011 Pearson Education, Inc. Slide 7 - 117
Danielle can paint a 4800 -square foot house in 8 days, and Paige can do the same job in only 6 days. How long will it take them to paint a 4800 square foot house if they work together? a) 14 days b) 7 days c) d) 7. 7 Copyright © 2011 Pearson Education, Inc. Slide 7 - 118
The distance a car travels varies directly with the amount of gas it carries. On the highway, a van travels 112 miles using 7 gallons of gas. How many gallons are required to travel 544 miles? a) 15 gallons b) 16 gallons c) 32 gallons d) 34 gallons 7. 7 Copyright © 2011 Pearson Education, Inc. Slide 7 - 119
The distance a car travels varies directly with the amount of gas it carries. On the highway, a van travels 112 miles using 7 gallons of gas. How many gallons are required to travel 544 miles? a) 15 gallons b) 16 gallons c) 32 gallons d) 34 gallons 7. 7 Copyright © 2011 Pearson Education, Inc. Slide 7 - 120
If y varies inversely as x and y = 8 when x = 10, what is y when x is 16? a) 2 b) 5 c) 10 d) 16 7. 7 Copyright © 2011 Pearson Education, Inc. Slide 7 - 121
If y varies inversely as x and y = 8 when x = 10, what is y when x is 16? a) 2 b) 5 c) 10 d) 16 7. 7 Copyright © 2011 Pearson Education, Inc. Slide 7 - 122


