7f5073c86a88103e3ec0cbd0b003ec68.ppt
- Количество слайдов: 158
Chapter 11 Inflation and Short-Run Dynamics © Pierre-Richard Agénor and Peter J. Montiel 1
l l Models of Inflationary Process. Dynamics of Monetary and Exchange-Rate Rules. 2
Models of Inflationary Process
“Orthodox” view: l Inflation results from money creation by governments faced with limited borrowing options New structuralists: l Inflation results from the worker-capitalist conflict over distribution of income between real wages and profits. 4
l l l Inflation, Money and Fiscal Deficits. è Adaptive Expectations. è Perfect Foresight. Food Supply, Distribution, and the Wage-Price Cycle. A Structuralist-Monetarist Model. 5
Inflation, Money and Fiscal Deficits l l Closed economy with exogenous output. Demand for money function takes the Cagan semilogarithmic form: m = exp(- a), > 0, (1) . m M/P: M is base money stock and P is price level; a: expected inflation rate. 6
l Government cannot issue bonds to the public and finances its primary budget deficit d entirely through seigniorage: . d = M/P = m, (2) . l M/M. Combining (1) and (2) d = exp(- a). l (3): how primary fiscal deficit affects equilibrium rate of growth of the money stock, and inflation rate. 7
l l l “Seigniorage Laffer curve”: two steady-state rates of inflation that generate any given amount of seigniorage. Figure 11. 1: (3) is plotted. D: combinations of and a for which d is constant. Since (3) indicates that d = when a is zero, d is measured by the distance between the origin and the intercept of the D curve on the -axis. Since government budget constraint always binds, economy is always located on the D curve. Differentiating (1) with respect to time yields . a - = - . (4) 8
9
l In steady state: = a = . l l l (5) (4): 45 o line in Figure 11. 1. D and the 45 o line intersect twice. Thus there are two potential steady-state positions: è low-inflation equilibrium (point A); è high-inflation equilibrium (point B). At A the elasticity of the demand for real money balances is less than unity, whereas at point B it is greater than unity. Suppose that d is constrained by the amount of revenue that can be generated through money creation. 10
l l Inflation rate that maximizes steady-state seigniorage revenue is s = 1/. Corresponding level of revenue: ds = exp(-1)/. l l Assume that d that the government wishes to finance is ~ fixed at d. Depending on size of deficit target, there may be zero, one, or two equilibria. Since the government cannot obtain more than ds in the long-run equilibrium, there is no steady state if d > ds. ~ s ~ For d = d or d < 0, there is a unique steady state. 11
l l ~ 0 < ds: two steady states, and the economy may be “stuck” at high-inflation equilibrium (point B). Two alternative assumptions about the formation of inflation expectations. 12
Adaptive Expectations l When inflation expectations are adaptive: . a = ( - a), > 0. l l (6) Combining (3), (4) and (6) determines the time path of actual and expected inflation, for a given d. From (4) and (6), changes in expected inflation are determined by . a = ( - a)/(1 - ). 13
l l Actual rate is = ( - a)/(1 - ), l l l which implies that in the steady state = a = . With an adaptive expectational scheme, A is a stable equilibrium whereas B is unstable, if < 1/. Points located to the right of B lead to hyperinflation. Government prints money at an ever-increasing rate. This prevents a from ever coinciding with the actual rate of increase in prices. Although real money balances are reduced at an increasing rate, rapid printing money helps financing the deficit. 14
l l l l Suppose that the economy is initially at A, and consider effect of an increase in d. Small increase: D shifts to the right to D’ but continues to intersect the 45 o line twice. Increase in d leads to jump in from A to C. Then gradual increase in both actual and expected inflation rate from point C to A’. Once expectations begin to adjust, demand for real money balances starts falling. Government must print money at an accelerated pace to compensate for the reduction in the inflation tax base. If increase in d is large, D may not intersect the 45 o line at all (D’’). 15
l l l There is no steady state, and inflation increases continually. Economy jumps from A to F and follows a hyperinflationary path, moving to northeast along D’’. If bonds can be used as an additional source of financing, unique steady-state inflation rate is attained when the government sets a nominal anchor. 16
Perfect Foresight l l l Rational expectations can be implemented by è setting in (6); è allowing expected and actual prices to jump. In this case, B is a stable equilibrium and A is unstable. Since a can jump on impact, all points located on D are short-run equilibria. Increase in d leads to an instantaneous jump to a new equilibrium. But there is no guarantee that the economy will be on D’D’. Thus, inflation may be unnecessarily high under perfect foresight. 17
l l So large d leads to hyperinflation only when private agents have adaptive expectations. Bruno and Fischer (1990) and Kiguel (1989): Large d may lead to hyperinflation even under perfect foresight, if there is sluggish adjustment toward equilibrium in the money market. Assume that money market adjusts according to . m/m = (lnmd – lnm), > 0, (7) md: desired real balances; : speed of adjustment. 18
l (7) can be written as = - (lnmd – lnm). l l l (8): inflation rate adjusts one-for-one with , but adjusts partially in response to differences between desired and actual levels of real money balances. Thus inflation rate is sticky, but real balances are predetermined. Solving for the logarithm of money demand from (1) and . . using the identity m M/P - m in (8) yields . m = [ /( - 1)]( d + m lnm). (9) 19
l l l Figure 11. 2: plot (9) for a value of the deficit equal to d 0 and < 1/. Two equilibria: A is unstable; B is stable. When , (9) becomes . m d + -1 m lnm. If policymaker increases d from d 1 to d 0: . l m = 0 schedule moves down. l It may no longer intersect the horizontal axis. l In such conditions system will be unstable: è decreasing real money balances; è rising rates of inflation. 20
21
l l l Thus too large d leads to a hyperinflationary path. Under perfect foresight, instability in inflation process depends on the assumption of sluggish adjustment in money market. Increase in money growth creates a temporary excess supply in the money market. This leads to an increase in inflation. Higher inflation rate exerts two conflicting effects on the equilibrium of the money market: è it reduces supply of real money balances (reequilibrate the market); è it leads to fall in demand for real money balances (amplify initial disequilibrium). 22
l l l When the system does not possess a stable long-run equilibrium, the latter effect dominates the former. This results in accelerating inflation. Possibility of following unstable inflationary path becomes more likely if erosion in tax revenue results in positive relation between d and . 23
Key results: l Money financing of fiscal deficits may lead to multiple steady-state equilibria. l Hyperinflation is an unstable process that emerges as due to large, unsustainable d financed by money creation. l Essential feature of stabilization programs must be a significant fiscal adjustment. l In small, open countries, additional factor that may affect inflation in the short run is exchange rate. l Nominal depreciation affects domestic-currency price of import-competing goods and exportables. l Indirect effect: if cost of imported inputs affects pricing 24 decisions.
Fluctuations in unofficial exchange rate may affect inflation if domestic price setters take into account marginal cost of foreign exchange when setting prices. l Depreciation of exchange rate may affect inflation by raising nominal wages, through implicit or explicit indexation mechanisms. l Despite these effects of exchange rate on inflation, fiscal deficits play a key role in the long run. Rodríguez (1978): l His model explains this result. l If d is financed through credit creation by the central bank, monetary expansion leads to an increase in prices and a progressive erosion of foreign reserves. l 25
l l This triggers a devaluation if the central bank has limited access to borrowing in international capital markets. Devaluation-inflation spiral may develop. 26
Food Supply, Distribution, and the Wage-Price Cycle l l l Link between inflation, food supply, and competing claims for the distribution of income is important in new structuralist approach to inflation. Here modified version of a model developed by Cardoso (1981) s presented. Closed economy producing two goods: è agricultural good, y. A; è manufactured good, y. I. ~ Food supply is given in the short-run at y. A. Output is demand determined in the industrial sector. 27
l Equilibrium conditions in both markets: + ~ d y. A = c. A(y, ), PA/PI, d + + y. I = c. I (y, ) + g, d c. A: food demand; y: real factor income; : relative price of agricultural goods; c. Id: private expenditure on manufactured goods; g: autonomous government expenditure on industrial goods. 28
l Real factor income: ~ y = y. A + y. I. l l Assume that direct effect of changes in on demand is zero. 0 < <1 denote marginal propensity to consume. 0 < < 1: proportion of consumption spent on agricultural goods. Equilibrium condition of food market: ~ ~ y. A = y = ( y. A + y. I). (10) 29
l Market-clearing condition for industrial goods: ~ y. I = (1 - ) ( y. A + y. I) + g. l l (11) Assuming that prices of industrial goods remain constant and that output in industrial sector responds gradually to excess demand for manufactured goods: . ~ y. I = I[ (1 - )( y. A + y. I) + g – y. I], I > 0. (12) Agricultural prices respond gradually to the excess demand for food: . ~ ~ PA/PA = A[ ( y. A + y. I) - y. A], A > 0. (13) 30
l (12) and (13): dynamic behavior over time of production in industrial sector and agricultural prices: . - A(1 - ) A PA. = y. I I (1 - ) - I (1 - )) l l PA y. I For stability, trace of coefficient matrix must be negative and its determinant positive. Figure 11. 3: equilibrium of the economy. . Curve [PA = 0]: combinations of industrial output and relative price that maintain equilibrium in the food market. It has a positive slope. 31
32
l l l l l Left of it: excess supply of food and falling prices. Right of it: excess demand rising food prices. . Curve [y. I = 0] : equilibrium condition for industrial good market. It has a positive slope. Left of it: excess demand for industrial goods and rising output. Right of it: excess supply of manufactured goods and falling output. E: steady-state equilibrium. Economy is at A initially: excess supply of food and excess demand for manufactured goods. Increase in output in the industrial sector dampens excess demand for manufactured goods. 33
l l l l Increase in output in the industrial sector dampens excess demand for manufactured goods. This increases income and demand for agricultural products. Thus, this reduces excess supply in agricultural sector. Food prices fall at first and then rise. Industrial output rises continuously until long-run equilibrium is reached. Thus, there is no tendency toward instability since it is assumed that industrial prices remain constant. Suppose that industrial sector set prices as a fixed mark -up over labor costs. 34
l Industrial prices: PI = (1 + )w, > 0. l l Suppose: workers have a constant real wage target *. Thus, nominal wages are determined by ~ w = P, (14) (15) P is consumer price index, defined as P - PA PI 1 - , 0 < < 1. (16) 35
l Using (14), (15), and (16) yields “required” relative price, consistent with workers' real wage target: * = [(1 + ) *]-1/ , l l (17) *: required price ratio. Rate of change of nominal wages is determined by difference between * and . Using (14), rate of change of industrial prices: . I = w/w = ( - *), > 0, (18) : speed of wage adjustment. 36
l l Thus, * is relative price at which wage inflation is zero and industrial prices remain constant. Using (13) and (18), . ~ ~ / = A[ ( y. A + y. I) - y. A] - ( - *). (19) l l l Figure 11. 4: solution of the system consisting of (12), (13), and (19). . Curve AA: identical to curve [PA = 0]. . . Curves [y. I = 0] and [ = 0]: both upward sloping, with the former having a steeper slope to ensure stability. . Slope of AA is also steeper than slope of [ = 0]. . AA and [ = 0] intersect at B: = * and food market is in equilibrium. 37
38
l . . [y. I = 0] and [ = 0] intersect at E: > *. . [y. I = 0] and AA intersect at G. l None of the points represents a long-run equilibrium. Point G: l Food and industrial goods markets are both in equilibrium but real wages are lower than desired level. l Thus, nominal wages increase, raising industrial prices and lowering the relative price of agricultural goods. l Negative income effect reduces output in industrial sector. Point B: l Real wages are at the desired level and food market is in equilibrium. l But there is an excess demand for manufactured goods. 39 l
Industrial production begins rising. l But, increase in income exerts upward pressure on the relative price of food products. Point F: l There is an excess demand in the food market. l Upward pressure on agricultural prices causes a rise in nominal wages. l This leads to an increase in industrial prices and higher output in that sector. l If excess demand for food remains large relative to the difference between actual and desired real wage, nominal wages and industrial prices increase less rapidly than agricultural prices. l Thus, rises over time. l 40
l l l l This leads to excess demand for manufactured goods, and industrial output rises. . . Economy moves toward E, where [y. I = 0] and [ = 0] intersect, and both industrial output and the relative price remain constant. But at that point, excess demand for agricultural products maintains upward pressure on their price. Since real wage is lower than desired, both nominal wages and industrial prices continue to rise. Thus, there is no stable long-run equilibrium. Outcome may be a self-perpetuating inflationary process. Stable, long-run equilibrium can be achieved by government policies. 41
. Reduction in g that is large enough to shift [y. I = 0] to the . left until it intersects AA and [ = 0] at B can halt inflationary spiral, at the cost of lower industrial output. ~ l Income policy that reduces can increase * toward and eliminate inflationary cycle. Price controls: l It prevents capitalists in the industrial sector from raising their prices and maintain the relative share of profits in national income, without necessarily leading to a reduction in output. General implication of the analysis: l When workers' desired real wage is high relative to the level compatible with long-run equilibrium, inflation stabilization is impossible to achieve without a shift in income distribution. 42 l
A Structuralist-Monetarist Model l Assumption in new structuralist models of inflation: monetary policy fully accommodates changes in the price level. Integrated framework that accounts explicitly for money supply dynamics in the new structuralist model, is introduced. Link between prices, money, and fiscal deficits is captured by è introducing food subsidies; è accounting for the government budget constraint. 43
l In the presence of a subsidy at the rate 0 < s < 1, the consumer price index: P = [(1 -s)PA]d. P 1 -. I l l l Government levies a uniform tax on factor income at the rate 0 < < 1. Its expenditures consist of demand for industrial goods (g) and food subsidies. The government budget constraint can be written as . ~ ~ M = PIg + s. PAy. A - (PAy. A+PIy. I). 44
l In real terms: . ~ m = g + (s- ) y. A - y. I - Im, l (21) m: real money balances measured in terms of industrial prices. Assume: demand for food products is a positive function of real money balances. 45
l Equilibrium condition of the food market in the presence of food subsidies: ~ ~ (1 -s) y. A = (1 - )( y. A+y. I) + m, l l l : propensity to consume out of disposable income. Left-hand side: post-subsidy value of the supply of food, measured in terms of industrial goods. Last term on the right-hand side: real balance effect. Dynamics of output adjustment in the market for manufactures: . ~ y. I = I[ (1 - )( y. A+y. I) + (1 - )m + g - y. I]. (23) 46
l Assuming that workers pursue a real wage target, the required relative price: * = (1 - )-1[(1+ ) *]-1/. l Behavior of relative price is determined by: . / = ~ ~ A[( /(1 -s))( y. A+y. I) + ( /(1 -s))m - y. A] - ( - *). (25) l Using (18), (21) can be approximated at t = 0 by . ~ m g + [(s- )y. A - m 0] - y. I + ( 0 - *)m. (26) 47
l l l l Equations (23), (25), and (26): dynamic system in y. I, , and m. Assume: output adjustment in the market for industrial goods is instantaneous ( I ). . = 0 and substituting the result Solving (23) for y. I with y. I in (25) and (26) yields a system of two differential Equations in and m. Figure 11. 5: graphical presentation of the equilibrium. . [ = 0]: positively sloped. Reason: increase in money holdings raises demand for agricultural and manufactured goods, requiring an increase in the relative price of food to maintain equilibrium. . [m = 0]: negatively sloped under the assumption that (s~ 48 )y. A > m 0.
49
l l Long-run effect of an increase in the subsidy rate on inflation is ambiguous. Two opposite effects: è Increase in subsidy payments increases government spending and reduces the wedge between the actual price ratio and its required level which tends to raise real money balances. è Higher activity in the industrial sector raises income tax revenue and reduces the fiscal deficit, exerting a downward pressure on money growth. If subsidy rate is high enough initially, raising it further leads to higher money growth and inflation. If wages are fully flexible, increasing subsidies on food is always inflationary. 50
Dynamics of Monetary and Exchange-Rate Rules
l l A One-Good Framework. è Households. è Government and the Central Bank. è Money Market Equilibrium. è Dynamic Form. è Devaluation Rule. è Credit Growth Rule. è Dynamics with Alternative Fiscal Policy Rules. A Three-Good Model with Flexible Prices. è Households. è Output and the Labor Market. è Central Bank and the Government. 52
Market-Clearing Conditions. è Dynamic Form. è Policy Shocks. Extensions. è Imported Intermediate Inputs. è Sticky Prices. è l 53
A One-Good Framework l l Domestic and foreign assets are imperfectly substitutable in private agents' portfolios. Small, open economy in which there are four types of agents: è producers, è households, è government, è central bank. All firms and households are identical, and their number is normalized to unity. Domestic output consists of a tradable good produced using only labor, which is supplied in fixed quantity ns. 54
l l l Wages are perfectly flexible, so that domestic production is fixed. Purchasing power parity holds continuously. Under a regime of predetermined exchange rates: è Domestic currency is depreciated at a constant rate by the central bank. è Central Bank’s stock of foreign assets adjusts to equilibrate supply and demand foreign exchange. Under a regime of flexible exchange rates: foreign reserves of the central bank are constant and rate of credit growth is predetermined. Households hold two categories of assets : è domestic money; è domestic government bonds. 55
l l l l Domestic money bears no interest. Household borrows on world capital markets subject to a rising risk premium. Foreigners do not hold domestic assets. Domestic interest rate adjusts to maintain equilibrium in the money market. Real rate of return on foreign bonds is determined on world capital markets. Government consumes goods and services, collects lump-sum taxes, and pays interest on its domestic debt. It finances its budget deficit either by issuing domestic bonds or by borrowing from the central bank. 56
Households l Household's discounted lifetime utility: { } c 1 - + lnm 1 - e- tdt, , > 0 0 : constant rate of time preference; c: consumption. (27) 57
l Nominal wealth of the representative household: A = M + B - EL*, M: nominal money stock; B: stock of government bonds; EL*: domestic-currency value of the stock of foreign bonds; E: nominal exchange rate; L*: foreign-currency value of foreign borrowing by the household. 58
l Real wealth: a = m + b - L*, m M/E: real money balances; b B/E: real stock of government bonds. 59
l Flow budget constraint: . a = y + ib - c - - (i*+ )L* - (m+b) , (28) y: domestic output (constant at y(ns)); : real value of lump-sum taxes; i: domestic nominal interest rate; . E/E: predetermined rate of depreciation of the exchange rate; -(m+b) : capital losses on the stocks of money and domestic bonds resulting from changes in the exchange rate; (i*+ ): cost of borrowing on world capital markets; i*: exogenous, risk-free interest rate; 60 : risk premium.
l Risk premium: = (L*, ), L* > 0. l l l Premium is positively related to L*. Individual default risk: domestic agent's borrowing options are restricted by his or her capacity to repay. Flow budget constraint can be rewritten as . a = y + ra - c - - (i*+ -r)L* - im, l (29) (30) r = i - : domestic real rate of interest. Households treat y, , i*, i and as given and maximize (27) subject to (29) and (30) by choosing a sequence {c, m, b, L}t=0. 61
l Required optimality conditions: md = c /i, (31) i = (i* + + ) + L* L*, (32) c/c = (r- ), (33) . lim(e- ta) = 0. t l l (31): money demand function. It is obtained from the condition that the marginal rate of substitution between money balances and consumption be equal to the opportunity cost of holding money. 62
l l l l (33): conventional Euler Equation. It shows that consumption rises or falls depending on whether r exceeds or falls below . (32): arbitrage condition that determines implicitly the demand for loans. Suppose: premium rises with the level of private debt. Optimality: households borrow up to the point where the marginal return and the marginal cost of borrowing are equalized. Marginal return: rate of return on domestic bonds. Marginal cost of borrowing: i* + + + L* L*: increase in the cost of servicing the existing stock of loans induced by the marginal increase in the risk premium. 63
l Since is a function of L*, optimal level of borrowing can be obtained from (32): L* = (i - i* - )/ , = 2 L* > 0. l l Foreign borrowing is positively related to è difference between domestic interest rate; è sum of safe world interest rate and devaluation rate. Demand foreign loans is proportional to the differential i - i* - , with a proportionality factor that depends on the sensitivity of the risk premium to the level of private debt. 64
Government and the Central Bank l l l There are no commercial banks in the economy. Central bank lends only to the government. Nominal money stock: M = D + ER*, (35) D: stock of domestic credit allocated by the central bank to the government; R*: stock of net foreign assets, measured in foreigncurrency terms. 65
l Changes in the real credit stock d D/E: . d = ( - )d, l l l : rate of growth of nominal credit stock. Central bank receives interest on its holdings of foreign assets and its loans to the government. Interest rate paid by the government on central bank loans equals market rate of interest on domestic bonds. Real profits of the central bank: cb = (i*+ )R* + id, (37) R*: real capital gains on reserves. 66
l l Government's revenue sources: lump-sum taxes on households and transfers from the central bank. It consumes goods and services and pays interest on its domestic debt. It finances its budget deficit by borrowing from the central bank or issuing bonds. Nominal flow budget constraint of the government: . . B + D = E(g- - cb) + i(B+D), l g: noninterest government spending. In real terms, and using (37): . . d + b - m = g + rb - i*R* - . (38) 67
l l l (38): government spending plus net interest payments on the domestic debt, minus lump-sum taxes, and interest income on reserves, must be financed by è issuance of bonds; è increase in real domestic credit; è seigniorage revenue. (38) yields government's intertemporal budget constraint. It equalizes present value of government purchases of goods and services to initial holdings of net assets plus present value of lump-sum taxes subject to the solvency requirement lim be-rt = 0. t 68
Money Market Equilibrium l Equilibrium condition of the money market: ms = md. l Given (31), the above Equation can be solved for the market-clearing domestic interest rate: + - i = i(c, m). l (39) Equilibrium nominal interest rate depends positively on private consumption and negatively on the stock of real cash balances. 69
Dynamic Form l Substituting (30), (35) and (38) in the household's flow budget constraint (28) give the economy's consolidated budget constraint: . . L* - R* = i*(L*-R*) + L* + c + g - y. (40) l l This determines the behavior over time of the total stock of foreign debt. Counterpart to change in net external liabilities: è current account deficit (c+g-y) and è net interest payments on the outstanding foreign debt i*(L*-R*) + L*. 70
l Integrating (40) yields economy's intertemporal budget constraint: L* - R* = 0 0 l l 0 e-i*(y - c - g - L*)dt. Current level of foreign debt must be equal to the discounted stream of the excess of future output over domestic absorption (c+g), adjusted for the loss in resources induced by capital market imperfections. (33), (34), (36), (38), (39), and (40) describe the evolution of the economy along any perfect foresight equilibrium path. 71
l The system can be rewritten as: L* = [i(c, m) - i* - ]/ , . c/c = [i(c, m) - - ], (41) (42) . . L* - R* = i*(L*-R*) + (L*)L* + c + g - y, (43). . d + b + m = g + rb - i*R* - , (44). d = ( - )d, (45) m = d + R*. (46) 72
l l (41)-(46): differential equation system with six endogenous variables, c, b, L*, R*, d, and m. Note that: capital account and overall balance of payments are defined in terms of changes in the level of private foreign debt and official reserves. This definition do not capture transactions that occur discretely under a regime of predetermined exchange rates. Although the economy's overall stock of foreign debt L*R* is predetermined, official reserves and private foreign borrowing may jump in response to sudden movements in domestic interest rates. 73
. Assume that b = 0, and instead government either borrows from the central bank or varies lump-sum taxes to balance its budget. . l Steady-state solution is obtained by setting c = L* = R* = . d = 0. In the long-run equilibrium: l Real domestic interest rate must be equal to the rate of time preference: l ~ ~ r = - = . l (47) Rate of domestic credit growth must be equal to the devaluation rate: = . 74
l Real money balances are thus ~ ~ m = m(c, + ). 75
Devaluation Rule l l Under a constant rate of devaluation ( = h), rate of growth of the credit stock must be endogenous if taxes cannot be adjusted to finance the fiscal deficit ( = 0). Setting constant stock of government bonds equal to zero, (44) implies that the evolution of the real stock of credit over time . d = g - i*R* - 0 - hm. l (50) Path of d given by (50) can be substituted in (45) to determine : . = h + d/d. 76
. l l . . From (46), m = d + R*. Substituting (50) in this expression yields . . m = R* + g - i*R* - 0 - hm. l Using (43): . . m = L* + y - c - 0 - (i* + )L* - hm. (51) l Because the stock of government bonds is normalized to zero, (28) implies that m = a + L*, (52) which can be substituted in (41) to give L* = [i(c, a+L*) - i* - h]/. 77
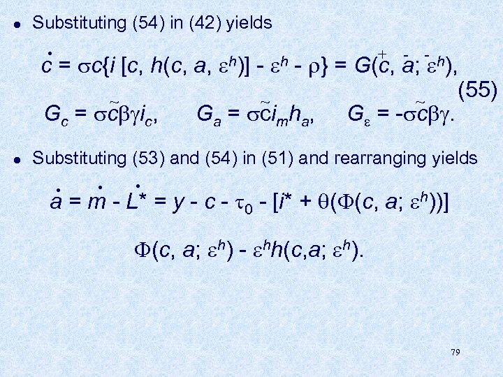
l Taking a linear approximation to the function i( ) yields L* = (icc + ima - i* - h)/( -im). l Equivalently + - - (53) L* = (c, a; h), where, setting 1/( -im) > 0: c = ic, a = im, = -. l Substituting (53) in (52) implies that + + - m = a + L* = h(c, a; h), (54) hc = c, ha = 1 + a < 1, h = . 78
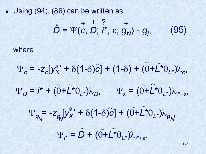
l Substituting (54) in (42) yields . + - h)] - h - } = G(c, a; h), c = c{i [c, h(c, a, (55) ~ ~ ~ Gc = c ic, Ga = cimha, G = - c . l Substituting (53) and (54) in (51) and rearranging yields . . . a = m - L* = y - c - 0 - [i* + ( (c, a; h))] (c, a; h) - hh(c, a; h). 79
l Equivalently - + +. a = (c, a; h), (56) where, with a ‘~’ denoting initial steady-state values: ~ ~ c = -1 - ( +L* L*) c, a = -( +L* L*) a - hha, ~ ~ ~ = -( +L* L*) h - m. l Taking a linear approximation of (55) and (56) around initial steady state yields the following system: . c. a = ~ Gc Ga c-c c a ~ a-a (57) 80
l l l l Consumption is a forward-looking variable, whereas financial wealth is predetermined at each moment in time, with an initial value a 0. Determinant of the system (57) is given by Gc a-Ga c. It must be negative for the system to be saddlepoint stable. Figure 11. 6: diagrammatic solution of the model. . CC (along which c = 0) is upward sloping and so is AA, . along which a = 0. Saddlepath stability requires CC to be steeper than AA. Saddlepath SS: unique path leading to the steady-state equilibrium (point E). Suppose that the economy is initially in a long-run equilibrium position. 81
82
l l l Consider the effect of a permanent, unanticipated reduction in from h to s < h. ~ ~ Reduction in raises a and lowers c. From (41) and (47), steady-state level of private foreign borrowing is ~ (58) L* = ( -i*)/ , ~ ~ Because a rises, it must be the case that m rises. Reason: l From (47) nominal interest rate must be equal in the steady-state to the rate of time preference plus the devaluation rate. l It therefore falls in the same proportion as the 83 devaluation rate so it raises demand for cash balances. l
l l l Reduction in raises private foreign borrowing at the initial level of domestic interest rates. Since private financial wealth cannot change, this portfolio shift must be offset by a rise in real money balances. This adjustment takes place through purchases of foreign currency assets by the central bank accompanied by a discrete increase in the domestic money stock. Consumption falls to place the economy toward new steady state. Since real money stock rises and consumption falls, domestic nominal interest rate falls by less than the devaluation rate. 84
l l l l Increase in foreign borrowing raises risk premium faced by private agents on world capital markets. So services account of balance of payments deteriorates. At the same time, reduction in private consumption leads to an improvement in trade balance. Net effect on changes in private financial wealth is positive. Rate of growth of the nominal credit stock falls on impact. Since shock is permanent, adjustment path to the new steady state is monotonic. Figure 11. 7: transitional dynamics. Economy is initially at point E. 85
86
l l l Reduction in shifts both CC and AA to the right. Because private wealth is predetermined, consumption jumps downward from point E to point B, located on the new saddlepath S’S’, and begins rising afterward. Nominal interest rate must rise over time to allow real interest rate to return to its initial steady-state value. This increase leads to a reduction in private foreign borrowing. During the transition current account remains in surplus, which is large enough to compensate for capital account deficit. Therefore, central bank's holdings of foreign assets and real money stock increase. 87
l l l As a result of both increase in real money balances and reduction in foreign borrowing, private financial wealth rises over time. Assuming that risk-free rate is not too large, rate of nominal credit growth falls gradually over time toward lower devaluation rate. New steady state is reached at point E ’. 88
Credit Growth Rule l l Under a constant nominal-credit rule ( = h), foreign . reserves of the central bank remain constant (R* = 0), and devaluation/inflation rate is determined endogenously. Setting constant level of official reserves equal to zero (m = d), (41) yields + - - = i(c, d) - i* - L* = (c, d, L*). l This which can be substituted out in (45) to give . d = [ h - (c, d, L*)]d. (59) 89
l l (59) determines changes in the real credit stock. . Because R* = 0, (43) can be written as . L* = [i* + (L*)]L* + c + g - y. l l l (60) This determines changes in private external borrowing. Difference from previous case: private foreign borrowing is predetermined at any point in time. Assume: lump-sum transfers are continually adjusted to maintain fiscal equilibrium. Dynamic system consists of (42), (59), and (60). From (41), i - = L* + i*. 90
l Substituting this result in (42) yields +. c/c = (i - - ) = ( L* + i* - ) = (L*). l Dynamic system: . 0 0 c. ~ ~ ~ d = - cd - dd - L*d. L* 1 0 ~ c-c ~ d-d ~ L* - L* (61) ~ ~ where = i* + + L* L*. 91
l l l Necessary and sufficient conditions for saddlepath stability: determinant of the matrix of coefficients in (61) be negative and its trace be positive. Both conditions always hold. Consider reduction in rate of expansion of nominal credit stock, from h to s < h. In the long run, private foreign borrowing is determined only by difference between rate of time preference and risk-free world interest rate, and thus does not change. Because output is constant, this result implies that consumption also does not change. From (59), devaluation rate must fall in the same proportion as the nominal credit growth rate, to ensure constant real credit stock in steady state. 92
l l l As a result, domestic nominal interest rate falls also in the same proportion as nominal credit growth rate. Because consumption does not change, reduction in opportunity cost of holding money is unambiguously associated with increase in real money balances. Because stock of nominal credit does not change, nominal exchange rate must undergo a step appreciation. There are, therefore, no transitional dynamics. Economy jumps immediately to new steady state, with no effect on consumption, current account, private foreign borrowing, or domestic real interest rate. Rate of depreciation falls instantaneously to the lower level of credit growth rate. 93
Nominal interest rate falls also in the same proportion. l This is associated with a steady-state increase in real money balances, resulting from an appreciation of the nominal exchange rate. Exchange rate and monetary rules may lead to very different adjustment paths for the main variables under imperfect capital mobility: l Models based on the monetary approach to the balance of payments possess a “dynamic equivalence” property: steady-state solutions and adjustment paths associated with a monetary rule or an exchange-rate rule are identical. l In the model developed here, behavior of economy during the transition period is completely different. l 94
Under a credit growth rule, there is no transitional adjustment as such; economy jumps immediately to the new steady state. è Under an exchange-rate rule, there are two types of adjustments: 4 those that occur through time; 4 those that occur instantaneously. Depending on the constraints that policymakers face in the short run, nature of the transitional dynamics determine adoption of one rule as opposed to the other. è l 95
Dynamics with Alternative Fiscal Policy Rules l l Adjustment path induced by monetary and exchangerate policy shocks depends on financing rules that policymakers adopt to close fiscal deficit. Assume: government does not issue bonds, and the central bank sets rate of growth of nominal credit so as to compensate the government for the loss in value of real outstanding stock of credit due to inflation ( = ). Government then adjusts lump-sum taxes to close fiscal deficit. In this setting, monetary policy and exchange-rate policy cannot be distinguished. 96
l l This financing rule satisfies the transversality condition of the public sector and is therefore sustainable. . Because credit rule implies that d = 0, Equation (44), . with b = 0, can be solved for lump-sum taxes: + m = g - i*R*, l m: inflation tax revenue. . . As a result of this rule, m = R* (changes in real money stock reflect only changes in the central bank's net foreign assets). 97
Agénor (1997 b): l Analysis of the above model under the financing rule. l Short- and long-run dynamics associated with a permanent, unanticipated reduction in the rate of devaluation-credit growth rate are similar to those reduction in the devaluation rate with credit financing of the budget deficit. 98
A Three-Good Model with Flexible Prices l l l Economy produces two goods: è nontradable good that is used only for final domestic consumption; è exportable good, whose output is entirely exported. Capital stock in each sector is fixed. Labor is homogeneous and perfectly mobile. Households and the government consume home goods and an imperfectly substitutable importable good. Prices in the home goods sector and nominal wages are perfectly flexible. 99
Households l l l Consumption decision follows a two-stage process: è determine optimal level of total consumption given their budget constraint; è allocate optimal amount between consumption of home and importable goods. Under the assumption that labor is supplied inelastically, representative household's discounted lifetime utility remains as in (27). Difference: c and m are measured in terms of price of consumption basket, P. 100
l Real financial wealth of the representative household is defined as in (28): a = m + b - l*, (63) a and b measured in terms of price of the consumption basket; real foreign indebtedness l* now defined as l* EL*/P. 101
l Flow budget constraint: . a = y + ib - c - - (i* + )l* - a, l (64) y: net factor income; . P/P: overall inflation rate. - a: capital losses on total wealth due to inflation. l*: increase in the domestic-currency value of external liabilities due to exchange rate devaluation. Using (63), (64) can be written as . a = ra + y - c - - (i* + + - i)l* - im, (65) r = i - : domestic real rate of interest. 102
l First stage of the consumption decision process: household è treats , , y, i, i* and as given, è internalizes effect of her borrowing decisions on , è maximizes (27) subject to (29) and (65) by choosing {c, m, b, L*}t=0. 103
l Optimality conditions: + - md = c /i = m(c, i) , (66) i = (i* + + ) + L* L*, (67) c/c = (r- ), (68) . lim(e- ta) = 0. t l Using linear approximation to , (67) yields a demand function foreign loans: L* = (i - i* - )/. (69) 104
What is new in this setting? l Intertemporal Euler Equation (68): overall expenditure growth depends on real rate of interest measured in terms of the price of the consumption basket. l Thus, presence of nontradable goods prevents equalization of domestic and foreign real interest rates. l Thus, differential changes in relative price of nontradable goods across countries imply different real rates of return even when nominal rates are equal. 105
l Second stage of consumption decision process: household maximizes a homothetic sub-utility function V(c. N, c. I), subject to static budget constraint PNc. N + Ec. I = Pc, l PN: price of the home good; c. I (c. N) expenditure on the importable (nontradable) good. Since foreign-currency price of the importable good is normalized to unity, domestic-currency price is nominal exchange rate. 106
l l Since household's intratemporal preferences are homothetic, desired ratio between home and importable goods depends only on their relative price, not on overall expenditure. Thus: Vc /Vc = z-1. N l I z E/PN : relative price of the importable good in terms of the home good. Assume: sub-utility function is Cobb-Douglas, so that V(c. N, c. I) = c. N c. I 1 - , 0 < < 1: share of total spending on home goods. 107
l Desired composition of spending is thus c. N/c. I = z/(1 - ). l This can be substituted in intratemporal budget constraint, c = z (c. I + c. N/z), to give c. N = z 1 - c, c. I = (1 - )z- c. l (70) From indirect sub-utility function, definition of consumer price index P: P = P E 1 - = Ez-. N 108
l Inflation rate: . = - z/z. (72) 109
Output and the Labor Market l Technology for the production of tradable and nontradable goods is characterized by decreasing returns to labor: yh = y(nh), yh’ > 0, yh’’ < 0 h = N, X, l yh: output of good h; nh: quantity of labor employed in sector h. From first-order conditions for profit maximization, the sectoral labor demand functions d d d n. X = n. X(w. X), n. N = n. N(zw. X), n. X’, n. N’ < 0, (74) w. X: product wage in the exportable goods sector. 110
l Since nominal wages are perfectly flexible, w. X can be solved for from equilibrium condition of the labor market: d d n. X(w. X) + n. N(zw. X) = ns, l ns: supply of labor (constant). Equilibrium product wage is negatively related to real exchange rate: w. X = w. X(z), w. X’ < 0, |w. X’| < 1. l (75) Substituting this result in (74) , and noting that d(zw. X)/dz = 1 + w. X’ > 0, yields sectoral supply equations: s s yh = yh(z), y. X’ > 0, y. N’ < 0. 111
Central Bank and the Government l l There are no commercial banks in the economy, and central bank does not provide credit to domestic agents. Real money supply ms = z R*. l (77) Real profits of the central bank, i* + z R*, are transferred to the government. 112
l With lump-sum financing, and setting constant real stock of government bonds to zero, government budget constraint = z (g. I + g. N/z) - z (i*+ )R*, (78) g. I and g. N: government spending on importable and nontradable goods. 113
Market-Clearing Conditions l Equilibrium conditions for the home goods market: s y. N = z 1 - c + g. N. l (79) Market-clearing interest rate is given by (39). 114
Dynamic Form l Real factor income y: s s y = z (y. X + y. N/z). l (80) Equations (63) and (77) yields a = z (R* - l*). l l Although R*-l* is predetermined, real exchange rate can change in discrete fashion; net financial wealth a can also jump on impact. Using definition of a and (72) yields: . . . a = z (R*-L*) + ( - )a. 115
Substituting this result, together with (70), (78), (79) and (80) in (64) yields l . . - c + g - y s. L* - R* = i*(l*-R*) + (l*, ·)L* + (1 - )z I X (81) l l This represents consolidated budget constraint of the economy. Integrating (81) yields economy's intertemporal budget constraint. 116
l From Equations (70) and (79), short-run equilibrium real exchange rate is obtained as - - (82) z = z(c; g. N), where s ~ zc = /[y. N’ - (1 - )c], zg = 1/[y. N’ - (1 - )c]. N 117
l Behavior of the economy over time: L* = [i(c, m) - i* - ]/ , . (83) . c/c = [i(c, m) - + z/z - ], . (84) z = z(c; g. N), (85) D = i*D + (L*)L* + (1 - )z- c + g m = z R*. l s T - y. X(z), (86) (87) (78) determines residually lump-sum taxes and D = L*R* denotes net external debt. 118
l To condense the dynamic form into a system involving only c and D, note that from (87): m = z (L*-D), or, using (83): m = z {[i(c, m) - (i*+ ) - D]/ }. 119
l Substituting (85) in (89) yields m = z(c; g. N) {icc - (i*+ ) - D}, 1/( -im), so that ? - - - m = (c, D; i*+ , g. N), (91) where ~ c = (ic+ zc. R*), D = - , i*+ = - , ~ g. N = zg. NR*. 120
l Substituting (91) in (84) yields . . c/c = {i [c, (c, D; i*+ , g. N)] - + z/z - }. (92) l l l Assume: changes in g. N occur only in discrete fashion. . c, with z < 0. . (85) therefore implies that z = zc c Substituting this result in (92) yields a dynamic equation . + + - c = G(c, D; i*, , g. N), ~ (93) ~ where, with = c/(1 - c zc) > 0: Gc = (ic+im c) , GD = im D , Gi* = im i*+ , G = (im i*+ -1) , Gg = im g . N N 121
l Substituting (91) into (83) yields + + + (94) L* = (c, D; i*+ , g. N), where D = im D/ = -im , i*+ = - , ~ c = (ic + im c)/ = (ic + im zc. R*), g = im g /. N N 122
l Using (94), (86) can be written as . + + ? - + (95) D = (c, D; i*, , g. N) - g. I, where ~ ~ s ~ c = -zc[y. X’ + (1 - )c] + (1 - ) + ( +L* L*) c, ~ ~ D = i* + ( +L* L*) D, = ( +L* L*) i*+ , ~ s ~ ~ g = -zg [y. X’ + (1 - )c] + ( +L* L*) g , N N N ~ ~ ~ i* = D + ( +L* L*) i*+. 123
l l l Partial derivative I * is ambiguous: è increase in risk-free rate raises debt-service payments in proportion to initial stock of foreign debt; è premium-related component of external debt service also falls along with demand foreign loans by private agents. Net effect on current account cannot be ascertained a priori. While highly indebted economies are investigated, it will be assumed that net effect is positive: rise in risk-free world interest rate increases current-account deficit. 124
l (93) and (95) form dynamic system in c and D, which can be linearized around the steady state and written as . c. D l l = ~ Gc GD c-c c D D-D ~ (96) Saddlepath stability requires Gc D - GD c < 0. . . Steady-state solution is obtained by setting c = D = 0 in (93) and (95). 125
l l From (72), steady-state inflation rate and rate of inflationin nontradable prices are equal to the devaluation rate: ~ ~ = N = . In the steady state current account must be in equilibrium: s ~ ~- ~ ~ y. X(z) - (1 - )z c - g. I = i*D + (L*, )L*. l l Real interest rate is equal to rate of time preference, and household's steady-state level of foreign borrowing is given by (58). Figure 11. 8: steady-state equilibrium. 126
127
l l NN curve in the north-west quadrant: combinations of private consumption c and real exchange rate z that are consistent with equilibrium in the market for nontradable goods (82). LL curve in the south-west quadrant: combinations of product wage in the exportable goods sector w. X and real exchange rate that are consistent with labor market equilibrium (75). CC and DD curves in the north-east quadrant: similar to curves in the previous subsection. Right of CC: domestic real interest rate is higher than rate of time preference, consumption is increasing, and real exchange rate is appreciating to eliminate excess supply of nontradable goods. 128
l l Left of CC: falling consumption, excess supply of home goods, and a depreciating real exchange rate. Saddlepath stability requires that CC curve be steeper than DD. 129
Policy Shocks Tax-financed, permanent increase in g. N. l It has no long-term effect on è domestic nominal interest rate; è foreign borrowing by the private sector. l At the initial level of the real exchange rate, private consumption must fall to maintain equilibrium of the market for nontradable goods. l Real money balances must therefore fall, because domestic interest rates do not change. l Reduction in private consumption is proportionally less than increase in government expenditure, so that è total domestic spending on home goods rises; 130
real exchange rate appreciates to maintain equilibrium in the home-goods market. Although real appreciation tends to reduce output of tradable goods, trade-balance surplus must rise to maintain external balance, because è economy's stock of debt D increases; è services account deteriorates. This increase in debt results from reduction in net foreign assets held by the central bank R*. On impact, private consumption falls because increase in government spending è raises households' lifetime tax liabilities; è thus reduces their lifetime wealth. è l l l 131
l l l Real exchange rate may either appreciate or depreciate, depending on whether total spending on nontradable goods rises or falls. If degree of intertemporal substitution in consumption is sufficiently low, è private consumption will change relatively little on impact; è total spending will increase; è this leads to an appreciation of real exchange rate. Figure 11. 9: adjustment path to permanent increase in g. N when is low enough to ensure that real exchange rate appreciates. CC and DD shift to the left in the north-west panel. NN in the north-east panel shifts inward. 132
133
l l l Private consumption jumps downward from point E to point A located on the new saddlepath S’S’. Real exchange rate jumps from point H to point Q located on the new NN curve. At the initial level of interest rates and official reserves, real money stock falls on impact. Reduction in money demand induced by fall in c is matched by reduction in supply. Reason for reduction in supply: valuation effects on domestic-currency value of official reserves associated with appreciation of real exchange rate. If valuation effects are not too large, fall in c leads to reduction in i, despite upward pressure induced by reduction in money supply. 134
l l l l Private foreign indebtedness therefore falls, and the economy registers an outflow of capital. Because stock of foreign debt cannot change on impact, official reserves must fall. Current account moves into deficit and remains in deficit throughout the transition process. c continues to fall over time, and real exchange rate depreciates. Because i falls on impact, it must be rising during the transition to the new long-run equilibrium in order to restore equality between r and . Thus, private foreign indebtedness increases over time and the economy experiences net capital inflows. This continues until private borrowing on world capital 135 markets returns to its initial value.
Unanticipated permanent reduction in : l This has no long-run effects on r or private foreign borrowing. l But, although r remains equal to in the new steady state, i falls in the same proportion as devaluation rate. l Reduction in opportunity cost of holding money raises demand for domestic cash balances. l Official stock of net foreign assets must thus rise. l Since private foreign borrowing does not change, the economy's external debt must be lower in the new steady state. l This implies that initial deficit in the services account is also lower. 136
l l l To maintain external balance, initial trade surplus must fall (or c must rise). Increase in c leads to real exchange rate appreciation and raises further demand for domestic cash balances. On impact, c falls because the immediate effect of reduction in is to increase r, thereby creating an incentive to shift c toward the future. Reduction in also leads to a discrete increase in private demand foreign loans, thereby requiring an offsetting increase in official reserves. Because c falls and m rises, net impact effect on i is unambiguously negative. Fall in c requires a depreciation of real exchange rate to maintain equilibrium between supply and demand for 137 home goods.
l l l l As a result of reduction in c and expansion of output of tradables induced by depreciation of real exchange rate, trade balance surplus increases. Negative income effect associated with increase in premium-related component of interest payments raises initial deficit of the services account. Current account nevertheless improves, and external debt falls. Because the shock is permanent, current account remains in surplus throughout adjustment process. c increases, and real exchange rate appreciates. r rises toward its initial steady-state level, given by . Upper panel of Figure 11. 10: dynamics of this shock. Both CC and DD shift to the left. 138
139
140
Consumption jumps downward from E to point A on impact, and begins rising afterward. l Economy's stock of foreign debt falls during transition to the new steady state, which is reached at E’. Temporary reduction in : l Lower panel of Figure 11. 10. l Because the shock is temporary, optimal smoothing response for the household is to reduce c by less than she would, if the shock was permanent. l Depending on the length of the interval, two adjustment paths are possible. If duration of the shock is short: l c jumps downward from E to A’, and increases until reaching B’ on the original saddlepath at T. 141 l
Trade balance improves only slightly, since short duration of the shock gives agents little incentive to alter their c path. l Current account therefore moves into deficit, and external debt increases until the shock is reversed. l Thus, c will continue to increase, with current account moving into surplus, until economy returns to the original equilibrium point E. If duration of the shock is sufficiently long: l c jumps from E to A, and increases until F on the original saddlepath is reached at T. l Thereafter, c starts falling along the original saddlepath SS, reaching the original equilibrium point E. l 142
Whereas current account remains in surplus during the first phase of the adjustment process, it moves into deficit afterward. l Point B is reached before period T. l Thereafter, with c falling between F and E, current account remains in deficit, and external debt increases. Difference between long-run predictions under perfect and imperfect world capital markets: Under perfect capital markets: l 0. l Uncovered interest parity condition i = i*+ holds continuously, and private foreign borrowing can take any value a priori. l 143
l l l Increase in demand for real cash balances induced by reduction in opportunity cost of holding money is achieved through increase in both è money holdings; è foreign indebtedness. Household increases borrowing on world capital markets. This generates capital inflow which is monetized by exchanging foreign exchange for domestic currency at the central bank in such a way that the economy's net stock of debt remains constant. There are no real effects, and the adjustment process displays no dynamics. Economy jumps instantaneously to the new steady state. 144
Although the composition of the economy's net external debt changes, stock of debt and real variables do not. Capital market imperfections: l > 0. l Long-run value of private foreign borrowing is “pinned down” by the difference between i* and , and therefore cannot vary across steady states in response to a change in . l Thus, increase in real cash balances induced by the reduction in opportunity cost of holding money cannot take place directly through inflow of capital and increase in private foreign indebtedness. l For official reserves to expand for money supply to match the increased demand for money, requires 145 sequence of current account surpluses. l
l l Because higher official reserves imply a reduction in the economy's net external debt, lower deficit in the services account must be accompanied by a lower trade surplus (higher c). Adjustment process to a reduction in displays transitional dynamics as well as real effects in the long run. 146
Extensions l Imported intermediate inputs and price stickiness in the nontraded goods sector. 147
Imported Intermediate Inputs l l Output of nontraded goods is produced using labor n. N and imported intermediate materials ON according to a fixed-coefficients technology. Production function is thus given by y. N = min(n. N, ON), l 1/ : amount of intermediate materials that must be combined with a unit of labor to produce a unit of the domestic good. Factor demand functions: d d n. N = y. N, ON = -1 y. N. 148
l Assuming that world price of imported inputs is equal to unity, in equilibrium price of home goods would be given by the zero-profit condition: p. N = w + -1 E. l This implies that w/E = z - -1. 149
Sticky Prices l l Suppose that price of the nontraded good PN is predetermined and adjusts only gradually in response to disequilibrium in the market for these goods. Specifically, consider the price adjustment Equation: . 1 - c + g - y s ] + , > 0 PN/PN = [ z N N (99) l l : speed of adjustment. = 0: model operates in a “Keynesian” mode with fixed prices. : case of perfect price flexibility. 150
l . Since z/z = - N, using (99) yields . - - 0 s z/z= - [ z 1 - c + g. N - y. N] - = (c, z; , g. N), l (100) where c = - . In contrast to the case of perfect price flexibility, the relationship is not between rates of change of z and c, but between rate of change of z and the level of c. 151
l Other Equations of the dynamic system are: L* = [i(c, m) - i* - ]/ , . . c/c = [i(c, m) - + z/z - ], (101) (102) . s D = i*D + (L*)L* + (1 - )z- c + g. I - y. X(z), (103) m = z R*. (104) L* = (c, D; i*+ ), (105) where c, D > 0, and i*+ < 0. 152
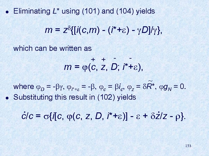
l Eliminating L* using (101) and (104) yields m = z {[i(c, m) - (i*+ ) - D]/ }, which can be written as + + - - m = (c, z, D; i*+ ), l ~ where D = - , i*+ = - , c = ic, z = R*, g. N = 0. Substituting this result in (102) yields . . c/c = {i[c, (c, z, D, i*+ )] - + z/z - }. 153
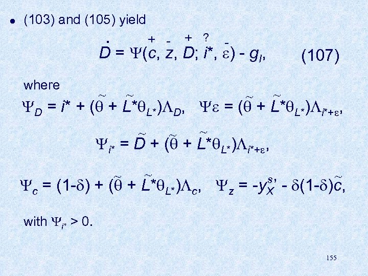
l Then, using (100): . ? - + + - - c = G(c, z, D; i*, , g. N), (106) with = c > 0: Gc = (ic + im c + c) , Gz = (im z + z) , GD = im D , Gi* = im i*+ , G = (im i*+ - 1) , Gg. N = g. N. l If is sufficiently high, Gc, Gz < 0. 154
l (103) and (105) yield . + - + ? - D = (c, z, D; i*, ) - g. I, where ~ ~ (107) ~ ~ D = i* + ( + L* L*) D, = ( + L* L*) i*+ , ~ ~ ~ i* = D + ( + L* L*) i*+ , ~ ~ s ~ c = (1 - ) + ( + L* L*) c, z = -y. X’ - (1 - )c, with i* > 0. 155
l l (100), (106), and (107) represent a dynamic system in c, z, and D. Linearizing the model around the steady state gives . c. z. D Gc Gz GD = c z 0 c z D ~ c-c ~ z-z ~ D-D 156
l Determinant of the system's matrix of coefficients A: |A| = - c( DGz - z. GD) + z( DGc - c. GD), l l l It can be established, assuming that D is initially close to zero, that |A| > 0. Because |A| is equal to the product of the system's characteristic roots, there are either two roots with negative real part or no negative root. Assume that is sufficiently high to ensure that tr. A is negative: tr. A = Gc + z + D. 157
l l Because tr. A is equal to the sum of the system's characteristic roots, there must be at least one root with negative real part. Conclusion: è There are two roots with negative real parts. è Thus, because z and D are predetermined state variables, the system is saddlepath stable. 158


