63b866092e997ec013c69987f142cf04.ppt
- Количество слайдов: 28
Capital Structure Basic concepts: no taxes
Chapter 15 Capital Structure: Basic Concepts 4 Capital-structure 4 No-arbitrage 4 Example: and pie theory pricing. shares for debt 4 Value 4 Required return on the levered firm.
Financial Leverage, EPS, and ROE Current Proposed Assets $20, 000 Debt $0 $8, 000 Equity $20, 000 $12, 000 Debt/Equity 0. 00 0. 67 Interest rate n/a 8% Shares 400 Share price $50 240
Comments 4 Straight swap of equity for debt 4 Market prices unchanged 4 Real asset unchanged
Financial leverage and risk 4 Three states: bust, normal, boom. 4 Probabilities not explicit. 4 Look at each state separately.
EPS, ROE, Current Structure Shares Outstanding = 400 Bust Normal Boom EBIT$1, 000 $2, 000 $3, 000 Interest 0 0 0 Net income $1, 000 $2, 000 $3, 000 EPS $2. 50 $5. 00 $7. 50 ROA 5% 10% 15%
EPS and ROE under Proposed Capital Structure Shares Outstanding = 240 Bust Normal Boom EBIT$1, 000 $2, 000 $3, 000 Interest 640 640 Net income $360$1, 360 $2, 360 EPS $1. 50 $5. 67 $9. 83 ROA 5% 10% 15% ROE 3% 11% 20%
Financial and operating leverage 4 Find the point of equal EPS 4 Let x = EBIT 4 Solve x/400 = (x - 640)/240 4 Solution x = 1600. 4 EPS = 4 per share, in either structure
12. 00 Debt 10. 00 Break-even Point EPS 8. 00 6. 00 4. 00 No Debt 2. 00 0. 00 EBIT 1, 000 (2. 00) 2, 000 3, 000
Modigliani-Miller (MM) Model 4 Perpetual Cash Flows (convenient) 4 Firms and investors can borrow and lend at the same rate (convenient) 4 No transaction costs (convenient) 4 No taxes
Homemade leverage 4 Instead of the firm leveraging or unleveraging, 4 the investor does it herself, by borrowing or lending, 4 leveraging or unleveraging her portfolio.
Borrow $8000, buy the unlevered firm for $20, 000 Earnings Interest at 8% Net Profits ROE (on $12 K) Bust Normal Boom $1000 $2000 $3000 $640 $360 $1360 $2360 3% 11% 20% Same as owning the levered firm
Okay, don’t buy the whole firm 4 Buy 10%, forty shares for $2000. 4 Borrow $800. 4 Total cost $1200 4 Same as having 10% of the levered firm, that is, 24 shares at $50 per share.
Homemade annihilation of leverage 4 Idea. Form a portfolio. 4 Part lending… 4 part the levered firm. 4 Portfolio has the action of the unlevered firm. 4 A levered firm is a portfolio.
Buy the levered firm (240 shares) and lend 8000 Cost of Portfolio = 12000 + 8000 = 20000 Bust Normal Boom EPS $1. 50$5. 67$9. 83 Earnings $360 $1360 $2360 Interest at (8%) $640 Net cash flow $1000 $2000 $3000 ROE 5% 10% 15% (Net cash flow / $2, 000)
The firm is a veil 4 A way for shareholders to hold a portfolio.
Proposition I of MM (No Taxes) 4 P 1: Value is unaffected by leverage 4 P 1: VL = VU ; or SL + B = SU 4 Pie theory
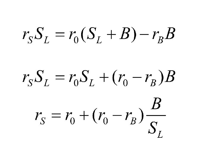
Proposition II of M-M (no taxes) 4 r. B is the interest rate 4 rs is the return on (levered) equity r 0 is the return on unlevered equity 4 B is value of debt 4 SL is value of levered equity 4 rs = r 0 + (B / SL) (r 0 - r. B)
Quick derivation of MM II 4 Uses MM I. Value unchanged. 4 Uses cash flow constraint.
For instance, capital structure Value Shares SL Random cash flow s. L Bonds B b Unlevered firm SU s. U = s. L + b Conclusion: SU= SL + B
Cash flows MM I
MM I Expected cash flows (*)
Weighted average cost of capital 4 Go back to equation (*) in the derivation, divide by SL + B 4 Result: r. WACC = r 0
MM Proposition II no tax Cost of capital: r (%) r. S r 0 . r. WACC r. B Debt-toequity ratio (B/S)
What is the weighted average cost of capital ? 4 Give the definitions and the formula. 4 r. WACC = S/(S+B))r. S + (B/(S+B))(1 -TC)r. B 4 r. WACC is the market rate at which the physical asset of the firm is discounted. 4 r. WACC is the market rate for project whose risk profile is like that of the physical asset of the firm.
Conclusion 4 Weighted average cost of capital doesn’t change because the physical asset of the firm doesn’t change.
63b866092e997ec013c69987f142cf04.ppt