b0a891da36467302b2a5bf295b9b8d78.ppt
- Количество слайдов: 27
Bond Basics By A. V. Vedpuriswar
Bond basics v v v v A bond is an IOU between the Issuer and the investors. In most cases, the loan is for a fixed term, so that there is a specified repayment date. There is also (in most cases) a fixed interest rate or coupon. In other words, a bond is a package of cash flows, which are received by the bondholder at future dates until repayment. The price of a package of future cash flows is its “net present value”. This value will fluctuate with changes in market interest rates. Therefore, during its life the price of the bond will fluctuate, and will move towards 100 (“par”) on maturity date.
Basic definitions v v v v v Yield The interest rate which can be earned on an investment, currently quoted by the market or implied by the current market price for the investment. Not to be confused with the coupon paid by an issuer on a security, which is the coupon rate multiplied by the face value. For a bond, it is the yield to maturity unless otherwise specified. Yield to maturity The internal rate of return of a bond The yield necessary to discount all the bond’s cash flows to an NPV equal to its current price. It equals all the interest payments received (and assumes that we will reinvest the interest payment at the same rate as the current yield on the bond) plus any gain (if we purchased at a discount) or loss (if we purchased at a premium). Yield to equivalent life The same as yield to maturity for a bond with partial redemptions.
The Yield Curve v v v v The bond market’s main prediction tool is the yield curve. Indeed, the yield curve is probably the only true market indicator and potential forecaster of the market. The shape of the yield curve has correctly predicted every recession in the US since the war. The yield curve plots the yield on a group of bonds against their maturities. Only the same class of bonds can be plotted together (gilts, Treasuries, AA Sterling Eurobonds, etc) The conventional shape of the curve is gently upward sloping. The curve can be inverted if market is expecting recession or for specific structural factors.
v v In the United States, the Treasury yield curve is the first mover of all domestic interest rates and an influential factor in setting global rates. Interest rates on all other domestic bond categories rise and fall with Treasuries which are the debt securities issued by the U. S. government. To attract investors, any bond or debt security that contains greater risk than that of a similar Treasury bond must offer a higher yield. For example, the 30 -year mortgage rate historically runs 1% to 2% above the yield on 30 -year Treasury bonds.
Normal yield curve v The longer the maturity the higher the yield expected by investors
Historical yield trends in the US
Factors affecting yields
Useful definitions v v v v v Par yield curve A curve plotting maturity against yield for bonds priced at par. Asset & Liability Management (ALM) The practice of matching the maturity and cash flows of an organisation’s asset and liability portfolios to maximise returns and minimise risk. Also includes the deliberate mis-matching of cash flows to take account of views on the short-term yield curve. Benchmark A bond whose terms set a standard for the market. The benchmark usually has the greatest liquidity. It also usually trades expensive relative to the yield curve, due to higher demand for it amongst institutional investors.
More definitions(Contd) v v v Convexity A measure of the curvature of a bond’s price/yield curve (mathematically). Yield-curve option Option that allows purchasers to take a view on a yield curve without having to take a view about a market’s direction. Yield-curve swap Swap in which the index rates of the two interest streams are at different points on the yield curve. Both payments are refixed with the same frequency whatever the index rate.
Zero-coupon v v v A zero-coupon security is one that does not pay a coupon. Its price is correspondingly less to compensate for this. A zero-coupon yield is the yield which a zero-coupon investment for that term would have if it were consistent with the par yield curve.
Z-spread v v v The z-spread is a spread of a bond yield to a yield curve. It is the basis point spread that would need to be added to the implied spot yield curve such that the discounted cash flows of a bond are equal to its present value (its current market price). Each bond cash flow would be discounted by the relevant spot rate for its maturity term. This differs from a conventional swap spread which has been calculated using the bond's yield-to-maturity to discount all its cash flows. Both spreads can be viewed as the coupon of a swap market annuity of equivalent credit risk of the bond being valued.
Bond price fluctuations v v v A bond's price changes on a daily basis, just like that of any other publicly traded security. Many investors do not hold bonds to maturity. At any time, a bond can be sold in the open market, where the price can fluctuate, sometimes dramatically.
Simple Yield calculations v v v v Yield is a figure that shows the return we get on a bond. The simplest version of yield is calculated using the following formula: Yield = coupon amount/price. When we buy a bond at par, yield is equal to the interest rate. When the price changes, so does the yield. If we buy a bond with a 10% coupon at its $1, 000 par value, the yield is 10% ($100/$1, 000). But if the price goes down to $800, then the yield goes up to 12. 5%. Conversely, if the bond goes up in price to $1, 200, the yield shrinks to 8. 33% ($100/$1, 200).
Understanding the Link Between Price and Yield v v v v v When interest rates rise, the prices of bonds in the market fall. Thereby raising the yield of the older bonds And bringing them into line with newer bonds being issued with higher coupons. When interest rates fall, the prices of bonds in the market rise. Thereby lowering the yield of the older bonds. And bringing them into line with newer bonds being issued with lower coupons. If we are a bond buyer, we want high yields. On the other hand, if we already own a bond, we have locked in our interest rate, so we hope the price of the bond goes up. This way we can cash out by selling our bond in the future.
Illustration ¨ A zero coupon bond of redemption value $1, 000 is trading at $ 950, 000 1 year ahead of maturity. What is the yield? Solution ¨ Price = $ 950, 000 ¨ Interest = $ 50, 000 ¨ Yield = $ 50, 000/$950, 000 = 1/19 = . 0526 = 5. 26% GEN 0190 n. ppt 16
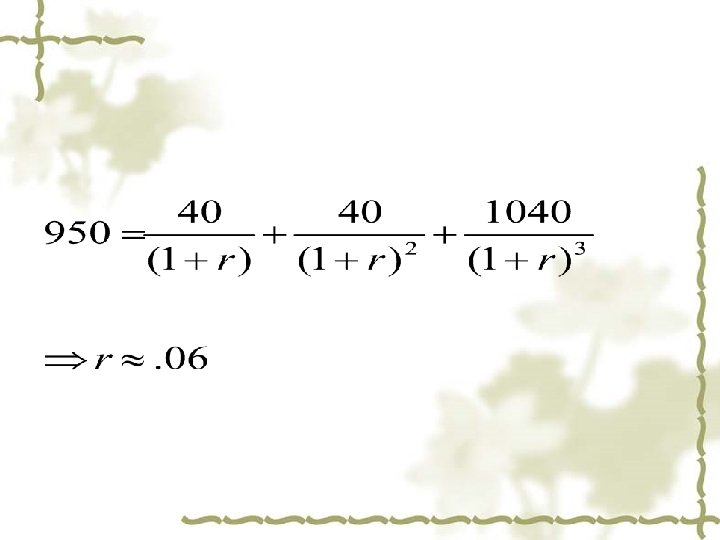
Illustration ¨ What is the yield to maturity of a bond of face value $ 1000, redemption period of 3 years, coupon = 4% and the bond is being traded at $ 950? GEN 0190 n. ppt 17
Illustration v v v v v Three month, $ 1 million Eurodollar futures are trading at 89. 25. A speculator believes interest rates are going to rise. What should he do ? If on the date of settlement, futures quote 88. 75, what is his gain or loss? Solution Futures price = 100 - yield Sell futures 100 -89. 25 = (1, 000 - A)/(1, 000)x 400 A = $ 973, 125 100 -88. 75= (1, 000 -B)/(1, 000)x 400 B = $ 971, 875 Gain = A - B = 973, 125 - 971, 875 = 1250
Illustration v v v v v On January 5, March futures maturing after 77 days on March 22 are yielding 12. 50%. 167 day T Bills are now yielding 10% while 77 day T Bills are yielding 6%. The yields given are actual and based on daily compounding. Are there any arbitrage possibilities ? Borrow for 77 days, Invest for 167 days, Sell March futures After 77 days, collect money realised against sale of futures Give delivery of T Bill and repay loan. Price of 167 day T Bill = (1, 000)/(1+. 10)167/360 = $ 956, 750 Borrow $ 956, 750 for 77 days. After 77 days, realisation from sale of futures = (1, 000)/(1+. 125)90/360 = $ 970, 984 Repayment of loan = (956, 750)(1+. 06)77/360 = $ 968, 749 Profit = 970, 984 - 968, 749 = $ 2235
Illustration v v v v v Repeat previous problem if yield on 77 day T Bills is 8%. Buy March futures. Borrow for 167 days. Invest for 77 days In March, collect money from maturing 77 day T Bill. Pay and take delivery against March futures. Hold till delivery. To buy future we need 1, 000/(1+. 125)90/360 = $ 970, 984 Investment today = 970, 984/(1+0. 08)77/360 = $ 955, 131 Issue 167 day T Bill for $ 955, 131 Buy 77 day T Bill for $ 955, 131 Outflow after 167 days = (955, 131)(1+. 10)167/360= 988, 308 Gain = 1, 000 - 998, 308 = $1, 692
Government Bonds v v v In general, fixed-income securities are classified according to the length of time before maturity. These are three main categories: Bills - debt securities maturing in less than one year. Notes - debt securities maturing in one to 10 years. Bonds - debt securities maturing in more than 10 years. Marketable securities from the U. S. government - known collectively as Treasuries - follow this guideline and are issued as Treasury bonds, Treasury notes and Treasury bills (T-bills). All debt issued by the US government is regarded as extremely safe, as is the debt of any developed country. The debt of many developing countries, however, does carry substantial risk. Like companies, countries can default on payments
Treasury Bills v v A short-term debt obligation backed by the U. S. government with a maturity of less than one year. T-bills are sold in denominations of $1, 000 up to a maximum purchase of $5 million and commonly have maturities of one month (four weeks), three months (13 weeks) or six months (26 weeks). T-bills are issued through a competitive bidding process at a discount from par. Rather than paying fixed interest payments like conventional bonds, the appreciation of the bond provides the return to the holder.
On the run and Off the run Treasury Bills v On the run Treasury Bills v The most recently issued U. S. Treasury bond or note of a particular maturity. v Off the run Treasury Bills v The Treasury bonds and notes issued before the most recently issued bond or note of a particular maturity. Once a new Treasury security of any maturity is issued, the previously issued security with the same maturity becomes the off-the-run bond or note. Because off-the-run securities are less frequently traded, they typically are less expensive and carry a slightly greater yield. v v
T Bonds v v v A marketable, fixed-interest U. S. government debt security with a maturity of more than 10 years. The bonds make interest payments semi-annually and the income that holders receive is only taxed at the federal level. Treasury bonds are issued with a minimum denomination of $1, 000. The bonds are initially sold through auction in which the maximum purchase amount is $5 million if the bid is noncompetitive or 35% of the offering if the bid is competitive. A competitive bid states the rate that the bidder is willing to accept; it will be accepted depending on how it compares to the set rate of the bond. A non-competitive bid ensures that the bidder will get the bond but he or she will have to accept the set rate.
v v Municipal bonds, known as "munis", are the next progression in terms of risk. . The major advantage to munis is that the returns are free from federal tax. Furthermore, local governments will sometimes make their debt non-taxable for residents, thus making some municipal bonds completely tax free. Because of these tax savings, the yield on a muni is usually lower than that of a taxable bond. .
Corporate Bonds v v v A company can issue bonds just as it can issue stock. Generally, a short-term corporate bond is less than five years; intermediate is five to 12 years, and long term is over 12 years. Corporate bonds are characterized by higher yields because there is a higher risk of a company defaulting than a government. The company's credit quality is very important: the higher the quality, the lower the interest rate the investor receives. Other variations on corporate bonds include convertible bonds which the holder can convert into stock, and callable bonds which allow the company to redeem an issue prior to maturity
b0a891da36467302b2a5bf295b9b8d78.ppt