ферменты дс презент.pptx
- Количество слайдов: 128
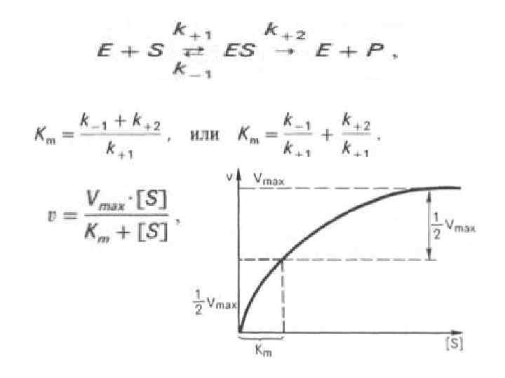
Биохимия начала ХХ века • Биохимия стала первой биологической дисциплиной с развитым математическим аппаратом благодаря работам Холдейна, Михаэлиса, Ментен и других биохимиков, создавших ферментативную кинетику, основным законом которой является уравнение Михаэлиса. Ментен. • Открытие ферментов позволило начать грандиозную работу по полному описанию всех процессов метаболизма, не завершенную до сих пор. Одними из первых значительных находок в этой области стали открытия витаминов, гликолиза и цикла трикарбоновых кислот.
Зарождение энзимологии и химии белка Новый толчок развитию биологической химии дали работы по изучению брожения, инициированные Луи Пастером. В 1897 г. Эдуард Бухнер доказал, что ферментация сахара может происходить в присутствии бесклеточного дрожжевого экстракта, и это процесс не столько биологический, сколько химический. На рубеже XIX и XX веков работал крупнейший немецкий биохимик Э. Фишер. Он сформулировал основные положения пептидной теории строения белков, установил структуру и свойства почти всех входящих в их состав аминокислот, предложил гипотезу специфичности ферментов. Но лишь в 1926 г. Джеймсу Самнеру удалось получить первый чистый фермент, уреазу, и доказать, что фермент - это белок.
Кофакторы • Кофактор, легко отделяющийся от фермента при диализе, называют коферментом. • Кофактор, не отделяющийся от фермента, называют простетической группой. • Кофактором могут быть ионы металлов.
Активный центр
Ферментативная реакция
Энергетический профиль реакции
Факторы, обеспечивающие эффективность механизмов ферментативной реакции. Сближение, фиксация и ориентация субстрата. Многоточечный контакт. Эффект напряжения и дестабилизация субстрата. Стабилизация переходного состояния. Гидрофобность микросреды. Исключение воды. Перенос групп. Общий кислотно-основный и ковалентный катализ
Образование фермент-субстратного комплекса согласно теории ключ-замок
Лактатдегидрогеназа как пример изофермента
Ферментативная кинетика
График Лайнуивера-Берка
Зависимость скорости от температуры
Зависимость скорости от p. H
Активирование путем ковалентной модификации
Активирование путем нековалентной модификации
Ингибирование
Конкурентное ингибирование
Пример структурного сходства при синтезе фолиевой кислоты мироорганизмами
Конкурентное ингибирование
Неконкурентное ингибирование
Уровни регуляции ферментативной активности • Низший -Изменение каталитической активности под действием факторов внешней среды • Изменение каталитической активности регуляторных ферментов • Изменение интенсивности синтеза ферментов • Высший - гормональный
Аллостерическая регуляция
Классы ферментов
Биоэнергетика – раздел биохимии, изучающий процессы превращения и запасания энергии в живых системах
В. П. Скулачев: АТФ в инъекциях для восполнения энергии ? ? ?
Общая схема процессов, обеспечивающих получение энергии в клетке
Общая схема реакций цикла Кребса
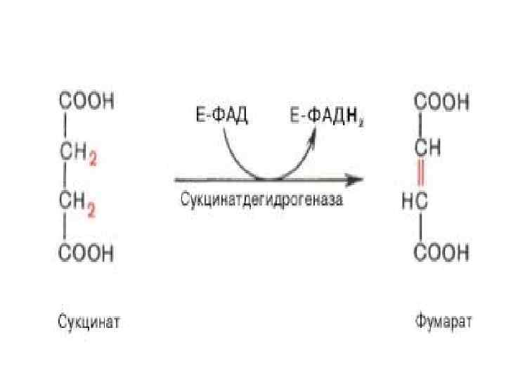
Малонат как конкурентный ингибитор сукцинатдегидрогеназой
Механизмы регуляции цикла Кребса
Принцип измерения окислительновосстановительного потенциала
Рис. 1. Две формы протонного потенциала: градиент кислотности (а) и электрического поля (б ). Вероятное направление протонного тока показано стрелкой
Протонный потенциал в митохондриях
Изменение редокс -потенциалов в дыхательной цепи
Установление последовательности переносчиков в дыхательной цепи
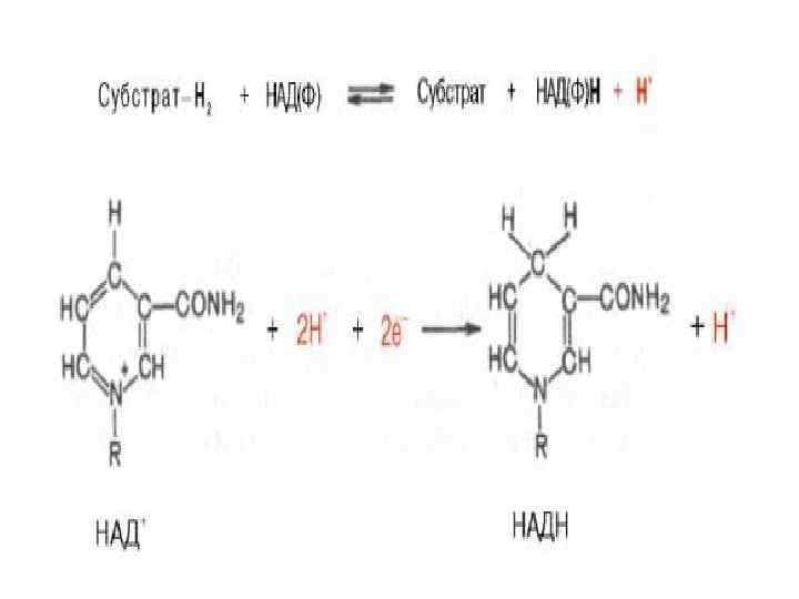
Четыре группы соединений, участвующих в транспорте электронов • НАДН (НАДФН) (способны переносить гидрид-ион) • Хиноны (убихинон) (способны переносить от одного до двух атомов водорода) • Цитохромы (переносят электроны) • Железо (медь) серные кластеры (переносят электроны)
Превращения убихинона
Различные по сложности железосерные кластеры, участвующие в транспорте электронов в дыхательной цепи
Суммарная упрощенная схема транспорта электронов по дыхательной цепи
Четыре электрон-транспортирующих комплекса митохондрий
Н+транспортирующая - АТФ синтаза
Н+транспортирующая - АТФ синтаза
Механизмы сопряжения окисления и фосфорилирования твует предположение о трех механизмах синтеза АТФ ягающих мембранах: осмотического, формационно-механохимического сопряжения. льших экспериментальных подтверждений ил хемиосмотический механизм, выдвинутый йским биохимиком Питером Митчеллом. но хемиосмотическому механизму запасание энергии электронов, осимых по редокс-цепи, ствляется в форме электрохимических потенциала, ованного градиентом протонов мбране; обращение протонного градиента дит к синтезу АТФ
Механизм сопряжения дыхания и фосфорилирования АДФ
• Питер Митчел
Принцип хемиосмотического механизма синтеза АТР и экспериментальные данные, свидетельствующие в пользу этой гипотезы
Перенос Н+ через мембрану митохондрий жирными кислотами
Свободные радикалы Борьба
Оксидативный стресс
Схема окислительного повреждения ДНК ОН*-
ЭВОЛЮЦИЯ ПО СКУЛАЧЕВУ: ЧЕЛОВЕК РАЗУМНЫЙ И НЕСТАРЕЮЩИЙ
Sk. Q – ион убирает токсичные формы кислорода, ускоряющие старение
ГОРМОНЫ • Гормоны –биологически активные сигнальные вещества, образующиеся в эндокринных железах, поступающие в кровь и вызывающие изменения физиологических функций и обмена веществ.
Метаболические пути гормонов в организме
Механизмы действия гормонов
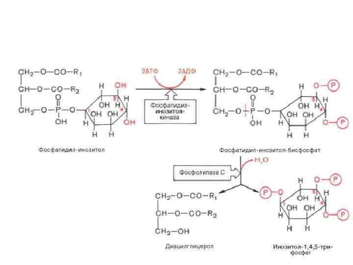
Вторичные посредники(мессенджеры) • • • ц-АМФ Ц-ГМФ Ионы кальция Диацилглицерол Инозитол-1, 4, 5 -трифосфат Оксид азота
Аденилатциклазный механизм передачи гормонального сигнала
Активирование протеинкиназы
Синтез NO
Стероидные гормоны
Синтез стероидных гормонов
Механизм действия инсулина
Синтез адреналина
• Синтез тиреоидных гомонов
ферменты дс презент.pptx