Биотрансформация лекарств (Фармфак) 3 курс 2013 г.ppt
- Количество слайдов: 37
БИОХИМИЧЕСКИЕ АСПЕКТЫ БИОТРАНСФОРМАЦИИ ЛЕКАРСТВЕННЫХ ВЕЩЕСТВ
План лекции: 1. 2. 3. 4. 5. 6. Этапы биотрансформации лекарственных веществ; Реакции 1 фазы химической модификации лекарственных веществ; Характеристика микросомальной системы окисления. Функционирование цитохрома Р 450 Вторая фаза биотрансформации лекарственных веществ; Изменение свойств лекарств при биотрансформации; Факторы, влияющие на превращение лекарств в организме.
Этапы биотрансформации лекарств в организме: организме • Всасывание; • Связывание с белками и транспорт кровью; • Взаимодействие с рецепторами; • Распределение в тканях; • Метаболизм; • Выведение из организма.
Всасывание лекарственных веществ • Этап зависит от физико-химических свойств лекарства • Гидрофобные (липофильные) соединения (простая диффузия) • Гидрофильные (липофобные) соединения (трансмембранный перенос с участием ферментов – транслоказ) • Крупные нерастворимые частицы (пиноцитоз)
Лекарственные вещества (по физикохимическим свойствам) Липофобные (гидрофильные) Липофильные (гидрофобные) Проникают через мембраны с помощью белков-переносчиков или сквозь белковые каналы. Легко проникают через мембраны простой диффузией по градиенту концентрации Белокпереносчик АТФ
Транспорт лекарств по крови Гидрофобные молекулы Гидрофильные молекулы • • • Альбумин Кислый α 1 -гликопротеин В составе липопротеинов Транспортируются самостоятельно
Характеристика фаз биотрансформации лекарственных веществ I фаза – фаза модификации II фаза – фаза конъюгации I фаза – фаза модификации Процесс химической модификации исходной структуры лекарственного вещества, в результате которой в молекуле: А) образуются функциональные группы; Б) освобождаются свои функциональные группы, заблокированные в начальном состоянии.
Роль фазы модификации: А) повышение растворимости вещества в воде и ↓ токсичности; Б) обеспечение возможности участия лекарственных веществ в реакциях II фазы биотрансформации. I ФАЗА ХАРАКТЕРНА ДЛЯ ВСЕХ ЛИПОФИЛЬНЫХ ВЕЩЕСТВ
Система микросомального окисления Микросомальная система – это комплекс мембранных белков эндоплазматического ретикулума, образующих электронтранспортные цепи: А). НАДФН-зависимая цепь микросомального окисления. Б). НАДН-зависимая цепь микросомального окисления.
Функционирование НАДФН-зависимой цепи микросомального окисления 2 Н+ ; е. НАДФН 2 НАДФ 2 Н+; 2 е- ФАДН 2 ФМНН 2 е- Цитохром Р 450 (Fe 3+) 2 Н+; 2 е. ФМН Цитохром Р 450 (Fe 2+) О 2 О+ 2 е- + 2 Н+ = Н 2 О 2 е- О + Л-Н = Л-ОН
Функционирование НАДН-зависимой цепи микросомального окисления 2 Н+ НАДН 2 ФАДН 2 2 Н+; 2 е- ФАД е- цитох b 5 (Fe 3+) цитох b 5 (Fe 2+) е- Цитохром Р 450 (Fe 3+) Цитохром Р 450 (Fe 2+) О 2 2 е. О + 2 е- + 2 Н+ = Н 2 О О + Л-Н = Л-ОН
В результате микросомального окисления: 1). Один атом кислорода восстанавливается до воды; 2). Второй атом кислорода внедряется в молекулу лекарственного вещества.
Стадии функционирования цитохрома Р 450 1). Л-Н + окисленная форма цитохрома Р 450 (Fe 3+) = комплекс Л -Н-цитохром Р 450 (Fe 3+) 2). Л-Н-цитохром Р 450 (Fe 3+) + е-, доставленный ФМНН 2 = Л-Нцитохром Р 450 (Fe 2+) 3). Л-Н-цитохром Р 450 (Fe 2+) + О 2 = тройной комплекс 4). К тройному комплексу присоединяется второй электрон, доставленный цитохромом b 5 5). Внутримолекулярные превращения тройного комплекса. Завершается его распадом с освобождением воды и гидроксилированного лекарственного вещества.
Функционирование системы микросомального окисления НАДФН 2 е- е. ФАД Л-Н ФМН О 2 е- Цитохром Р 450 (Fe 3+) е. НАДН 2 е- Н 2 О е. ФАД цитохром b 5 Л-ОН
Схема функционирования цитохрома Р 450
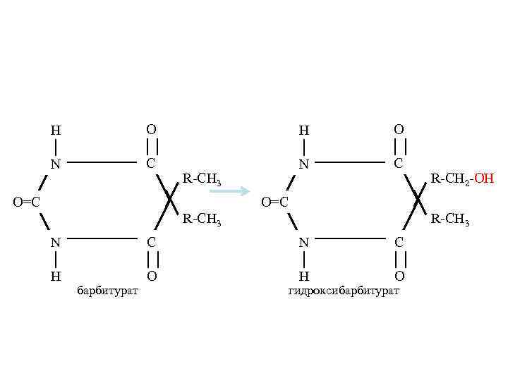
O ││ C H │ N R-CH 3 O=C O ││ C R-CH 2 -OH O=C R-CH 3 N │ H барбитурат C ││ O R-CH 3 N │ H C ││ O гидроксибарбитурат
Свойства системы микросомального окисления: 1). Широкая субстратная специфичность Описано ≈ 150 вариантов гена цитохрома Р 450 , кодирующих различные изоформы фермента. Каждая из изоформ имеет много гидрофобных субстратов (эндогенные и экзогенные). 2). Регулируемая активность
Активность микросомальных монооксигеназ не является строго постоянной и зависит от режима питания, возраста, пола, функционального состояния организма, но наиболее выраженное действие на функционирование систем, участвующих в модификации лекарств оказывают химические вещества, подразделяющиеся на 2 группы: индукторы и ингибиторы микросомальных монооксигеназ.
• Индукторы (вещества, вызывающие активацию микросомальных ферментов) подразделяются на: • индукторы широкого спектра действия (барбитураты, хлорированные углеводороды) и индукторы узкого спектра действия (полициклические ароматические углеводороды). • В основе действия индукторов лежит активация регуляторных элементов ДНК (энхансеров) и последующее увеличение количества белка.
Выделяют 4 группы ингибиторов микросомальных монооксигеназ: • Обратимые ингибиторы прямого действия (фенолы, хиноны, оксигенированные стероиды); • Обратимые ингибиторы непрямого действия (производные бензола, ароматические амины). Промежуточные продукты их метаболизма образуют комплексы с цитохромом Р 450. • Необратимые ингибиторы (производные олефинов, полигалогенизированные алканы), вызывающие разрушение цитохрома Р 450. • Ингибиторы, ускоряющие распад или тормозящие синтез цитохрома Р 450.
Характеристика II фазы биотрансформации лекарственных веществ Фаза конъюгации присоединение к функциональным группам, образующимся на первом этапе, других молекул, которые увеличивают гидрофильность и уменьшают токсичность лекарств.
Ферменты, функционирующие относятся к классы трансфераз. • глюкуронилтрансферазы, • сульфотрансферазы, • метилтрансферазы, • ацетилтрансферазы, • глутатионтрансферазы, • глицилтрансфераза. во второй фазе,
Конъюгация салициловой кислоты с глицином глицилтрансфераза + глицин
Конъюгация салициловой кислоты с глюкуроновой кислотой УДФ-глюкуронилтрансфераза + УДФ-ГК - УДФ
Изменение свойств лекарств при биотрансформации 1. Инактивация лекарственного вещества 2. Повышение активности лекарственного вещества 3. Модификация основного эффекта 4. Образование токсичных продуктов
• Инактивация лекарственного вещества (инактивация фенобарбитала, которая заключается в приобретении им гидрофильности, последующем связывании с глюкуроновой кислотой с образованием неактивного метаболита - глюкуронида оксифенобарбитала); • повышение активности лекарства (при деметелировании имипрамина неактивного предшественника - происходит образование активного метаболита дезметилимипрамина, обладающего антидпрессантным действием);
• модификация основного эффекта (деметилирование кодеина с противокашлевым действием вызывает формирование морфина, оказывающего анальгезирующий эффект); • образование токсичных продуктов (отщепление уксусной кислоты от фенацетина приводит к образованию парафенитидина, вызывающего формирование метгемоглобина и, соответственно, развитие гипоксии; превращение парацетамола в бензохинонимин, может приводить к поражению клеток печени в результате связывания тиоловых остатков белков, интенсификации перекисного окисления липидов).
Выведение (элиминация) • Гидрофобные лекарственные вещества могут задерживаться в тканях, связываясь с белками и липидами мембран, но приобретая гидрофильные свойства, они легче выводятся из организма. • Гидрофильные вещества элиминируются в составе различных секретов.
Факторы, влияющие на биотрансформацию лекарственного вещества 1. 2. 3. 4. 5. 6. 7. Генетические факторы Возраст Заболевания печени Прием лекарственных препаратов Пол Режим питания Внешние факторы
Генетические факторы Индивидуальные различия в превращении лекарств связывают с полиморфизмом генов ферментов биотрансформации. Кроме того, отмечаются наследственные нарушения синтеза ферментов биотрансформации лекарственнных веществ • Пролонгирование действия миорелаксанта дитилина при дефекте синтеза фермента псевдохолинэстеразы, разрушающего ацетилхолин; • Развитие гипербилирубинемии применении сульфаниламидных препаратов у пациентов с дефектом УДФ-глюкуронилтрансферазы).
Возраст • У новорожденных отмечается низкая, по сравнению со взрослыми, активность многих ферментов биотрансформации лекарств (цитохрома Р 450, УДФ-глюкуронилтранферазы). • В детском возрасте повышена проницаемость гематоэнцефалического барьера, что проявляется большей чувствительностью к средствам, влияющим на центральную нервную систему. • В пожилом возрасте происходит снижение функциональной активности печени, что приводит к замедлению элиминации лекарственных веществ.
Заболевания печени • При патологии печени происходит снижение активности микросомальных ферментов, приводящее к замедлению инактивации лекарств, • увеличению продолжительности их действия • и частоты развития нежелательных эффектов.
Прием лекарственных препаратов • Прием препаратов, обладающих индуцирующим действием на микросомальные ферменты (барбитураты), приводит к более быстрой инактивации лекарств, уменьшению выраженности фармакологического эффекта. • Применение лекарственных средств, вызывающие ингибирование микросомальных ферментов (левомицетин, бутадион), ведет к замедлению инактивации лекарств, увеличению продолжительности их действия и частоты развития нежелательных эффектов
Половые различия биотранформации лекарств • связывают с различным действием половых гормонов на активность ферментных систем превращений лекарств. • Андрогены, являясь индукторами ферментов микросомальной системы, обеспечивают более быстрое, по сравнению с женщинами, превращение лекарств в мужском организме. • Отмечено, что эстрогены и прогестины могут угнетать гидроксилирование в микросомах и конъюгацию с глюкуроновой кислотой.
Режим питания • Голодание, недостаток белков в пищевом рационе приводит к снижению активности микросомальных ферментов, большей вероятности развития нежелательных эффектов лекарства. • Недостаток в пище витаминов (тиамина, рибофлавина) вызывает замедление гидроксилирования лекарственных веществ.
Внешние факторы • Увеличение продолжительности светового дня снижает активность ферментов микросом в печени. • В ночное время активность микросомальных ферментов, напротив, увеличивается. • Воздействие стрессовых факторов ведет к повышению выделения глюкокортикоидов, которые увеличивают активность ферментов биотрансформации лекарственных веществ.
Спасибо за внимание!
Биотрансформация лекарств (Фармфак) 3 курс 2013 г.ppt