Бесстыковой путь.ppt
- Количество слайдов: 144
Бесстыковой путь Конструкция, пути повышения эффективности
Стратегия развития верхнего строения пути!!!
История возникновения и развития бесстыкового пути.
Идея бесстыкового пути принадлежит российским инженерам – путейцам (1903 г). (И. Ф. Стецевич)
Чем плох звеньевой путь? Особенности работы пути в зоне стыка при проходе колеса.
Направление движения Р (нагрузка на колесо) Ступенька Сила удара Зазор
Работа звеньевого пути (условия резонанса).
Показатели развития железнодорожного транспорта Показатели Грузонапряженность (средняя) Годы 2003 2010 27, 17 39, 0 2010 к 2003 143 Средняя нагрузка на ось грузового вагона, т. с. 20, 52 21, 07 103 Техническая скорость в грузовом движении, км/ч 46, 8 49, 6 106
Анализ браков по основным причинам за 1997 -2004 г. г. показал, что - кустовая гнилость является причиной 21, 2% браков; -отступления от норм содержания пути на СП – 14, 2 %. Из 71 схода в 2001 -2002 г. г. , отнесенных за счет путевого хозяйства, 67 – на звеньевом пути, 4 – на бесстыковом.
Внедрение бесстыкового пути на железных дорогах Российской Федерации за период с 1992 по 2010 гг. 73, 7 (тыс. км) 65, 8 59, 7 37, 9 34, 6
Тем не менее !!! • В последнее время участились крушения из-за «выбросов» бесстыкового пути под поездами. • Количество выбросов достигло восьми в год.
Пример. • 12 июня 2008 г. на 7736 км перегона Шимановская – Селеткан Забайкальской ж. д. произошло крушение пассажирского поезда со сходом 13 вагонов. • Сбито 6 опор контактной сети и повреждено 200 м пути. • Перерыв в движении составил 14 ч 25 мин. • Материальный ущерб -35588 тыс. руб
Температурная работа рельсов • Закон линейного расширения: α = 0, 0000118 1/град
Температурная работа рельсов 2 l Pн Pн r Z lt Эпюра перемещений lt – температурно- подвижные участки; z – температурно- неподвижный участок
Формирование стыковых сопротивлений
Расчет силы в накладках
Сопротивление сдвигу в накладках Рн = 7* М к. Н При затягивании болтов моментом : 600 Н*м Рн = 7 *600 = 420 к. Н
Формирование погонных сопротивлений
Расчетная схема для установления связи силы и напряжения от перепада температуры l
Связь силы и напряжения с температурным перепадом
Расчетная схема определения перемещений сечений бесстыкового пути
Температурная работа рельсов 2 l Pн Pн r Z Эпюра перемещений lt
Классификация рельсов по их температурной работе • 1 - короткие (Z=0, конструктивный зазор достаточен) • 2 - длинные (Z=0, конструктивный зазор не достаточен) • 3 - бесстыковые плети (Z≠ 0)
Температурные силы Pmax Pн Pmax = 25*F*Δt, где F – площадь поперечного сечения рельса
Напряжения в бесстыковом пути
Деформации рельсошпальной решётки в процессе выброса
Q = q 1+q 2+q 3 Мкр
Сопротивление шпалы поперечным перемещениям • Q, кгс y, мм
Критическая сила (по С. П. Першину) А и α – эмпирические коэффициенты, зависящие от типа рельса и плана пути; К 1 - учитывает сопротивление балласта поперечному сдвигу; К 2 - эпюру шпал; К 3 - степень затяжки клеммных болтов; i – уклон неровности
Зависимость критической силы от радиуса кривой Ркр K = 1/R
Конструкция бесстыкового пути 1 – сваривают из рельсов длиной 25 м без болтовых отверстий 2 –кривые радиусом более 350 м 3 – здоровое земляное полотно; не допускаются пучины более 10 мм 4 – длина не ограничена 5 – скрепления болтовые или безболтовые; сопротивление продольному сдвигу – 25 кгс/см 6 – шпалы железобетонные 7 – балласт твердых и морозостойких пород, новый или очищенный
Соединение рельсовых плетей • Соединяются уравнительными звеньями из рельсов длиной 12, 5 м. • Количество уравнительных звеньев: • - на Калининградской, Северо-Кавказской, Приволжской -2 звена; • - на остальных дорогах – 3 • - при укладке в уравнительных пролетах изолирующих стыков - 4
Уравнительный пролет 3 х12, 5 м
Схема определения интервала закрепления плетей tpminmin==tвminmin
Криивая Прямая R=600 м t max Радиус, м max t 3 100 54 100 144 54 58 80 54 105 149 59 63 2 ТЭ-116 100 41 88 119 29 46 2 ТЭ-10 М 80 125 35 52 41 94 4 17 25 - 35ºС Топт min t 3 |Δ tр | |Δ tу | Установленная скорость Тип локомотива ТА Расчетный температурны й интервал 58 -42 100 Допускаемая температурная амплитуда 58 -42 100 2 ТЭ-116 2 ТЭ-10 М t min Условия эксплуатации бесстыкового пути На Узловской дистанции.
Условия эксплуатации бесстыкового пути На Узловской дистанции. Локомотив 2 ТЭ-116 Локомотив 2 ТЭ-10 М V = 100 км/ч Прямая R=600 м 60 V = 80 км/ч Прямая R=600 м tmax max=58ºC 50 40 30 20 10 0 -10 -20 Оптимальный интервал закрепления составляет 10˚С Единый интервал закрепления составляет 29˚С от 25˚С до 35˚С от 17˚С до 46˚С -30 -40 -50 tmin min=-42ºC
Принудительный ввод рельсовых плетей в оптимальный интервал температур Осуществляется с помощью гидравлического устройства СПН-100 -500 Усилие - 100 т Вес - 405 кг
Эффективность бесстыкового пути (качественные характеристики) 1. - экономия на текущем содержании - до 25%; 2. - увеличение сроков службы элементов пути – до 10%; 3. - снижение расхода металла; 4. - снижение сопротивления движению - до 10%; 5. - снижение расходов на ремонт подвижного состава – 8 -10%; 6. - увеличение плавности хода поездов; 7. - плети длиной менее 600 м - неэффективны.
Почему неэффективны короткие плети? ? ? • Выход рельсов в зоне уравнительного пролета в расчете на км в 10 -12 раз выше, чем на плети. • Изломы подкладок, шпал, прокладок – в 2, 0 -2, 2 раза выше, а в самих стыках в 57 раз. • Выплески появляются в 5 раз выше
Технико-экономическая эффективность применения бесстыкового пути Затраты на ремонты пути: экономия - 53, 40 тыс. руб. /км в год Затраты на текущее содержание: экономия - 56, 04 тыс. руб. /км в год Повторное использование материалов: экономия - 25, 82 тыс. руб. /км в год Затраты на электроэнергию: экономия - 7 тыс. руб. /км в год В конечном итоге общий экономический эффект от замены звеньевого пути бесстыковым составит: Э = 143, 31 тыс. руб. /км в год
Направления повышения эффективности бесстыкового пути
1. Дальнейшее уменьшение количества уравнительных пролетов
Рекомендации по увеличению длин плетей На полигоне бесстыкового пути России эксплуатируется около 101122 уравнительных пролетов. При увеличении средней длины плети до 1500 м, что почти соответствует средней длине блок-участка, можно ликвидировать около 40000 43000 уравнительных пролетов. В случае доведения средней длины плети до 5000 м, что примерно соответствует средней длине перегона, можно ликвидировать еще 50000 - 52000 уравнительных пролетов
2. Рельсы
Направления повышения надежности рельсового хозяйства • 1 – повышение срока службы до 1000 -1100 млн. т. бр; • 2 – увеличение длины проката до 50 -100 м (мировой опыт – до 120 -180 м); • 3 – сварка плетей на металлургических комбинатах до 400 м (выше качество сварки); • 4 – повышение качества металла и изготовления; • 5 – периодическая шлифовка; • 6 – ремонт на предприятиях; • 7 – ремонт в пути; • 8 – повышение качества ремонта и текущего содержания; • 9 – совершенствование профиля рельса.
Допуски на геометрию
Отклонения концов рельсов по прямолинейности на базовой длине 1, 5 м Стрела прогиба рельсов в горизонтальной и вертикальной плоскостях при равномерной кривизне не должна превышать: - 1/2500 длины рельса категории В; - 1/2200 длины рельса категории Т 1, Т 2 и Н.
Прочностные свойства
Твердость и копровая прочность Груз – 1000 кг.
Рельс для кривых Р 65 К
Влияние шлифовки рельсов • Математическое моделирование (СПГУ – Гайдамакина О. В. ) показало, что снижение глубины неровности с 3 до 2 мм уменьшает силы на рельс на 4 тс, а с 1, 2 до 0, 8 – на 0, 7 тс. • На 15% снижается трудоемкость текущего содержания
Ремонт рельсов в пути (пример подхода)
Остановка развития трещины в головке рельса
Термитная сварка 1 –шлак; 2 - железо 3 Fe 3 O 4+8 Al => 4 Al 2 O 3+9 Fe+774 ккал
Технология сварки рельсовых плетей Алюминотермитный способ Преимущества алюминотермитного способа простой, быстрый и экономичный технологический процесс, позволяющий проводить работы в ограниченные перерывы движения поездов минимальное число рабочих-сварщиков на один комплект оборудования независимость от дополнительных источников энергии компактность, легкость и мобильность применяемого оборудования возможность проводить сварку на стрелочных переводах, мостах и в тоннелях
Результаты статических испытаний на разрушение при изгибе сварных стыков: N - нагрузка; D - прогиб Нормализованный термообработки Без NK Н 2000 1500 1000 500 0 5 10 15 20 25 30 D мм
3. Промежуточные скрепления
Основные недостатки • - высокая металлоемкость; • - интенсивное снижение натяжения болтов при жестких клеммах.
Упругая характеристика пружинных шайб и упругих клемм У ΔУ ΔР 500 2000 Р
Варианты конструкций зарубежных промежуточных скреплений для ж. б. шпал (основные тенденции развития)
Упругая клемма FASTCLIP
Упругая клемма SB-3
Скрепление Пендрол для Ж. б. шпал
Узел скрепления АРС-4 анкер регулятор, фиксатор уголок изолирующий подклеммник клемма резиновая прокладка ЦП-204/А
Узел скрепления АРС-4 позволяет: увеличить диапазон регулировки снизить величину многократнорельса позатраты положения снизить высоте бокового износа рельса на в раза текущее содержание мм 25 в 3, 5 узле скрепления до 20 -км пути, 3 разаускорить процесс сборки в экономить уменьшить вес 1 18 т металла на съёмных путевой решетки обеспечить проведение рельсошпальной решетки деталей узла благодаря несъёмности т. е. экономия метала составит ≈38% не менее одного капитального анкера, являющегося составной ремонта пути без снятия деталью шпалы рельсошпальной решетки
Подкладочный вариант ЖБР
Шурупно-дюбельный вариант ЖБР
4. Подрельсовые опоры
Железобетонные шпалы • Виды: • 1. Двухблочные (Франция) • 2. Цельнобрусковые
Тенденции развития железобетонного подрельсового основания • Главные задачи: • – снижение давления на балласт; • - увеличение рамной жесткости рельсошпальной решетки.
Влияние жесткости подрельсового основания на его работу • Путь с деревянными шпалами – порядка 30 МПа • Путь с ж. б. шпалами первой укладки – более 200 МПа • Рекомендованный оптимальный модуль упругости пути - 50 – 100 МПа
Зависимость интенсивности образования остаточных осадок балласта от удельных давлений под шпалой γ σ0 σ
Экспериментальные значения модулей упругости подрельсового основания в кгс/см 2 (лето 1958 г) Характеристик и Дерев янны е шпал ы Железобетонные шпалы с прокладками дерев янны ми резиновыми толщиной в мм 10 20 30 40 n 24 24 24 Umax 752 2236 2290 1125 763 521 Umin 407 1657 1753 898 422 318 Usr 533 1907 1975 1020 643 406 S 84 188 161 64 68 47 υ 0, 158 0, 098 0, 082 0, 062 0, 105 0, 115
Экспериментальные значения модулей упругости подрельсового основания в кгс/см 2 (зима 1958 г) Характеристик и Дерев янны е шпал ы Железобетонные шпалы с прокладками дерев янны ми резиновыми толщиной в мм 10 20 30 40 n 16 18 18 18 Umax 1810 7584 6885 2775 1841 935 Umin 990 3335 4300 1890 1332 607 Usr 1370 5811 5721 2393 1522 722 S 205 1122 822 250 164 99 υ 0, 149 0, 193 0, 144 0, 108 0, 136
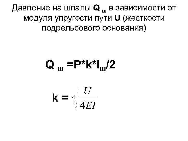
Давление на шпалы Q ш в зависимости от модуля упругости пути U (жесткости подрельсового основания) Q ш =P*k*lш/2 k=
Расчетные силы на шпалу при скорости 60 км/ч ( в к. Н) в зависимости от упругости подрельсового основания
Расчетные осадки шпал в см после пропуска 20 млн. т. брутто.
Расчетные схемы 1 1 2 Во втором случае осадки при силе на щпалу от рельса, равной 6000 кг, будут 2 раза больше.
Схема 1 Схема 2
Железобетонные шпалы, применяемые на сети железных дорог Германии
Широкая шпала типа BBS 2
Шпалы с «ушами»
Шпала рамной конструкции RS 95 из преднапряженного железобетона
Железобетонные шпалы с упругой подошвой
Малогабаритная рама
Шпала с повышенным сопротивлением сдвигу Ш 3 -ДУ Для участков бесстыкового пути (регионы с большой температурной амплитудой, кривые малых радиусов), разработаны специальные шпалы Ш 3 -ДУ. С увеличенным сопротивлением поперечного сдвига в 2 раза в сравнении со шпалами Ш 1. Решается проблема устойчивости пути против выброса Зависимость сдвига шпал в балласте от горизонтальной нагрузки для опытных шпал.
Шпалы Ш 3 -К для кривых малых радиусов со скреплением ЖБР-65 Опытный участок пути со шпалами Ш 3 -К с шириной колеи 1530 мм на Дальневосточной ж. д R=246 м Опытный участок пути со шпалами Ш 3 -К с шириной колеи 1535 мм на Дальневосточной ж. д R=240 м На Приволжской дороге уложено 6 кривых малого радиуса Снижение износа по сравнению с деревянными шпалами в 2 раза
Усиление балластной призмы • Мероприятия: • 1 - применение прочного щебня; • 2 – применение георешеток и геотекстиля; • 3 - применение вяжущих материалов; • 4 – создание водонепроницаемых покрытий.
Шпалы с «зубом»
Шпалы с фартуками
Омоноличивание щебня
Экспериментальные исследования влияния жесткости бесстыкового пути на его работу
Количество выплесков. Конструкция Длина Участка, в м Количество, в шт Количество шпал, охваченных выплеском На 1 условный км Звеньевой 610 2 19 31 плеть 1000 21 67 96 Ур. пр. 75 7 54 плеть 900 3 9 Ур. пр. 75 2 9 Бесстык. прокладки жесткие Бесстык. прокладки повыш. упругость 15
Прямые изменения количества высыпанного груза на 20 м поверхности балластной призмы внутри рельсовой колеи: -звеньевой путь - 23 кг; - бесстыковой с жесткими прокладками 26, 5 кг; - бесстыковой с прокладками повышенной упругости 5 кг.
Бесстыковой путь на мостах и в тоннелях
Температурные пролеты мостов
Схемы расположения плетей и уравнительных пролетов 1 – плеть; 2 – уравнительные рельсы; 3 – сезонный уравнительный рельс; 4 – неподвижная опорная часть; 5 – подвижная опорная часть
Бесстыковой путь.ppt