Тесты ПЛР.ppt
- Количество слайдов: 62
АНАЛИЗ ВЫБОРОЧНОГО УРАВНЕНИЯ РЕГРЕССИИ
Одна из задач эконометрического моделирования – эмпирическая проверка теоретически полученных утверждений. В большинстве случаев эта проверка сводится к проверке гипотез о коэффициентах регрессии.
ПРИМЕР. Y = β 0 + 1*X + u Y – ежеквартальный доход фирмы в тысячах $, Х – ежеквартальные затраты фирмы на рекламу в тысячах $. Рассматриваются фирмы, продающие Теоретическая гипотеза: затраты на одинаковую продукцию. рекламу влияют на доход фирм. H 0: 1 = 0 HA : 1 0
ПРИМЕР. Y = β 0 + 1*X + u Y – ежеквартальный доход фирмы в тысячах $, Х – ежеквартальные затраты фирмы на рекламу в тысячах $. Рассматриваются фирмы, продающие Теоретическая гипотеза: затраты на одинаковую продукцию. рекламу себя оправдывают. H 0: 1 = 1 HA : 1 > 1
Предварительные замечания А. Формулируются нулевая H 0 и альтернативная HA гипотезы. Нулевая гипотеза – основная, та, которую мы проверяем. Альтернативная гипотеза – то, с чем мы остаемся, если отвергаем H 0.
Предварительные замечания Б. В нулевой гипотезе мы всегда будем писать знак “=“. Если в альтернативной гипотезе стоит знак “ ≠ “ – это двусторонняя гипотеза. Если “ > ” или “ < “, - это односторонняя гипотеза.
Предварительные замечания В. При принятии решения об H 0 возможны ошибки двух типов. (1) Тест (критерий) может отвергнуть H 0, когда она истинна. Это ошибка I-го рода. Вероятность ошибки I рода – уровень значимости.
Предварительные замечания (2) Тест (критерий) может не отвергнуть H 0, когда она ложна. Это ошибка II-го рода.
Предварительные замечания Г. Статистика теста – случайная величина, распределение которой известно, когда H 0 истинна.
Предварительные замечания Д. Число степеней свободы (чсс, df, dof) = = размер выборки – число оцениваемых коэффициентов модели.
ПРОВЕРКА ГИПОТЕЗ О КОЭФФИЦИЕНТАХ РЕГРЕССИИ ТЕСТ СТЬЮДЕНТА Y = β 0 + β 1*X + u По выборке (Xi, Yi), i=1, …, n, по МНК получаем выборочное уравнение: Ŷ = b 0 + b 1 * X с. о. (b 0) с. о. (b 1)
Проверка Двусторонней Гипотезы H 0: 1 = HА : 1 - конкретное число.
1 шаг По выборке рассчитываем статистику теста 1 . Если выполняются условия Г-М и случайный фактор u ~ N(0, σu 2), то tстат распределена по закону Стьюдента с n-2 степенями свободы. 1
2 шаг Задаем уровень значимости α (обычно берут α = 0, 1; 0, 05; 0, 001; и т. п). По таблице распределения Стьюдента находим критическое значение : tкритическое = tкрит (α, n-2)
3 шаг Принимаем решение об H 0: - - если | tстат | < tкрит , то H 0 не отвергается при уровне значимости α; если | tстат | > tкрит , то H 0 отвергается при уровне значимости α. Графически:
шшшшшшшшшшшшшшшшшшшшшшшшшшшшшшшшшшшшшшшшшшшшш Графическое представление правила принятия шшшшшшшшшшшшшшшшшшшшшшш решения о гипотезе Н 0. шшшшшшшшшшшшшшшшшшшшшшш α/2 % Область принятия гипотезы H 0 α/2 % ____________________ - tкрит 0 t tкрит Область отвержения гипотезы H 0 стат
Пояснение: Если H 0 верна, то P{ | tстат | > tкр} = α. Т. е. , если H 0 верна, то очень маловероятно (т. к. α - мала), что tстат примет значение, по модулю большее tкр.
Поэтому, если такое маловероятное событие произошло, мы считаем, что это означает, что гипотеза H 0 ложная. Вероятность того, что мы ошибаемся, делая такой вывод, равна α.
Примеры: Пусть Y – ежегодный доход фирмы в тысячах долларов, Х – ежегодные затраты фирмы на рекламу в тысячах долларов. Модель Y = β 0 + β 1*X + u оценивается для 31 фирмы одной отрасли. Выборочное уравнение имеет вид:
= 17, 45 + 1, 18*Х с. о. (6, 02) (0, 08) R 2 = 0. 564, n = 31. Можно ли утверждать, что для фирм этой отрасли каждая затраченная на рекламу тысяча долларов ведет к увеличению дохода на 1, 3 тысячи долларов? (1) tстат = (1, 18 – 1, 3)/0, 08 = -1, 5. H 0: 1 = 1, 3 HА: 1 1, 3 (2) чсс = 31 – 2 = 29. Пусть α = 5%. tкрит = tкрит(0, 05; 29) = 2, 045. (3) Т. к. | tстат | < tкрит , гипотеза H 0 не отвергается при ур. знач. 5%.
√ H 0: 1 = 1, 3 HА: 1 1, 3 Т. е. при уровне значимости 5% можно полагать, что каждая затраченная на рекламу тысяча долларов приводит к увеличению доходов на 1, 3 тысячи долларов.
Графическое представление правила принятия решения о гипотезе Н 0. 2, 5 % -1, 5 ____________________ - 2, 045 0 2, 045 tстат
= 17, 45 + 1, 18*Х с. о. (6, 02) (0, 08) R 2 = 0. 564, n = 31. Получают ли какой-нибудь доход фирмы, которые не делают затрат на рекламу? (1) tстат = (17, 45 – 0)/6, 02 = 2, 90. H 0: 0 = 0 HА : 0 0 (2) чсс = 31 – 2 = 29. Пусть α = 1%. tкрит = tкрит (0, 01; 29)= 2, 756. (3) Т. к. | tстат | > tкрит , гипотеза H 0 отвергается при ур. знач. 1%.
― H 0: 0 = 0 H А: 0 0 Т. е. с вероятностью ошибиться 1% можем сделать вывод о том, что фирмы, не производящие затрат на рекламу, имеют отличный от нуля доход.
Графическое представление правила принятия решения о гипотезе Н 0. 2, 90 0, 5 % ____________________ - 2, 756 0 2, 756 tстат
Схема Проверки Односторонних Гипотез Правосторонняя гипотеза H 0: β 1 = β, H A: β 1 > β Левосторонняя гипотеза H 0: β 1 = β, H A: β 1 < β tстат = (b 1 – β) / с. о. (b 1)
Правосторонняя гипотеза Левосторонняя гипотеза Задаем у. з. α По таблице распределения Стьюдента находим tкритичодностороннее(α; n-2)
Правосторонняя гипотеза Левосторонняя гипотеза Гипотеза H 0 отвергается при у. з. α, если: tстат > tкритич одностороннее tстат < - tкритичодностороннее Гипотеза H 0 не отвергается при у. з. α, если: tстат < tкритичодностороннее tстат > - tкритичодностороннее
Графическая иллюстрация проверки односторонних гипотез:
Правосторонняя: Графическое представление правила принятия решения о правосторонней гипотезе Н 0. α% Область принятия правосторонней гипотезы H 0 ____________________ 0 tосторкрит Область отвержения правосторонней гипотезы H 0 tстат
Левосторонняя: Графическое представление правила принятия решения о левосторонней гипотезе Н 0. α% Область принятия левосторонней гипотезы H 0 ____________________ - tодносторкрит Область отвержения левосторонней гипотезы H 0 0 tстат
Аналогично проверяются гипотезы о β 0.
Примеры: 1) Y – спрос на предмет роскоши, в сотнях тысяч $. X – цена на предмет роскоши, в сотнях тысячах $. Модель: Y = β 0 + β 1*X + u По выборке для какой-то страны за 25 лет по МНК получено выборочное уравнение:
= 15, 3 + 0, 793*X (2, 5) (0, 223) R 2 = 0. 857, n=25. H 0: 1 = 0 HA : 1 > 0 Вопрос: действительно ли с ростом цены на данный товар роскоши спрос на него увеличивается? (1) tстат = (0, 793 – 0) / 0, 223 = 3, 56. (2) Чсс = 25 – 2 = 23. Пусть α = 0, 05. tодносторкрит = tодносторкрит (0, 05; 23) = 1, 714. (3) Т. к. tстат = 3, 56 больше tодносторкрит = 1, 714, tстат > tодносторкрит , H 0 отвергается при ур. знач. 5%.
― H 0: 1 = 0 HA : 1 > 0 Т. е. с вероятностью ошибиться 5% делаем вывод о том, что с ростом цены на данный предмет роскоши спрос на него увеличивается.
Графическое представление правила принятия решения о правосторонней гипотезе Н 0. 3, 56 Область принятия правосторонней гипотезы H 0 5% ____________________ 0 1, 714 Область отвержения правосторонней гипотезы H 0 tстат
2) p – годовой темп общей инфляции в %, w – годовой темп инфляции, вызванной ростом заработной платы, в %. Модель: p = β 0 + β 1*w + u. По данным для некоторой страны за 20 лет получается выборочное уравнение регрессии: = -1, 21 + 0, 82*w (0, 05) (0, 10) R 2 = 0. 699, n = 20. Гипотеза: темпы инфляций обоих типов совпадают.
= -1, 21 + 0, 82*w (0, 05) (0, 10) R 2 = 0. 699, n = 20. Гипотеза: темпы инфляций обоих типов совпадают. H 0: 1 = 1 HA: 1 < 1 - общая инфляция значимо ниже инфляции, вызванной ростом з/п (1) tстат = (0, 82 – 1) / 0, 10 = -0, 18/0, 10 = -1, 8 (2) Чсс = 20 – 2 = 18. Задаем α = 0, 05. tодкр (18; 0, 05) = 1, 734. (3) Т. к. tстат < - tодкр , H 0 отвергается при ур. знач. 5%.
― H 0: 1 = 1 HA : 1 < 1 Т. е. с вероятностью ошибиться 5% делаем вывод о том, что общая инфляция значимо ниже инфляции, вызванной ростом з/п.
Графическое представление правила принятия решения о левосторонней гипотезе Н 0. 5% -1, 8 Область принятия левосторонней гипотезы H 0 ____________________ - 1, 734 Область отвержения левосторонней гипотезы H 0 0 tстат
Первая гипотеза, которая проверяется: H 0: 1 = 0 HA : 1 0
Доверительные Интервалы Для Коэффициентов Регрессии H 0: β 1 = β HA : β 1 ≠ β Гипотеза H 0 не отвергается при у. з. α, если . | tстат| = 1 1
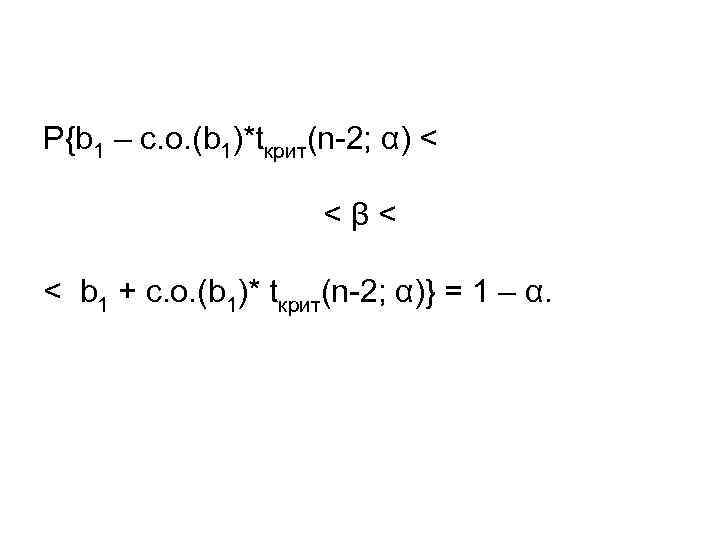
Если H 0 истинная, то вероятность выполнения этого неравенства равна 1α: 1 1 или
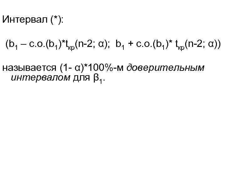
P{b 1 – с. о. (b 1)*tкрит(n-2; α) < <β< < b 1 + с. о. (b 1)* tкрит(n-2; α)} = 1 – α.
Интервал (*): (b 1 – с. о. (b 1)*tкр(n-2; α); b 1 + с. о. (b 1)* tкр(n-2; α)) называется (1 - α)*100%-м доверительным интервалом для β 1.
1 -я интерпретация (100 - α)%-ого доверительного интервала: Двусторонняя гипотеза H 0 не будет отвергаться при у. з. α для всех значений из (100 - α)%-ого доверительного интервала (*).
2 -я интерпретация : С вероятностью (100 - α)% истинное значение параметра 1 лежит в интервале (*).
ПРИМЕР: = 55, 3 + 0, 093*X (2, 4) (0, 003) n=25 tкр(23; 0, 05) = 2, 069 95%-й доверительный интервал для 1 имеет вид: (0, 093 – 0, 003*2, 069, 0, 093+0, 003*2, 069) или (0, 087, 0, 099).
Т. е. , 1) По имеющейся выборке при уровне значимости α не отвергается гипотеза H 0: 1 = при альтернативной гипотезе HA: 1 при всех таких значениях , которые принадлежат интервалу (0, 087, 0, 099). Например, не будут отвергаться двусторонние гипотезы H 0: 1 =0, 088, H 0: 1 = 0, 094, H 0: 1 = 0, 097 и т. д.
2) С вероятностью 0, 95 (или 95%-в) истинное значение параметра 1 лежит в интервале (0, 087, 0, 099).
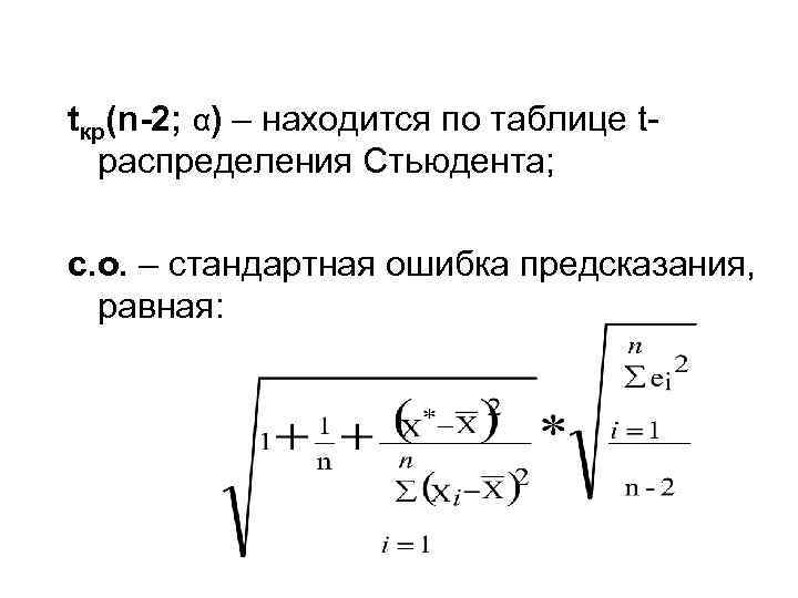
Предсказания по уравнению регрессии. Доверительные интервалы для предсказаний По выборке (Xi, Yi), i=1, …, n, оценена модель Y = β 0 + 1*X + u и получено уравнение Ŷ = b 0 + b 1*X. (1) Тогда для любого значения независимой переменной X* по (1) можно получить предсказанное значение Y: Y* = b 0 + b 1*X*
(100 - α)%-й доверительный интервал для предсказания С вероятностью (100 - α)%-в истинное значение Y, соответствующее данному значению X*, находится в интервале: Y* - tкр(n-2; α)*с. о. < Y* + tкр(n-2; α)*с. о. Где:
tкр(n-2; α) – находится по таблице tраспределения Стьюдента; с. о. – стандартная ошибка предсказания, равная:
ПРИМЕР: = 55, 3 + 0, 093*X , (2, 4) (0, 003) R 2 = 0, 9775, n=25 Какими будут расходы на питание, если располагаемый личный доход будет равен 1100 млрд. долл. ? X*=1100; Y* = 55, 3 + 0, 093*1100 = 172, 6 млрд. долл.
95%-й доверительный интервал для предсказания: Y* = 172, 6 tкр(23; 0, 05) = 2, 069 с. о. = 3, 08 172, 6 - 2, 069*3, 08 < Y < 172, 6 + 2. 069*3, 08 166, 2 < Y < 179, 0. Т. е. в случае, когда располагаемый личный доход будет равен 1100 млрд. $, сумма затрат на питание с вероятностью 0, 95 будет лежать в интервале от 166, 2 до 179, 0 млрд. долл.
Тесты ПЛР.ppt