Скачать презентацию Аминокислоты Название сокращение Формула Изоэлектрич еская точка р Скачать презентацию Аминокислоты Название сокращение Формула Изоэлектрич еская точка р

Аминокислоты.ppt

  • Количество слайдов: 21

Аминокислоты Название (сокращение) Формула Изоэлектрич еская точка, р. Нi Глицин (Gly) 6, 0 Валин Аминокислоты Название (сокращение) Формула Изоэлектрич еская точка, р. Нi Глицин (Gly) 6, 0 Валин (Val) 6, 0 Лейцин (Leu) 6, 0 Фенилаланин (Phe) 5, 5 Лизин (Lys) 9, 6 Треонин (Thr) 5, 6 Метионин (Met) 5, 7 Аргинин (Arg) 10, 8 Триптофан (Trp) Незаменимые аминокислоты 5, 9 1

Способы получения Синтез a-аминокарбоновых кислот Аммонолиз галогенкарбоновых кислот Метод Габриэля 2 Способы получения Синтез a-аминокарбоновых кислот Аммонолиз галогенкарбоновых кислот Метод Габриэля 2

Синтез на основе малонового эфира 3 Синтез на основе малонового эфира 3

Фталимидмалоновый синтез 4 Фталимидмалоновый синтез 4

Метод Штрекера-Зелинского 5 Метод Штрекера-Зелинского 5

Механизм реакции Штрекера-Зелинского 6 Механизм реакции Штрекера-Зелинского 6

Синтез из кетокислот и их производных 7 Синтез из кетокислот и их производных 7

Из малонового эфира с перегруппировкой Курциуса Модификация глицина 8 Из малонового эфира с перегруппировкой Курциуса Модификация глицина 8

Синтез других аминокарбоновых кислот По реакции Арндта-Эйстерта 9 Синтез других аминокарбоновых кислот По реакции Арндта-Эйстерта 9

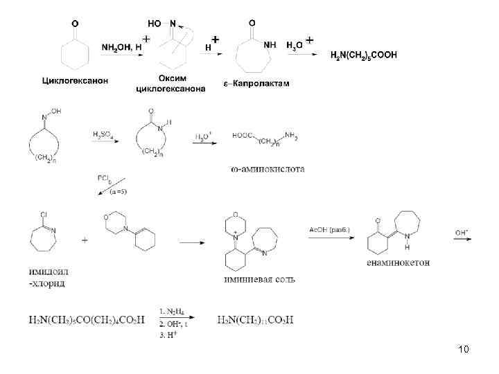
10 10

Строение Биполярный (цвиттер)-ион Химические свойства Кислотно-основные свойства 11 Строение Биполярный (цвиттер)-ион Химические свойства Кислотно-основные свойства 11

Изоэлектрическая точка – значение p. Hi, при котором концентрация бетаина(I) в равновесной системе максимальна. Изоэлектрическая точка – значение p. Hi, при котором концентрация бетаина(I) в равновесной системе максимальна. Образование сложных эфиров 12

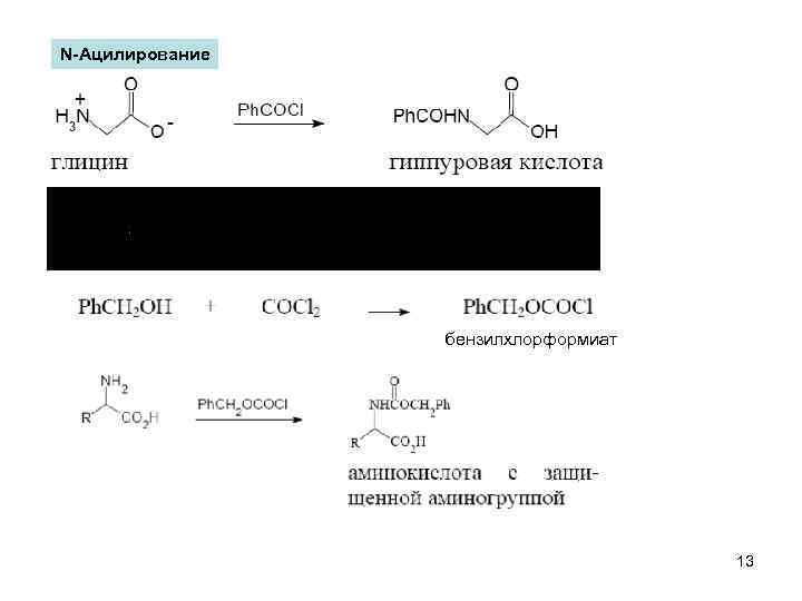
N-Ацилирование бензилхлорформиат 13 N-Ацилирование бензилхлорформиат 13

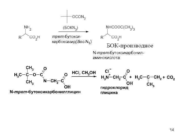
трет-бутоксикарбоксазид(Boc-N 3) N-трет-бутоксикарбониламинокислота 14 трет-бутоксикарбоксазид(Boc-N 3) N-трет-бутоксикарбониламинокислота 14

N-Алкилирование Термические превращения 15 N-Алкилирование Термические превращения 15

Реакция дезаминирования 16 Реакция дезаминирования 16

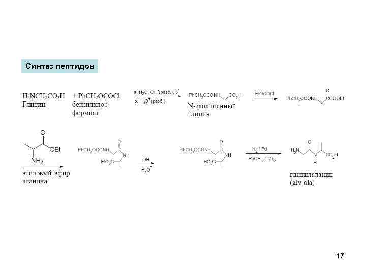
Синтез пептидов 17 Синтез пептидов 17

Твердофазный синтез пептидов Хлорметилированный полистирол 18 Твердофазный синтез пептидов Хлорметилированный полистирол 18

19 19

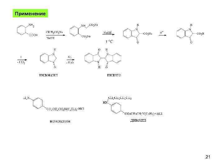
Ароматические аминокислоты Способы получения 20 Ароматические аминокислоты Способы получения 20

Применение 21 Применение 21