6. Алкалоиды фитохимия.ppt
- Количество слайдов: 31
АЛКАЛОИДЫ
Алкалоиды - это неоднородные по составу азотсодержащие органические соединения основного характера, обладающие сильным биологическим действием. В упрощенном варианте их можно рассматривать как сложные производные аммиака, у которого атомы водорода замещены радикалами: R 2 R 1 N R 3
• Ценность алкалоидов для медицины можно определить словами выдающегося фармакохимика прошлого века Е. А. Шацкого, сказавшего, что “. . . открытие алкалоидов. . . имело для медицины почти такое же значение, как открытие железа для мировой культуры” • В 1806 г. германский аптекарь Сертюрнер впервые выделил чистое вещество из высушенного млечного сока мака.
• Термин “алкалоид”, что в переводе с арабского означает “щелочеподобный”, был предложен в 1819 г. Мейснером. • В 1889 г. вышла первая монография, посвященная алкалоидам. Ее автор - магистр фармации Е. А. Шацкий • Основы качественного и количественного анализа алкалоидов в растениях были разработаны главным образом профессором Юрьевского университета Г. Драгендорфом в середине XIX столетия. • А. П. Орехов организовал в 1930 г. алкалоидный отдел ВНИХФИ.
Современное исследование алкалоидов 1. Изучение алкалоидоносной флоры. На территории СНГ произрастает около 21 000 высших растений. Из них на содержание алкалоидов исследовано меньше половины. 2. Установление природы и строения ранее неизвестных алкалоидов. В настоящее время выделено около 10 000 различных алкалоидов и только примерно для 4 500 определена химическая структура. 3. Изучение фармакологической активности алкалоидов и создание новых лекарственных препаратов. Из большого числа алкалоидов с известной химической структурой применение в медицинской практике нашли около 80 соединений. 4. Разработка и освоение технологии производства новых алкалоидных препаратов. 5. Осуществление ресурсных исследований и решение проблемы культивирования растений. 6. Выращивание культур тканей, продуцирующих алкалоиды.
Распространение в растительном мире • Алкалоиды достаточно широко распространены в растительном мире, особенно среди покрытосеменных. Ими богаты семейства Papaveraceae, Solanaceae, Fabaceae, Ranunculaceae, Apocynaceae и др. В водорослях, грибах, мхах, папоротникообразных и голосеменных алкалоиды встречаются сравнительно редко.
Роль алкалоидов в растениях • участие алкалоидов в окислительновосстановительных реакциях • защитная функция алкалоидов • активной роли в обмене веществ как своеобразных стимуляторов и регуляторов биохимических процессов • превращение азотистых соединений в растениях
Классификация алкалоидов (по А. П. Орехову) I. Гетероциклические алкалоиды; II. Алкалоиды, производные фенилалкиламинов; III. Алифатические (ациклические) алкалоиды; IV. Алкалоиды стероидной структуры; V. Алкалоиды дитерпеновой структуры; VI. Алкалоиды не установленного строения.
Гетероциклические алкалоиды 1. Производные пирролидина и пирролизидина Пирролидин Пирролизидин
2. Производные пиридина и пиперидина Пиридин Пиперидин
3. Алкалоиды с конденсированным пирролидиновым и пиперидиновым кольцами (тропановые алкалоиды) Тропан
4. Производные хинолизидина Хинолизидин
5. Производные хинолина и изохинолина Хинолин Изохинолин
6. Производные индола
7. Производные пурина
Классификация алкалоидов (по Р. Хагенауэру) • Истинные алкалоиды (N-гетероциклические, их предшественники – аминокислоты) • Протоалкалоиды (фенилалкиламины и алифатические алкалоиды, синтезируются из аминокислот, но не содержат N-гетероцикла) • Псевдоалкалоиды (стероидной и дитерпеновой структуры. Атом азота этих соединений не аминокислотной природы)
Биогенез алкалоидов • Реакции альдольной конденсации • Декарбоксилирование • Окислительное дезаминирование
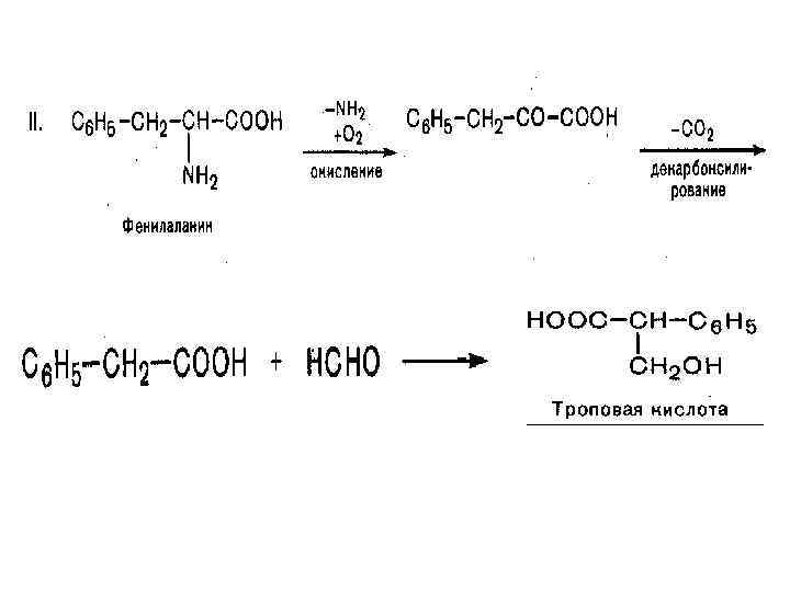
Биосинтез тропановых алкалоидов •
Биогенез дитерпеновых алкалоидов Изопреноидный путь: ацетилкоэнзим А мевалоновая кислота изопентилпирофосфат геранилпирофосфат фарнезилпирофосфат геранилгераниолпирофосфат дитерпеноиды.
Физико-химические свойства алкалоидов • алкалоиды имеют в своем составе третичный либо четвертичный атом азота, они проявляют слабоосновные свойства и могут существовать в растворах в форме солей или в форме оснований в зависимости от условий среды. • Все алкалоиды оптически активны, имеют четко выраженную температуру плавления. • В лекарственных препаратах алкалоиды содержатся, как правило, в виде солей.
Выделение алкалоидов из растительного сырья. • • Выделение алкалоидов в виде солей Выделение алкалоидов в виде оснований Переочистка Разделение на индивидуальные компоненты или на группы алкалоидов,
Качественный анализ сырья, содержащего алкалоиды Реакции основаны на том, что алкалоиды с некоторыми веществами способны образовывать нерастворимые в воде соединения. Наиболее часто для осаждения применяют растворы йодида калия, йодида ртути, висмута в йодиде калия, фосфорномолибденовой, фосфорновольфрамовой и пикриновой кислот, свежеприготовленный раствор танина и др.
Общеалкалоидные реактивы • реактив Драгендорфа (раствор нитрата висмута основного и йодида калия с добавлением уксусной кислоты) • реактив Майера (раствор дихлорида ртути и йодида калия) • реактив Вагнера и Бушарда (растворы йода в йодиде калия) • реактив Марме (раствор йодида кадмия и йодида калия).
Групповые реакции проводят, если необходимо установить присутствие группы алкалоидов, сходных по химической структуре. Это, как правило, цветные или микрокристаллоскопические реакции, их проводят с очищенной суммой алкалоидов.
• реакции на отдельные функциональные группы. К числу таких реакций, в частности, относятся мурексидная проба на пуриновые алкалоиды, реакция Витали-Морена - на тропановые и т. д. • для цветных реакций применяют концентрированную серную кислоту, содержащую формалин (реактив Марки); концентрированную серную кислоту, содержащую молибдат аммония (реактив Фреде) и др. • микрокристаллоскопические реакции с пикриновой кислотой. В этом случае присутствие того или иного алкалоида определяют по форме образующихся кристаллов.
Инструментальные физикохимические методы идентификации • УФ- и ИК-спектроскопию (многие алкалоиды имеют специфическое светопоглощение) • люминисцентный анализ, основанный на способности некоторых алкалоидов в УФлучах давать характерное свечение.
Количественное определение алкалоидов. • • • Гравиметрический способ Титриметрический способ Колориметрический Спектрофотометрический метод Поляриметрия, полярография и флуориметрия (алкалоиды являются оптически активными соединениями, способны к окислительновосстановительным реакциям, флуоресцируют в УФ)


