b893c9e12ff3dffa7dee1c0d2d0eb52a.ppt
- Количество слайдов: 132
Acoustic Array Systems: Theory, Implementation and Application Chapter 9. Application Examples 9. 1 Scooter: Transient Sources Acoustic Array Systems: Theory, Implementation and Application, First Edition. Mingsian R. Bai, Jeong-Guan Ih and Jacob Benesty. c 2013 John Wiley & Sons Singapore Pte. Ltd. Published 2013 by John Wiley & Sons Singapore Pte. Ltd. 1
9. 1 Scooter: Transient Sources Acoustic Array Systems: Theory, Implementation and Application, First Edition. Mingsian R. Bai, Jeong-Guan Ih and Jacob Benesty. c 2013 John Wiley & Sons Singapore Pte. Ltd. Published 2013 by John Wiley & Sons Singapore Pte. Ltd. 2
Acoustic Array Systems: Theory, Implementation and Application, First Edition. Mingsian R. Bai, Jeong-Guan Ih and Jacob Benesty. c 2013 John Wiley & Sons Singapore Pte. Ltd. Published 2013 by John Wiley & Sons Singapore Pte. Ltd. 3
Acoustic Array Systems: Theory, Implementation and Application, First Edition. Mingsian R. Bai, Jeong-Guan Ih and Jacob Benesty. c 2013 John Wiley & Sons Singapore Pte. Ltd. Published 2013 by John Wiley & Sons Singapore Pte. Ltd. 4
Acoustic Array Systems: Theory, Implementation and Application, First Edition. Mingsian R. Bai, Jeong-Guan Ih and Jacob Benesty. c 2013 John Wiley & Sons Singapore Pte. Ltd. Published 2013 by John Wiley & Sons Singapore Pte. Ltd. 5
Acoustic Array Systems: Theory, Implementation and Application, First Edition. Mingsian R. Bai, Jeong-Guan Ih and Jacob Benesty. c 2013 John Wiley & Sons Singapore Pte. Ltd. Published 2013 by John Wiley & Sons Singapore Pte. Ltd. 6
9. 2 Compressor Acoustic Array Systems: Theory, Implementation and Application, First Edition. Mingsian R. Bai, Jeong-Guan Ih and Jacob Benesty. c 2013 John Wiley & Sons Singapore Pte. Ltd. Published 2013 by John Wiley & Sons Singapore Pte. Ltd. 7
Acoustic Array Systems: Theory, Implementation and Application, First Edition. Mingsian R. Bai, Jeong-Guan Ih and Jacob Benesty. c 2013 John Wiley & Sons Singapore Pte. Ltd. Published 2013 by John Wiley & Sons Singapore Pte. Ltd. 8
Acoustic Array Systems: Theory, Implementation and Application, First Edition. Mingsian R. Bai, Jeong-Guan Ih and Jacob Benesty. c 2013 John Wiley & Sons Singapore Pte. Ltd. Published 2013 by John Wiley & Sons Singapore Pte. Ltd. 9
Acoustic Array Systems: Theory, Implementation and Application, First Edition. Mingsian R. Bai, Jeong-Guan Ih and Jacob Benesty. c 2013 John Wiley & Sons Singapore Pte. Ltd. Published 2013 by John Wiley & Sons Singapore Pte. Ltd. 10
Acoustic Array Systems: Theory, Implementation and Application, First Edition. Mingsian R. Bai, Jeong-Guan Ih and Jacob Benesty. c 2013 John Wiley & Sons Singapore Pte. Ltd. Published 2013 by John Wiley & Sons Singapore Pte. Ltd. 11
Acoustic Array Systems: Theory, Implementation and Application, First Edition. Mingsian R. Bai, Jeong-Guan Ih and Jacob Benesty. c 2013 John Wiley & Sons Singapore Pte. Ltd. Published 2013 by John Wiley & Sons Singapore Pte. Ltd. 12
Acoustic Array Systems: Theory, Implementation and Application, First Edition. Mingsian R. Bai, Jeong-Guan Ih and Jacob Benesty. c 2013 John Wiley & Sons Singapore Pte. Ltd. Published 2013 by John Wiley & Sons Singapore Pte. Ltd. 13
Acoustic Array Systems: Theory, Implementation and Application, First Edition. Mingsian R. Bai, Jeong-Guan Ih and Jacob Benesty. c 2013 John Wiley & Sons Singapore Pte. Ltd. Published 2013 by John Wiley & Sons Singapore Pte. Ltd. 14
Acoustic Array Systems: Theory, Implementation and Application, First Edition. Mingsian R. Bai, Jeong-Guan Ih and Jacob Benesty. c 2013 John Wiley & Sons Singapore Pte. Ltd. Published 2013 by John Wiley & Sons Singapore Pte. Ltd. 15
Acoustic Array Systems: Theory, Implementation and Application, First Edition. Mingsian R. Bai, Jeong-Guan Ih and Jacob Benesty. c 2013 John Wiley & Sons Singapore Pte. Ltd. Published 2013 by John Wiley & Sons Singapore Pte. Ltd. 16
Acoustic Array Systems: Theory, Implementation and Application, First Edition. Mingsian R. Bai, Jeong-Guan Ih and Jacob Benesty. c 2013 John Wiley & Sons Singapore Pte. Ltd. Published 2013 by John Wiley & Sons Singapore Pte. Ltd. 17
Acoustic Array Systems: Theory, Implementation and Application, First Edition. Mingsian R. Bai, Jeong-Guan Ih and Jacob Benesty. c 2013 John Wiley & Sons Singapore Pte. Ltd. Published 2013 by John Wiley & Sons Singapore Pte. Ltd. 18
Acoustic Array Systems: Theory, Implementation and Application, First Edition. Mingsian R. Bai, Jeong-Guan Ih and Jacob Benesty. c 2013 John Wiley & Sons Singapore Pte. Ltd. Published 2013 by John Wiley & Sons Singapore Pte. Ltd. 19
9. 3 Vacuum Cleaner Acoustic Array Systems: Theory, Implementation and Application, First Edition. Mingsian R. Bai, Jeong-Guan Ih and Jacob Benesty. c 2013 John Wiley & Sons Singapore Pte. Ltd. Published 2013 by John Wiley & Sons Singapore Pte. Ltd. 20
Acoustic Array Systems: Theory, Implementation and Application, First Edition. Mingsian R. Bai, Jeong-Guan Ih and Jacob Benesty. c 2013 John Wiley & Sons Singapore Pte. Ltd. Published 2013 by John Wiley & Sons Singapore Pte. Ltd. 21
Acoustic Array Systems: Theory, Implementation and Application, First Edition. Mingsian R. Bai, Jeong-Guan Ih and Jacob Benesty. c 2013 John Wiley & Sons Singapore Pte. Ltd. Published 2013 by John Wiley & Sons Singapore Pte. Ltd. 22
Acoustic Array Systems: Theory, Implementation and Application, First Edition. Mingsian R. Bai, Jeong-Guan Ih and Jacob Benesty. c 2013 John Wiley & Sons Singapore Pte. Ltd. Published 2013 by John Wiley & Sons Singapore Pte. Ltd. 23
Acoustic Array Systems: Theory, Implementation and Application, First Edition. Mingsian R. Bai, Jeong-Guan Ih and Jacob Benesty. c 2013 John Wiley & Sons Singapore Pte. Ltd. Published 2013 by John Wiley & Sons Singapore Pte. Ltd. 24
Acoustic Array Systems: Theory, Implementation and Application, First Edition. Mingsian R. Bai, Jeong-Guan Ih and Jacob Benesty. c 2013 John Wiley & Sons Singapore Pte. Ltd. Published 2013 by John Wiley & Sons Singapore Pte. Ltd. 25
Acoustic Array Systems: Theory, Implementation and Application, First Edition. Mingsian R. Bai, Jeong-Guan Ih and Jacob Benesty. c 2013 John Wiley & Sons Singapore Pte. Ltd. Published 2013 by John Wiley & Sons Singapore Pte. Ltd. 26
Acoustic Array Systems: Theory, Implementation and Application, First Edition. Mingsian R. Bai, Jeong-Guan Ih and Jacob Benesty. c 2013 John Wiley & Sons Singapore Pte. Ltd. Published 2013 by John Wiley & Sons Singapore Pte. Ltd. 27
Acoustic Array Systems: Theory, Implementation and Application, First Edition. Mingsian R. Bai, Jeong-Guan Ih and Jacob Benesty. c 2013 John Wiley & Sons Singapore Pte. Ltd. Published 2013 by John Wiley & Sons Singapore Pte. Ltd. 28
Acoustic Array Systems: Theory, Implementation and Application, First Edition. Mingsian R. Bai, Jeong-Guan Ih and Jacob Benesty. c 2013 John Wiley & Sons Singapore Pte. Ltd. Published 2013 by John Wiley & Sons Singapore Pte. Ltd. 29
Acoustic Array Systems: Theory, Implementation and Application, First Edition. Mingsian R. Bai, Jeong-Guan Ih and Jacob Benesty. c 2013 John Wiley & Sons Singapore Pte. Ltd. Published 2013 by John Wiley & Sons Singapore Pte. Ltd. 30
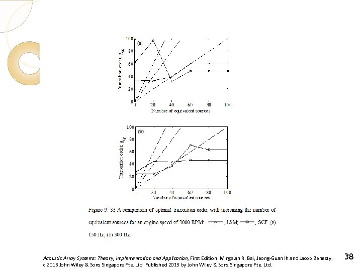
9. 4 Automotive Internal Combustion Engine Acoustic Array Systems: Theory, Implementation and Application, First Edition. Mingsian R. Bai, Jeong-Guan Ih and Jacob Benesty. c 2013 John Wiley & Sons Singapore Pte. Ltd. Published 2013 by John Wiley & Sons Singapore Pte. Ltd. 31
Acoustic Array Systems: Theory, Implementation and Application, First Edition. Mingsian R. Bai, Jeong-Guan Ih and Jacob Benesty. c 2013 John Wiley & Sons Singapore Pte. Ltd. Published 2013 by John Wiley & Sons Singapore Pte. Ltd. 32
Acoustic Array Systems: Theory, Implementation and Application, First Edition. Mingsian R. Bai, Jeong-Guan Ih and Jacob Benesty. c 2013 John Wiley & Sons Singapore Pte. Ltd. Published 2013 by John Wiley & Sons Singapore Pte. Ltd. 33
Acoustic Array Systems: Theory, Implementation and Application, First Edition. Mingsian R. Bai, Jeong-Guan Ih and Jacob Benesty. c 2013 John Wiley & Sons Singapore Pte. Ltd. Published 2013 by John Wiley & Sons Singapore Pte. Ltd. 34
Acoustic Array Systems: Theory, Implementation and Application, First Edition. Mingsian R. Bai, Jeong-Guan Ih and Jacob Benesty. c 2013 John Wiley & Sons Singapore Pte. Ltd. Published 2013 by John Wiley & Sons Singapore Pte. Ltd. 35
Acoustic Array Systems: Theory, Implementation and Application, First Edition. Mingsian R. Bai, Jeong-Guan Ih and Jacob Benesty. c 2013 John Wiley & Sons Singapore Pte. Ltd. Published 2013 by John Wiley & Sons Singapore Pte. Ltd. 36
Acoustic Array Systems: Theory, Implementation and Application, First Edition. Mingsian R. Bai, Jeong-Guan Ih and Jacob Benesty. c 2013 John Wiley & Sons Singapore Pte. Ltd. Published 2013 by John Wiley & Sons Singapore Pte. Ltd. 37
Acoustic Array Systems: Theory, Implementation and Application, First Edition. Mingsian R. Bai, Jeong-Guan Ih and Jacob Benesty. c 2013 John Wiley & Sons Singapore Pte. Ltd. Published 2013 by John Wiley & Sons Singapore Pte. Ltd. 38
Acoustic Array Systems: Theory, Implementation and Application, First Edition. Mingsian R. Bai, Jeong-Guan Ih and Jacob Benesty. c 2013 John Wiley & Sons Singapore Pte. Ltd. Published 2013 by John Wiley & Sons Singapore Pte. Ltd. 39
Acoustic Array Systems: Theory, Implementation and Application, First Edition. Mingsian R. Bai, Jeong-Guan Ih and Jacob Benesty. c 2013 John Wiley & Sons Singapore Pte. Ltd. Published 2013 by John Wiley & Sons Singapore Pte. Ltd. 40
Acoustic Array Systems: Theory, Implementation and Application, First Edition. Mingsian R. Bai, Jeong-Guan Ih and Jacob Benesty. c 2013 John Wiley & Sons Singapore Pte. Ltd. Published 2013 by John Wiley & Sons Singapore Pte. Ltd. 41
Acoustic Array Systems: Theory, Implementation and Application, First Edition. Mingsian R. Bai, Jeong-Guan Ih and Jacob Benesty. c 2013 John Wiley & Sons Singapore Pte. Ltd. Published 2013 by John Wiley & Sons Singapore Pte. Ltd. 42
Acoustic Array Systems: Theory, Implementation and Application, First Edition. Mingsian R. Bai, Jeong-Guan Ih and Jacob Benesty. c 2013 John Wiley & Sons Singapore Pte. Ltd. Published 2013 by John Wiley & Sons Singapore Pte. Ltd. 43
Acoustic Array Systems: Theory, Implementation and Application, First Edition. Mingsian R. Bai, Jeong-Guan Ih and Jacob Benesty. c 2013 John Wiley & Sons Singapore Pte. Ltd. Published 2013 by John Wiley & Sons Singapore Pte. Ltd. 44
Acoustic Array Systems: Theory, Implementation and Application, First Edition. Mingsian R. Bai, Jeong-Guan Ih and Jacob Benesty. c 2013 John Wiley & Sons Singapore Pte. Ltd. Published 2013 by John Wiley & Sons Singapore Pte. Ltd. 45
Acoustic Array Systems: Theory, Implementation and Application, First Edition. Mingsian R. Bai, Jeong-Guan Ih and Jacob Benesty. c 2013 John Wiley & Sons Singapore Pte. Ltd. Published 2013 by John Wiley & Sons Singapore Pte. Ltd. 46
Acoustic Array Systems: Theory, Implementation and Application, First Edition. Mingsian R. Bai, Jeong-Guan Ih and Jacob Benesty. c 2013 John Wiley & Sons Singapore Pte. Ltd. Published 2013 by John Wiley & Sons Singapore Pte. Ltd. 47
Acoustic Array Systems: Theory, Implementation and Application, First Edition. Mingsian R. Bai, Jeong-Guan Ih and Jacob Benesty. c 2013 John Wiley & Sons Singapore Pte. Ltd. Published 2013 by John Wiley & Sons Singapore Pte. Ltd. 48
Acoustic Array Systems: Theory, Implementation and Application, First Edition. Mingsian R. Bai, Jeong-Guan Ih and Jacob Benesty. c 2013 John Wiley & Sons Singapore Pte. Ltd. Published 2013 by John Wiley & Sons Singapore Pte. Ltd. 49
Acoustic Array Systems: Theory, Implementation and Application, First Edition. Mingsian R. Bai, Jeong-Guan Ih and Jacob Benesty. c 2013 John Wiley & Sons Singapore Pte. Ltd. Published 2013 by John Wiley & Sons Singapore Pte. Ltd. 50
Acoustic Array Systems: Theory, Implementation and Application, First Edition. Mingsian R. Bai, Jeong-Guan Ih and Jacob Benesty. c 2013 John Wiley & Sons Singapore Pte. Ltd. Published 2013 by John Wiley & Sons Singapore Pte. Ltd. 51
9. 5 Transient Wave Propagation over an Impacted Thin Plate Acoustic Array Systems: Theory, Implementation and Application, First Edition. Mingsian R. Bai, Jeong-Guan Ih and Jacob Benesty. c 2013 John Wiley & Sons Singapore Pte. Ltd. Published 2013 by John Wiley & Sons Singapore Pte. Ltd. 52
Acoustic Array Systems: Theory, Implementation and Application, First Edition. Mingsian R. Bai, Jeong-Guan Ih and Jacob Benesty. c 2013 John Wiley & Sons Singapore Pte. Ltd. Published 2013 by John Wiley & Sons Singapore Pte. Ltd. 53
Acoustic Array Systems: Theory, Implementation and Application, First Edition. Mingsian R. Bai, Jeong-Guan Ih and Jacob Benesty. c 2013 John Wiley & Sons Singapore Pte. Ltd. Published 2013 by John Wiley & Sons Singapore Pte. Ltd. 54
Acoustic Array Systems: Theory, Implementation and Application, First Edition. Mingsian R. Bai, Jeong-Guan Ih and Jacob Benesty. c 2013 John Wiley & Sons Singapore Pte. Ltd. Published 2013 by John Wiley & Sons Singapore Pte. Ltd. 55
Acoustic Array Systems: Theory, Implementation and Application, First Edition. Mingsian R. Bai, Jeong-Guan Ih and Jacob Benesty. c 2013 John Wiley & Sons Singapore Pte. Ltd. Published 2013 by John Wiley & Sons Singapore Pte. Ltd. 56
Acoustic Array Systems: Theory, Implementation and Application, First Edition. Mingsian R. Bai, Jeong-Guan Ih and Jacob Benesty. c 2013 John Wiley & Sons Singapore Pte. Ltd. Published 2013 by John Wiley & Sons Singapore Pte. Ltd. 57
Acoustic Array Systems: Theory, Implementation and Application, First Edition. Mingsian R. Bai, Jeong-Guan Ih and Jacob Benesty. c 2013 John Wiley & Sons Singapore Pte. Ltd. Published 2013 by John Wiley & Sons Singapore Pte. Ltd. 58
Acoustic Array Systems: Theory, Implementation and Application, First Edition. Mingsian R. Bai, Jeong-Guan Ih and Jacob Benesty. c 2013 John Wiley & Sons Singapore Pte. Ltd. Published 2013 by John Wiley & Sons Singapore Pte. Ltd. 59
Acoustic Array Systems: Theory, Implementation and Application, First Edition. Mingsian R. Bai, Jeong-Guan Ih and Jacob Benesty. c 2013 John Wiley & Sons Singapore Pte. Ltd. Published 2013 by John Wiley & Sons Singapore Pte. Ltd. 60
9. 6 IT Equipment Acoustic Array Systems: Theory, Implementation and Application, First Edition. Mingsian R. Bai, Jeong-Guan Ih and Jacob Benesty. c 2013 John Wiley & Sons Singapore Pte. Ltd. Published 2013 by John Wiley & Sons Singapore Pte. Ltd. 61
Acoustic Array Systems: Theory, Implementation and Application, First Edition. Mingsian R. Bai, Jeong-Guan Ih and Jacob Benesty. c 2013 John Wiley & Sons Singapore Pte. Ltd. Published 2013 by John Wiley & Sons Singapore Pte. Ltd. 62
Acoustic Array Systems: Theory, Implementation and Application, First Edition. Mingsian R. Bai, Jeong-Guan Ih and Jacob Benesty. c 2013 John Wiley & Sons Singapore Pte. Ltd. Published 2013 by John Wiley & Sons Singapore Pte. Ltd. 63
9. 7 Wooden Box Acoustic Array Systems: Theory, Implementation and Application, First Edition. Mingsian R. Bai, Jeong-Guan Ih and Jacob Benesty. c 2013 John Wiley & Sons Singapore Pte. Ltd. Published 2013 by John Wiley & Sons Singapore Pte. Ltd. 64
Acoustic Array Systems: Theory, Implementation and Application, First Edition. Mingsian R. Bai, Jeong-Guan Ih and Jacob Benesty. c 2013 John Wiley & Sons Singapore Pte. Ltd. Published 2013 by John Wiley & Sons Singapore Pte. Ltd. 65
Acoustic Array Systems: Theory, Implementation and Application, First Edition. Mingsian R. Bai, Jeong-Guan Ih and Jacob Benesty. c 2013 John Wiley & Sons Singapore Pte. Ltd. Published 2013 by John Wiley & Sons Singapore Pte. Ltd. 66
9. 8 Non-contact Modal Analysis Acoustic Array Systems: Theory, Implementation and Application, First Edition. Mingsian R. Bai, Jeong-Guan Ih and Jacob Benesty. c 2013 John Wiley & Sons Singapore Pte. Ltd. Published 2013 by John Wiley & Sons Singapore Pte. Ltd. 67
Acoustic Array Systems: Theory, Implementation and Application, First Edition. Mingsian R. Bai, Jeong-Guan Ih and Jacob Benesty. c 2013 John Wiley & Sons Singapore Pte. Ltd. Published 2013 by John Wiley & Sons Singapore Pte. Ltd. 68
Acoustic Array Systems: Theory, Implementation and Application, First Edition. Mingsian R. Bai, Jeong-Guan Ih and Jacob Benesty. c 2013 John Wiley & Sons Singapore Pte. Ltd. Published 2013 by John Wiley & Sons Singapore Pte. Ltd. 69
Acoustic Array Systems: Theory, Implementation and Application, First Edition. Mingsian R. Bai, Jeong-Guan Ih and Jacob Benesty. c 2013 John Wiley & Sons Singapore Pte. Ltd. Published 2013 by John Wiley & Sons Singapore Pte. Ltd. 70
Acoustic Array Systems: Theory, Implementation and Application, First Edition. Mingsian R. Bai, Jeong-Guan Ih and Jacob Benesty. c 2013 John Wiley & Sons Singapore Pte. Ltd. Published 2013 by John Wiley & Sons Singapore Pte. Ltd. 71
9. 9 Speech Enhancement in Reverberant Environment Acoustic Array Systems: Theory, Implementation and Application, First Edition. Mingsian R. Bai, Jeong-Guan Ih and Jacob Benesty. c 2013 John Wiley & Sons Singapore Pte. Ltd. Published 2013 by John Wiley & Sons Singapore Pte. Ltd. 72
Acoustic Array Systems: Theory, Implementation and Application, First Edition. Mingsian R. Bai, Jeong-Guan Ih and Jacob Benesty. c 2013 John Wiley & Sons Singapore Pte. Ltd. Published 2013 by John Wiley & Sons Singapore Pte. Ltd. 73
Acoustic Array Systems: Theory, Implementation and Application, First Edition. Mingsian R. Bai, Jeong-Guan Ih and Jacob Benesty. c 2013 John Wiley & Sons Singapore Pte. Ltd. Published 2013 by John Wiley & Sons Singapore Pte. Ltd. 74
Acoustic Array Systems: Theory, Implementation and Application, First Edition. Mingsian R. Bai, Jeong-Guan Ih and Jacob Benesty. c 2013 John Wiley & Sons Singapore Pte. Ltd. Published 2013 by John Wiley & Sons Singapore Pte. Ltd. 75
Acoustic Array Systems: Theory, Implementation and Application, First Edition. Mingsian R. Bai, Jeong-Guan Ih and Jacob Benesty. c 2013 John Wiley & Sons Singapore Pte. Ltd. Published 2013 by John Wiley & Sons Singapore Pte. Ltd. 76
Acoustic Array Systems: Theory, Implementation and Application, First Edition. Mingsian R. Bai, Jeong-Guan Ih and Jacob Benesty. c 2013 John Wiley & Sons Singapore Pte. Ltd. Published 2013 by John Wiley & Sons Singapore Pte. Ltd. 77
Acoustic Array Systems: Theory, Implementation and Application, First Edition. Mingsian R. Bai, Jeong-Guan Ih and Jacob Benesty. c 2013 John Wiley & Sons Singapore Pte. Ltd. Published 2013 by John Wiley & Sons Singapore Pte. Ltd. 78
Acoustic Array Systems: Theory, Implementation and Application, First Edition. Mingsian R. Bai, Jeong-Guan Ih and Jacob Benesty. c 2013 John Wiley & Sons Singapore Pte. Ltd. Published 2013 by John Wiley & Sons Singapore Pte. Ltd. 79
Acoustic Array Systems: Theory, Implementation and Application, First Edition. Mingsian R. Bai, Jeong-Guan Ih and Jacob Benesty. c 2013 John Wiley & Sons Singapore Pte. Ltd. Published 2013 by John Wiley & Sons Singapore Pte. Ltd. 80
Acoustic Array Systems: Theory, Implementation and Application, First Edition. Mingsian R. Bai, Jeong-Guan Ih and Jacob Benesty. c 2013 John Wiley & Sons Singapore Pte. Ltd. Published 2013 by John Wiley & Sons Singapore Pte. Ltd. 81
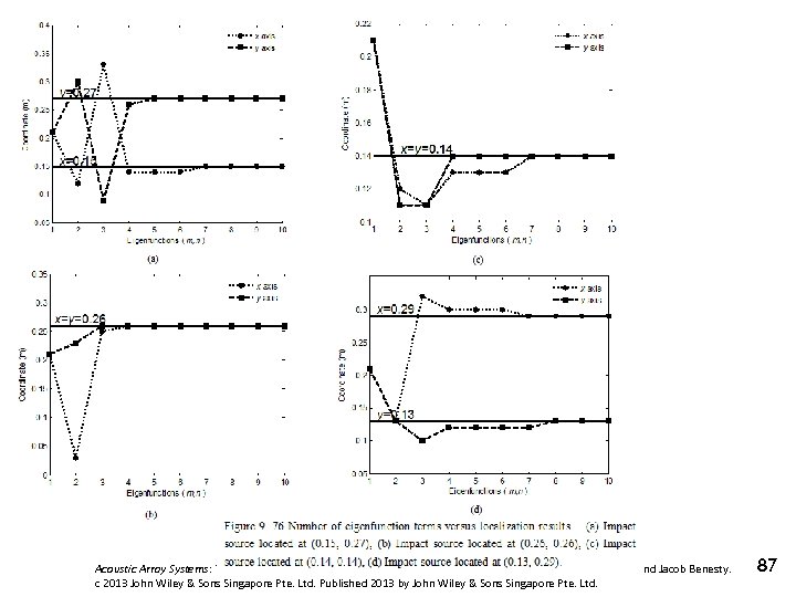
9. 10 Impact Localization and Haptic Feedback for a Touch Panel Acoustic Array Systems: Theory, Implementation and Application, First Edition. Mingsian R. Bai, Jeong-Guan Ih and Jacob Benesty. c 2013 John Wiley & Sons Singapore Pte. Ltd. Published 2013 by John Wiley & Sons Singapore Pte. Ltd. 82
Acoustic Array Systems: Theory, Implementation and Application, First Edition. Mingsian R. Bai, Jeong-Guan Ih and Jacob Benesty. c 2013 John Wiley & Sons Singapore Pte. Ltd. Published 2013 by John Wiley & Sons Singapore Pte. Ltd. 83
Acoustic Array Systems: Theory, Implementation and Application, First Edition. Mingsian R. Bai, Jeong-Guan Ih and Jacob Benesty. c 2013 John Wiley & Sons Singapore Pte. Ltd. Published 2013 by John Wiley & Sons Singapore Pte. Ltd. 84
Acoustic Array Systems: Theory, Implementation and Application, First Edition. Mingsian R. Bai, Jeong-Guan Ih and Jacob Benesty. c 2013 John Wiley & Sons Singapore Pte. Ltd. Published 2013 by John Wiley & Sons Singapore Pte. Ltd. 85
Acoustic Array Systems: Theory, Implementation and Application, First Edition. Mingsian R. Bai, Jeong-Guan Ih and Jacob Benesty. c 2013 John Wiley & Sons Singapore Pte. Ltd. Published 2013 by John Wiley & Sons Singapore Pte. Ltd. 86
Acoustic Array Systems: Theory, Implementation and Application, First Edition. Mingsian R. Bai, Jeong-Guan Ih and Jacob Benesty. c 2013 John Wiley & Sons Singapore Pte. Ltd. Published 2013 by John Wiley & Sons Singapore Pte. Ltd. 87
Acoustic Array Systems: Theory, Implementation and Application, First Edition. Mingsian R. Bai, Jeong-Guan Ih and Jacob Benesty. c 2013 John Wiley & Sons Singapore Pte. Ltd. Published 2013 by John Wiley & Sons Singapore Pte. Ltd. 88
Acoustic Array Systems: Theory, Implementation and Application, First Edition. Mingsian R. Bai, Jeong-Guan Ih and Jacob Benesty. c 2013 John Wiley & Sons Singapore Pte. Ltd. Published 2013 by John Wiley & Sons Singapore Pte. Ltd. 89
Acoustic Array Systems: Theory, Implementation and Application, First Edition. Mingsian R. Bai, Jeong-Guan Ih and Jacob Benesty. c 2013 John Wiley & Sons Singapore Pte. Ltd. Published 2013 by John Wiley & Sons Singapore Pte. Ltd. 90
9. 11 Intelligent Stethoscope: Blind Beamforming Acoustic Array Systems: Theory, Implementation and Application, First Edition. Mingsian R. Bai, Jeong-Guan Ih and Jacob Benesty. c 2013 John Wiley & Sons Singapore Pte. Ltd. Published 2013 by John Wiley & Sons Singapore Pte. Ltd. 91
Acoustic Array Systems: Theory, Implementation and Application, First Edition. Mingsian R. Bai, Jeong-Guan Ih and Jacob Benesty. c 2013 John Wiley & Sons Singapore Pte. Ltd. Published 2013 by John Wiley & Sons Singapore Pte. Ltd. 92
9. 12 Rendering and Control of Sound Field by Array Speakers Acoustic Array Systems: Theory, Implementation and Application, First Edition. Mingsian R. Bai, Jeong-Guan Ih and Jacob Benesty. c 2013 John Wiley & Sons Singapore Pte. Ltd. Published 2013 by John Wiley & Sons Singapore Pte. Ltd. 93
Acoustic Array Systems: Theory, Implementation and Application, First Edition. Mingsian R. Bai, Jeong-Guan Ih and Jacob Benesty. c 2013 John Wiley & Sons Singapore Pte. Ltd. Published 2013 by John Wiley & Sons Singapore Pte. Ltd. 94
Acoustic Array Systems: Theory, Implementation and Application, First Edition. Mingsian R. Bai, Jeong-Guan Ih and Jacob Benesty. c 2013 John Wiley & Sons Singapore Pte. Ltd. Published 2013 by John Wiley & Sons Singapore Pte. Ltd. 95
Acoustic Array Systems: Theory, Implementation and Application, First Edition. Mingsian R. Bai, Jeong-Guan Ih and Jacob Benesty. c 2013 John Wiley & Sons Singapore Pte. Ltd. Published 2013 by John Wiley & Sons Singapore Pte. Ltd. 96
Acoustic Array Systems: Theory, Implementation and Application, First Edition. Mingsian R. Bai, Jeong-Guan Ih and Jacob Benesty. c 2013 John Wiley & Sons Singapore Pte. Ltd. Published 2013 by John Wiley & Sons Singapore Pte. Ltd. 97
Acoustic Array Systems: Theory, Implementation and Application, First Edition. Mingsian R. Bai, Jeong-Guan Ih and Jacob Benesty. c 2013 John Wiley & Sons Singapore Pte. Ltd. Published 2013 by John Wiley & Sons Singapore Pte. Ltd. 98
Acoustic Array Systems: Theory, Implementation and Application, First Edition. Mingsian R. Bai, Jeong-Guan Ih and Jacob Benesty. c 2013 John Wiley & Sons Singapore Pte. Ltd. Published 2013 by John Wiley & Sons Singapore Pte. Ltd. 99
Acoustic Array Systems: Theory, Implementation and Application, First Edition. Mingsian R. Bai, Jeong-Guan Ih and Jacob Benesty. c 2013 John Wiley & Sons Singapore Pte. Ltd. Published 2013 by John Wiley & Sons Singapore Pte. Ltd. 10 0
Acoustic Array Systems: Theory, Implementation and Application, First Edition. Mingsian R. Bai, Jeong-Guan Ih and Jacob Benesty. c 2013 John Wiley & Sons Singapore Pte. Ltd. Published 2013 by John Wiley & Sons Singapore Pte. Ltd. 10 1
Acoustic Array Systems: Theory, Implementation and Application, First Edition. Mingsian R. Bai, Jeong-Guan Ih and Jacob Benesty. c 2013 John Wiley & Sons Singapore Pte. Ltd. Published 2013 by John Wiley & Sons Singapore Pte. Ltd. 10 2
Acoustic Array Systems: Theory, Implementation and Application, First Edition. Mingsian R. Bai, Jeong-Guan Ih and Jacob Benesty. c 2013 John Wiley & Sons Singapore Pte. Ltd. Published 2013 by John Wiley & Sons Singapore Pte. Ltd. 10 3
Acoustic Array Systems: Theory, Implementation and Application, First Edition. Mingsian R. Bai, Jeong-Guan Ih and Jacob Benesty. c 2013 John Wiley & Sons Singapore Pte. Ltd. Published 2013 by John Wiley & Sons Singapore Pte. Ltd. 10 4
Acoustic Array Systems: Theory, Implementation and Application, First Edition. Mingsian R. Bai, Jeong-Guan Ih and Jacob Benesty. c 2013 John Wiley & Sons Singapore Pte. Ltd. Published 2013 by John Wiley & Sons Singapore Pte. Ltd. 10 5
Acoustic Array Systems: Theory, Implementation and Application, First Edition. Mingsian R. Bai, Jeong-Guan Ih and Jacob Benesty. c 2013 John Wiley & Sons Singapore Pte. Ltd. Published 2013 by John Wiley & Sons Singapore Pte. Ltd. 10 6
Acoustic Array Systems: Theory, Implementation and Application, First Edition. Mingsian R. Bai, Jeong-Guan Ih and Jacob Benesty. c 2013 John Wiley & Sons Singapore Pte. Ltd. Published 2013 by John Wiley & Sons Singapore Pte. Ltd. 10 7
Acoustic Array Systems: Theory, Implementation and Application, First Edition. Mingsian R. Bai, Jeong-Guan Ih and Jacob Benesty. c 2013 John Wiley & Sons Singapore Pte. Ltd. Published 2013 by John Wiley & Sons Singapore Pte. Ltd. 10 8
Acoustic Array Systems: Theory, Implementation and Application, First Edition. Mingsian R. Bai, Jeong-Guan Ih and Jacob Benesty. c 2013 John Wiley & Sons Singapore Pte. Ltd. Published 2013 by John Wiley & Sons Singapore Pte. Ltd. 10 9
Acoustic Array Systems: Theory, Implementation and Application, First Edition. Mingsian R. Bai, Jeong-Guan Ih and Jacob Benesty. c 2013 John Wiley & Sons Singapore Pte. Ltd. Published 2013 by John Wiley & Sons Singapore Pte. Ltd. 11 0
Acoustic Array Systems: Theory, Implementation and Application, First Edition. Mingsian R. Bai, Jeong-Guan Ih and Jacob Benesty. c 2013 John Wiley & Sons Singapore Pte. Ltd. Published 2013 by John Wiley & Sons Singapore Pte. Ltd. 11 1
Acoustic Array Systems: Theory, Implementation and Application, First Edition. Mingsian R. Bai, Jeong-Guan Ih and Jacob Benesty. c 2013 John Wiley & Sons Singapore Pte. Ltd. Published 2013 by John Wiley & Sons Singapore Pte. Ltd. 11 2
Acoustic Array Systems: Theory, Implementation and Application, First Edition. Mingsian R. Bai, Jeong-Guan Ih and Jacob Benesty. c 2013 John Wiley & Sons Singapore Pte. Ltd. Published 2013 by John Wiley & Sons Singapore Pte. Ltd. 11 3
Acoustic Array Systems: Theory, Implementation and Application, First Edition. Mingsian R. Bai, Jeong-Guan Ih and Jacob Benesty. c 2013 John Wiley & Sons Singapore Pte. Ltd. Published 2013 by John Wiley & Sons Singapore Pte. Ltd. 11 4
Acoustic Array Systems: Theory, Implementation and Application, First Edition. Mingsian R. Bai, Jeong-Guan Ih and Jacob Benesty. c 2013 John Wiley & Sons Singapore Pte. Ltd. Published 2013 by John Wiley & Sons Singapore Pte. Ltd. 11 5
Acoustic Array Systems: Theory, Implementation and Application, First Edition. Mingsian R. Bai, Jeong-Guan Ih and Jacob Benesty. c 2013 John Wiley & Sons Singapore Pte. Ltd. Published 2013 by John Wiley & Sons Singapore Pte. Ltd. 11 6
Acoustic Array Systems: Theory, Implementation and Application, First Edition. Mingsian R. Bai, Jeong-Guan Ih and Jacob Benesty. c 2013 John Wiley & Sons Singapore Pte. Ltd. Published 2013 by John Wiley & Sons Singapore Pte. Ltd. 11 7
Acoustic Array Systems: Theory, Implementation and Application, First Edition. Mingsian R. Bai, Jeong-Guan Ih and Jacob Benesty. c 2013 John Wiley & Sons Singapore Pte. Ltd. Published 2013 by John Wiley & Sons Singapore Pte. Ltd. 11 8
Acoustic Array Systems: Theory, Implementation and Application, First Edition. Mingsian R. Bai, Jeong-Guan Ih and Jacob Benesty. c 2013 John Wiley & Sons Singapore Pte. Ltd. Published 2013 by John Wiley & Sons Singapore Pte. Ltd. 11 9
Acoustic Array Systems: Theory, Implementation and Application, First Edition. Mingsian R. Bai, Jeong-Guan Ih and Jacob Benesty. c 2013 John Wiley & Sons Singapore Pte. Ltd. Published 2013 by John Wiley & Sons Singapore Pte. Ltd. 12 0
Acoustic Array Systems: Theory, Implementation and Application, First Edition. Mingsian R. Bai, Jeong-Guan Ih and Jacob Benesty. c 2013 John Wiley & Sons Singapore Pte. Ltd. Published 2013 by John Wiley & Sons Singapore Pte. Ltd. 12 1
Acoustic Array Systems: Theory, Implementation and Application, First Edition. Mingsian R. Bai, Jeong-Guan Ih and Jacob Benesty. c 2013 John Wiley & Sons Singapore Pte. Ltd. Published 2013 by John Wiley & Sons Singapore Pte. Ltd. 12 2
Acoustic Array Systems: Theory, Implementation and Application, First Edition. Mingsian R. Bai, Jeong-Guan Ih and Jacob Benesty. c 2013 John Wiley & Sons Singapore Pte. Ltd. Published 2013 by John Wiley & Sons Singapore Pte. Ltd. 12 3
Acoustic Array Systems: Theory, Implementation and Application, First Edition. Mingsian R. Bai, Jeong-Guan Ih and Jacob Benesty. c 2013 John Wiley & Sons Singapore Pte. Ltd. Published 2013 by John Wiley & Sons Singapore Pte. Ltd. 12 4
9. 13 Sound Field Reconstruction Using ESM and BFM Acoustic Array Systems: Theory, Implementation and Application, First Edition. Mingsian R. Bai, Jeong-Guan Ih and Jacob Benesty. c 2013 John Wiley & Sons Singapore Pte. Ltd. Published 2013 by John Wiley & Sons Singapore Pte. Ltd. 12 5
Acoustic Array Systems: Theory, Implementation and Application, First Edition. Mingsian R. Bai, Jeong-Guan Ih and Jacob Benesty. c 2013 John Wiley & Sons Singapore Pte. Ltd. Published 2013 by John Wiley & Sons Singapore Pte. Ltd. 12 6
Acoustic Array Systems: Theory, Implementation and Application, First Edition. Mingsian R. Bai, Jeong-Guan Ih and Jacob Benesty. c 2013 John Wiley & Sons Singapore Pte. Ltd. Published 2013 by John Wiley & Sons Singapore Pte. Ltd. 12 7
Acoustic Array Systems: Theory, Implementation and Application, First Edition. Mingsian R. Bai, Jeong-Guan Ih and Jacob Benesty. c 2013 John Wiley & Sons Singapore Pte. Ltd. Published 2013 by John Wiley & Sons Singapore Pte. Ltd. 12 8
Acoustic Array Systems: Theory, Implementation and Application, First Edition. Mingsian R. Bai, Jeong-Guan Ih and Jacob Benesty. c 2013 John Wiley & Sons Singapore Pte. Ltd. Published 2013 by John Wiley & Sons Singapore Pte. Ltd. 12 9
Acoustic Array Systems: Theory, Implementation and Application, First Edition. Mingsian R. Bai, Jeong-Guan Ih and Jacob Benesty. c 2013 John Wiley & Sons Singapore Pte. Ltd. Published 2013 by John Wiley & Sons Singapore Pte. Ltd. 13 0
Acoustic Array Systems: Theory, Implementation and Application, First Edition. Mingsian R. Bai, Jeong-Guan Ih and Jacob Benesty. c 2013 John Wiley & Sons Singapore Pte. Ltd. Published 2013 by John Wiley & Sons Singapore Pte. Ltd. 13 1
Acoustic Array Systems: Theory, Implementation and Application, First Edition. Mingsian R. Bai, Jeong-Guan Ih and Jacob Benesty. c 2013 John Wiley & Sons Singapore Pte. Ltd. Published 2013 by John Wiley & Sons Singapore Pte. Ltd. 13 2


