70324c2a54fa2e46fecf0d2e9d381b7a.ppt
- Количество слайдов: 33
ACADEMY OF ECONOMIC STUDIES BUCHAREST DOCTORAL SCHOOL OF FINANCE AND BANKING INFLATION DYNAMICS IN ROMANIA: A NEW KEYNESIAN PHILLIPS CURVE APPROACH Student: Razvan Radu Supervisor: Professor Moisa Altar Bucharest July 2006
Contents • • Objectives Literature review The Model Empirical Specification The Data Results Conclusions
Objectives • To analyse the short-run inflation dynamics in Romania • To identify the structural parameters that characterize the firms’ princing behavior • To assess the extent to which forward and backward looking price setting characterize the inflationary process • To compare the nature of Romanian inflation with that reported for other economies
The New Keynesian Phillips Curve • Based on the seminal work by Taylor (1980), Calvo (1983) • The NKPC is derived explicitly from an optimization process, assuming staggered price setting by forward looking, monopolistically competing firms • Current inflation is related to future expected inflation and real marginal cost • The parameters of the NKPC are directly linked to the behavior of agents and are thus exempt from the Lucas critique
The New Keynesian Phillips Curve • Gali and Gertler (1999) extend the NKPC, incorporating inflation inertia • Gali and Gertler (1999) - US • Gali, Gertler and Lopez-Salido (2001) - Euro Area • Leith and Malley (2002) - G 7 countries • Balakrishnan and Lopez-Salido (2002) - UK • Rumler (2005) - Euro Area countries • Ribon (2004) - Israel • Cespedes, Soto and Ochoa (2005) - Chile • Lendvai (2005) - Hungary
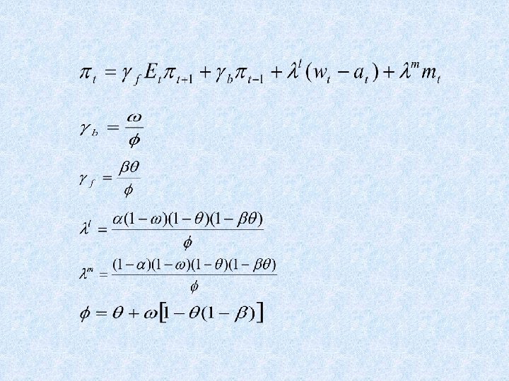
The Model • Gali and Gertler (1999) • The supply side of the economy consists of a continuum of monopolistically competing firms the size of which is normalized to one • Each period a random fraction of firms reset their price, while all others firms keep their price unchanged • Only a fraction of firms adjust their prices optimally in a forward looking manner, the remaining firms are backward looking and set their prices based on the recent aggregate price behavior
1. Closed economy model , where the coefficients of the lagged inflation, the expected inflation and the marginal cost are functions of the deep parameters:
2. Open economy model Open economy effects are incorporated by modeling imported goods as intermediate production goods Assuming a Cobb-Douglas technology, the real marginal cost has the form: - real wage - labor-augmenting technology - real cost of a unit of the imported good - labor’s share in gross output
Empirical Specification where is an inflation shock, which is an innovation with respect to information set dated or earlier. Assuming rational expectations, where is the forecast error in predicting future inflation, and hence a innovation with respect to contemporaneous and past information
The following orthogonality conditions can be written, forming the basis for estimating the model by the Generalized Method of Moments (Hansen, 1982). is a vector of instrumental variables which must be uncorrelated with
GMM in the presence of “weak instruments” • Stock, Wright and Yogo (2002), Kleibergen (2002), Dufour and Jasiak (2001), Dufour (2003), Dufour, Khalaf and Kichian (2005) • When instruments are weakly correlated to endogenous variables, the sampling distributions of GMM statistics are in general non-normal and standard GMM estimates, hypothesis tests and confidence intervals are unreliable • The empirical relevance of the results will also be examined using two type of tests (AR-statistic and K-statistic) the properties of which are robust in finite samples to the quality of instruments
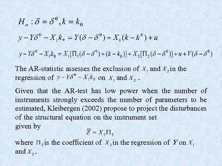
The AR statistic Anderson-Rubin (1949), Dufour (2003), Dufour, Khalaf and Kichian (2005) - vector of observations on dependent variable ( ) - matrix of endogenous variables ( - matrix of exogenous variables ( , ) ) - error term, which is an innovation with respect to exogenous variables
Assume that the reduced form for the endogenous variables is: where is a matrix of error terms assumed to be cross- correlated and correlated with and is the matrix of Identification requires that the matrix have full rank instruments
The AR-statistic assesses the exclusion of regression of on and in the Given that the AR-test has low power when the number of instruments strongly exceeds the number of parameters to be estimated, Kleibergen (2002) propose to project the disturbances of the structural equation on the instrument set given by where is the coefficient of and. in the regression of on
The Data Quarterly data are used, covering the period 1998 Q 1: 2005 Q 4. All series are in logarithms.
* Detrended using HP filter The series are seasonally adjusted using X-12 procedure
Actual and detrended data
In theoretical model, the actual inflation rate is modeled as a deviation from a zero steady state. This assumption seems not appropiate in the case of the Romanian economy, as the inflation rate evolved along a downward convergence path. Consequently, I choose to model the fluctuations of inflation around its trend, following Coenen and Wieland (2000, 2004), Coenen and Levin (2004), Ribon (2004), Rumler (2005).
Results 1. Reduced-form estimates 1. 1. Closed economy model The instruments set includes three lags of: the core inflation, the deviation of unit labor cost from the trend and the output gap (from t-2 to t-4); and the lagged deviation of real exchange rate from the trend (t-2).
1. 2 Open economy model The instruments set consists of three lags of: the core inflation, the output gap, the deviation of the real exchange rate from its trend and the change in real exchange rate (from t-2 to t-4 ).
2. Structural-form estimates 2. 1 Closed economy model Instrumental variables include three lags of: the core inflation, the deviation of unit labor cost from the trend and the output gap (from t-2 to t-4 ); and the lagged deviation of real exchange rate from the trend (t-2).
Estimates for other economies Price stickiness ( ) Fraction of backward looking price setters ( )
2. 1 Open economy model The set of instrumental variables consists of three lags of: the core inflation, the deviation of unit labor cost from the trend, the deviation of real exchange rate from its trend and the change of the real exchange rate (from t-2 to t-4 ); the lagged output gap (t-2).
Instruments include three lags of: the detrended core inflation, the deviation of the unit labor cost from its trend, the deviation of real exchange rate from the trend and the output gap (from t-2 to t-4 ).
Estimates for other economies Price stickiness ( ) Fraction of backward looking price setters ( )
Influence of labor’s share on estimated parameters
Influence of labor’s share on estimated price stickiness
Actual vs. estimated values
Conclusions • The weights of lagged and future expected inflation are roughly equal • The inflationary process in Romania is more inertial than in the Euro Area and other economies characterized by stable and low rates of inflation • The inertia of inflation can be explained by the fraction of firms that set their prices in a backward-looking manner, which ranges between 0. 3 and 0. 4 • Firms adjust their prices approximately every 1. 3 to 2. 4 quarters, which imply a lower price stickiness as compared to the Euro Area • The estimated parameters are in line with those reported in the literature for other countries that experienced periods of high inflation
70324c2a54fa2e46fecf0d2e9d381b7a.ppt