f2e64f1e6919e7b52bac7fb4c8b3a017.ppt
- Количество слайдов: 21
A Dynamical Model of Seismogenic Volcanic Extrusion, Mount St. Helens, 2004 -2005 Richard Iverson U. S. Geological Survey Cascades Volcano Observatory
Fact 1: extrusion rate of solid dacite plug is nearly constant when measured over timescales ranging from a few minutes to a few months S. Schilling photo Feb. 22, 2005
Fact 1: extrusion rate of solid dacite plug is nearly constant when measured over timescales ranging from a few minutes to a few months
Fact 2: striated fault gouge that coats the surface of the newly extruded dacite plug exhibits rate-weakening frictional strength S. Schilling photo
Fact 2: striated fault gouge that coats the surface of the newly extruded dacite plug exhibits rate-weakening frictional strength
Example of 24 hours of seismicity, Dec. 1, 2005 Fact 3: repetitive “drumbeat” earthquakes occurred almost periodically (T ~ 100 s), had magnitudes ≤ 2, hypocenters < 1 km directly beneath the new dome, and mostly “hybrid” waveforms with impulsive onsets.
Constants Parameters that evolve as prescribed functions of dependent variables or time Dependent variables that evolve with time Rock density ρr Magma density ρ Magma compressibility α 1 Conduit compliance α 2 1 -D “SPASM” model
1 -D conservation of mass and momentum leads to where and
Obtain equation for damped, forced oscillations of normalized extrusion velocity where Find exact solutions, steady or oscillatory, if V´ =1 and D is constant, but behavior is unstable for D < 0
Predicted free oscillation period of u' (linear theory) Results for ρr=2000 kg/m 3 Hcon = 8 km
Variable damping D arises from use of nonlinear rate-weakening friction rule for sliding at plug margins: for u/uref <1, approximates linear rate dependence for u/uref >1, approximates logarithmic rate dependence
If κ = 0, B = Q, and t 0 is constant, behavior of numerical solutions depends almost entirely on D evaluated at the equilibrium slip rate u = u 0= Q/A: which simplifies to if u 0/uref >> 1
Computed start-up behavior with T =10 s, D =− 0. 01 and initial conditions u = Q/A, p = p 0, V = V 0
Phase-plane representation of start-up behavior with D = − 0. 01 and initial conditions u=Q/A, p = p 0, V = V 0
Time series and phase-plane representations of stick-slip limit cycles computed for T =10 s and various values of D, with initial conditions u = 0, p = p 0, V = V 0 With D = -2, work done against friction during a slip cycle is 2× 108 J, similar to energy release in a M 2. 3 earthquake
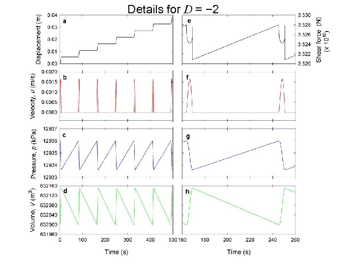
Details for D = − 2
For fixed D, sensitivity of limit cycles to choice of u 0/uref in the friction rule is slight, provided that u 0/uref ≥ 1 Results for D = − 2
For fixed D, sensitivity of limit cycles to choices of c and λ is nil. That is, static friction and rate weakening have counterbalancing effects on dynamics. Commensurate with 7 × 107 N force drop during slip event Results for D = − 2
Effect of disequilibrium initial condition (0. 005% initial excess magma pressure)
Conclusions 1. Stick-slip oscillations are inevitable as a consequence of momentum conservation, driving force supplied by compressible magma, restoring force supplied by gravity, and rate-weakening plug boundary friction. 2. Use of realistic (i. e. best-guess) parameter values produces stick-slip oscillations with roughly the correct period, amplitude, and force drop to produce repetitive “drumbeat” earthquakes at MSH. 3. Fluctuations in magma pressure during stick-slip cycles are very small, a few k. Pa, implying that departures from equilibrium are very slight. 4. Long-term, oscillatory behavior of the system is remarkably stable unless magma influx or composition changes or friction evolves. 5. Initial conditions far from equilibrium probably didn’t exist at MSH. If they had, a large pulse of motion would have occurred initially, irrespective of the type of frictional resistance.


