Лекция 4 Порядок расчета операторным методом.ppt
- Количество слайдов: 71
5 лекция Расчет переходных процессов операторным и комбинированным методами © 2002 Томский политехнический университет, кафедра ТОЭ, автор Носов Геннадий Васильевич
Порядок расчета переходных процессов операторным методом 2
1. Определяются независимые начальные условия 3
2. Для схемы после коммутации изображается операторная схема, которая рассчитывается любым методом в операторной форме 4
3. По теореме разложения определяются напряжения и токи переходного процесса в функции времени 5
Пример 1: C 6
1. Определяем независимые начальные условия 2. Операторная схема после коммутации 7
8
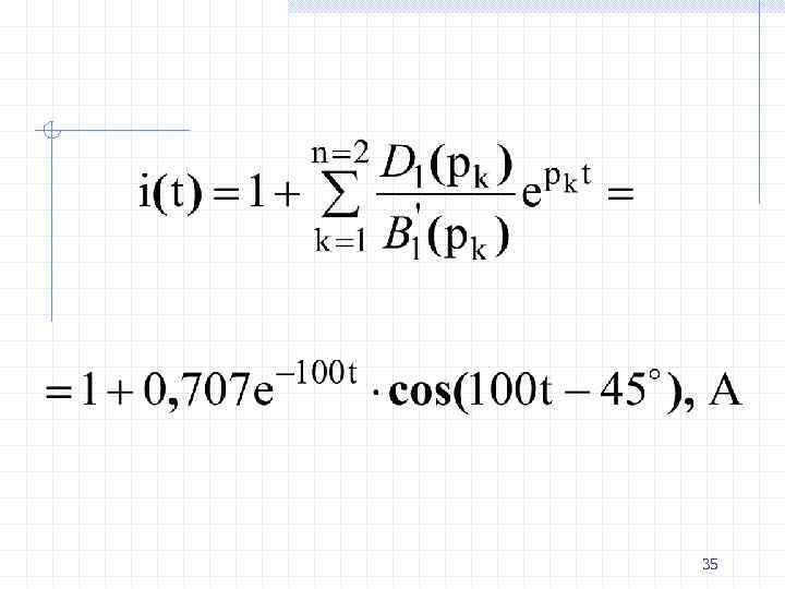
3. По теореме разложения: 9
4. Окончательно получим: 10
Пример 2: 11
1. Определяем независимые начальные условия 2. Операторная схема после коммутации 12
13
По методу узловых потенциалов: 14
15
16
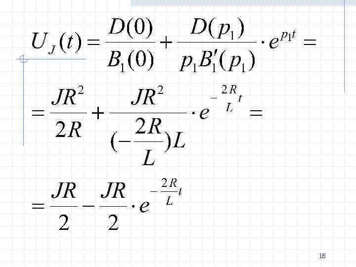
3. По теореме разложения: 4. Окончательно получим: 17
18
Пример: 19
Дано: Определить: 20
1. Определяем независимые начальные условия : 21
22
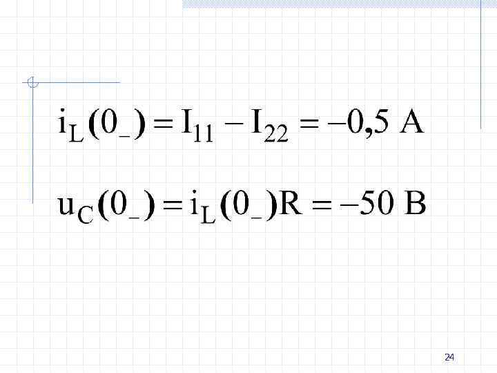
23
24
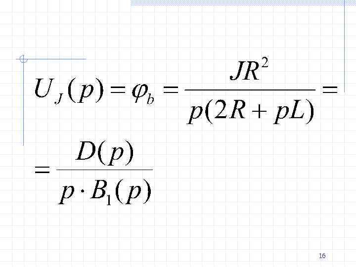
2. Операторная схема после коммутации 25
26
27
28
29
30
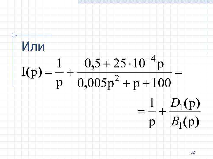
По 2 закону Кирхгофа 31
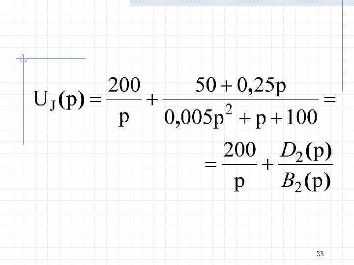
Или 32
33
3. По теореме разложения определяем и 34
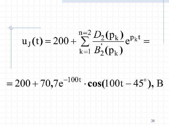
35
36
Комбинированный операторно-классический метод расчета переходных процессов 37
Используется для расчета переходных процессов в линейных цепях с гармоническими источниками 38
Цель метода – упрощение операторных изображений искомых напряжений и токов 39
Сущность метода – применение принципа наложения 40
Когда принужденные составляющие находятся из расчета установившегося режима после коммутации 41
а свободные составляющие определяются из расчета операторной схемы (после коммутации) 42
Порядок расчета 43
1. Определяются ННУ: 44
2. Определяются принужденные составляющие тока в индуктивности, напряжения емкости и искомых величин, например, 45
3. Определяются значения свободных составляющих при : 46
4. Рассчитывается операторная схема после коммутации для свободных составляющих, где источники ЭДС закорочены, ветви с источниками тока разорваны, 47
Причем индуктивности и емкости изображаются так: 48
Находится операторное изображение свободной составляющей, например, 49
5. По теореме разложения и принципу наложения находим 50
Пример: 51
Дано: Определить: 52
1. Определяем ННУ : 53
54
Символический метод: 55
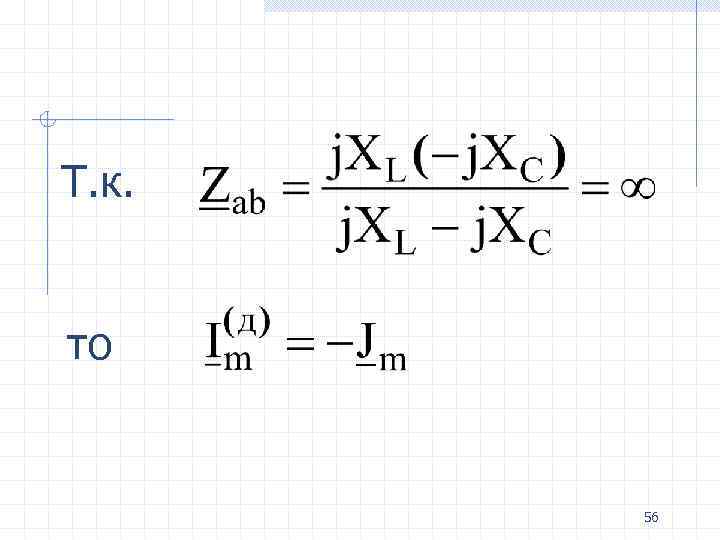
Т. к. то 56
Тогда 57
58
В результате 59
Тогда ННУ 60
2. Определяем принужденные составляющие : 61
62
Т. к. при : 63
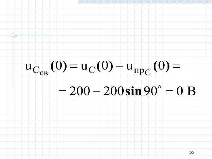
Тогда 64
3. Определяем значения свободных составляющих при : 65
66
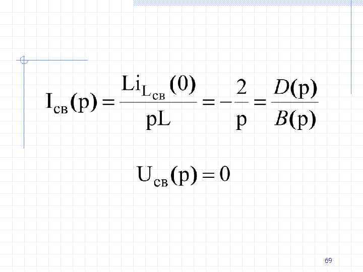
4. Операторная схема после коммутации для свободных составляющих 67
68
69
Окончательный результат: 70
71
Лекция 4 Порядок расчета операторным методом.ppt