cf960ebfcb258b7aa2f31fb0cd1a614b.ppt
- Количество слайдов: 64
46 th Annual Educational Conference & Exhibition Patient Access: The First Connection to a Lasting Impression September 23, 2014 Operationalizing New Transparency Requirements Katherine H. Murphy, FHAM, CHAM VP Revenue Cycle Consulting, Passport/Experian Health
WHAT PATIENTS WANT • Designing Access is the Most Important Initiative You Can Undertake • Expertise from Y-O-U! • They do not want to work hard for Access or Information (“If you make me work hard to do business with you I will go somewhere else”) They want to be W-E-L-L Paul Roemer, VP Clinovations/Pale Rhino Consulting
TRANSPARENCY - DEFINED • Generally implies openness, communication, and accountability. Transparency is operating in such a way that it is easy for others to see what actions are performed. • “The perceived quality of intentionally shared information from a sender". • Infusion of greater disclosure, clarity, and accuracy into their communications with stakeholders
Can we make a complicated process simple? ed I think we ne to schedule another t… appointmen Doc, What is Healthcare Transparency?
TODAY’S LESSON • Transparency Overviews • Best Practice • Industry Best Practice recommendations • How to follow the recommendation • Provider Journey • Provider success story: The start up & current state • Transparency future state • Transparency Gone Wild! (Going the Extra Mile) • Technology • Patient Engagement • How to drill down estimates and be closer to the truth!
THE WAY WE WERE So…Lola, what did you say a “dial tone” was for? 3/16/2018 6
THE PATIENT BALANCE DEATH SPIRAL PROJECTED $732 Breakdown of U. S. Healthcare Consumer Responsibility U. S. $ billions, estimates $420* $515 $450 $265 -- CONSUMER TO PROVIDER -- $250 $200 -- CONSUMER TO PAYER -- $250 2007 2005 *Source: 2007 & 2009 Mc. Kinsey analysis 3/16/2018 -- CONSUMER TO PROVIDER -- 7 -- CONSUMER TO PAYER -- $312 2015
If only Price Transparency was this easy! 8
I know everyone will be excited about new ways not to get paid
TRANSPARENCY CAN OCCUR WHENEVER THERE IS COMMUNICATION BETWEEN ANY TWO OF: - Insurer Provider: hospital/physician/Patient Access & Patient Primary Care Physician Specialist Ancillary testing facility Post Acute Care - Nursing Home - Home Health - Family Caregiver - Pharmacy
TODAY TRANSPARENCY ACROSS THE CONTINUUM! (NOT RELATED TO ANY ONE EPISODE) Old Paradigm – episode of care . • Office Visit… New Paradigm – Pop Health Mgmt • Connected to EMR’s/ACOs • Scheduling…Testing… • Confirm appt / Pt Arrival/ Results • Admission/Reg… • Pre. Service Clearance prior • Discharge… • Phys office + specialists + Others • Billing…for svc you provided • Billing=combination of providers • Payment • Bundled Payments • Bill me • Pay me
Moving from Volume to Value: What’s Different? Degree of Transparency! From To Fee for Service Payment Risk and/or Incentives for Keeping Patients Healthy. P 4 P (Pay for Performance), Shared Savings, Capitation Care Not Coordinated Between Providers Managing Continuum of Care. Right Care at the Right Place/Time. Care Coordination, Transitions of Care leveraging community resources No Shared Patient Information Electronic Health Records enable information Sharing. Health Information Exchange Doctors Wait for Sick People to Show Up Predictive modeling, Proactive Monitoring and Outreach. Telemedicine, Patient Centered Medical Home, Home visits Patients Wait for Providers to Tell Them What to Do Patients Actively Engaged in Improving and Managing their Health. Personal Health Records, Home Monitoring Devices, Patient Engagement/Liability estimates 12
SO IT SHOULDN’T BE A SURPRISE THAT… • Notice to Patients Required for Outpatient Facility Fees • • Posted: 24 Apr 2014 11: 36 AM PDT (Effective Oct. 2014) The Connecticut House of Representatives responded on Wednesday to medical billing concerns patients expressed over undisclosed and unexpected facility fees by unanimously passing a bill that requires notice. Many patients expressed that the additional charges were a surprise when they received their bill. The legislation now moves to the state Senate for a vote. The charges, often referred to as "facility fees" are charged to patients by medical offices that are owned by hospitals for outpatient care. These fees are separate from doctor fees. Facility fees range from several hundred to thousands of dollars. The bill to require notice to patients about fees possible extra charges for outpatient care at medical offices owned by hospitals. The bill specifically requires that patients with scheduled appointments at medical offices where facility fees are charged receive notice about the fees in plain language before they receive treatments scheduled so long as the appointment is scheduled at least 10 days in advance. If the exact nature of the services or insurance coverage is unknown the patients would be provided with an estimate based on typical charges at the facility. Notice for patients receiving emergency care would need to be delivered as soon as practicable after the patient is stabilized. The bill does not impact the offices' ability to charge facility fees. Other provisions in the bill are include requirements that the office prominently displays that the facility is connected to a hospital, what hospital the office is affiliated with, and states that the patient may incur higher charges than if they were treated at a facility that isn't hospital-based.
MASSACHUSETTS CHAPTER 224 The law aims to control health care cost growth through a number of mechanisms, including the creation of new commissions and agencies to monitor and enforce the health care cost growth benchmark, wide adoption of alternative payment methodologies, increased price transparency, investments in wellness and prevention, an expanded primary care workforce, a focus on health resource planning, and further support for health information technology
NEW BUSINESSES INVESTORS ARE DRAWN TO THE CONCEPT OF PRICE TRANSPARENCY, WITH SHARES RISING 139 PERCENT ON ITS FIRST DAY OF TRADING. • Castlight is helping patients select the best price, and quality service. Are you ready? • If you’re not offering competitive prices and high quality outcomes employers and patients may start taking their business elsewhere. Wall Street appears to have casted their vote in favor of patient consumerism.
CANARY – INFECTION TRANSPARENCY “Using the breath biomarker, we can pick up the body getting ready to fight infection. . . even before the patient is showing signs, ”
SHAREPRACTICE - NEW WAY TO RATE TREATMENT? Yelp for Doctors? over 5, 000 health care providers using the app
TAPCLOUD
WHAT ARE WE TASKED WITH? AND HOW DO WE ACCOMPLISH
ENTERPRISE TRANSPARENCY: PROVISION OF CARE • Provider organizations will have clear policies on how to interact with patients with prior balances choosing to have elective or non-elective procedures. They will also have clear definitions for elective and non-elective procedures. These policies will be made available to the public. • Brochures, Website, all documents • Patients do not speak ABN, MSP, elective, In from Out! • Lasix vs Furosemide
BEST PRACTICES FOR TRANSPARENCY • Have defined processes for all patient types: EMR – OPT – INPT – Pre • Discussion with Participants - not to disrupt workflow • Patient Share Responsibility / Estimate / Navigation Counselor • When: Pre/Post Service, Emtala, Walk-ins • Include Financial Screening along with Estimation * Use of consumer data * Toll Free number / Business Cards • Appropriate Discussion Settings & Script • Pre – Point - change in discharge process (fast pass? )
THE BEST PAYMENT PROMISE Providers must… • Know who is in front of them. I. D. your patient – Keep patient SAFE & STOP RETURN Mail • Define the medical language in CONSUMER language • Have the correct insurance and benefit information. • Tell patients what they will owe at the time of service. • Enroll for Financial Assistance before rendering service. • Extend hospital charity to those who qualify. • Securely accept payment upfront for smaller balances. • Extend payment terms and fundraising options for larger balances. 3/16/2018 Every patient leaves knowing what they owe & how their services will be paid for! Excellence in Patient Financial Triage includes determining the Patient’s Preferred method for future Communications! 22
WHO, WHERE, WHEN? HOW EASY IS THIS FOR YOU? • Prior Balance Discussion • Balances across their continuum of care • Payment plans tailored to successful collection • Summary of Care Document • Annual Training of Registration – MSP, Collections, Payer Skills, Industry trends & updates
MEASUREMENT/COMMUNICATION • • Collections / accuracy Consumer satisfaction Surveys / real time Host Focus Groups Define Medical and Legal terms and provide access to them – See handout • Access success – Reduction in Dups, return mail & patient complaints, cancellations, no-shows • Increase – patient satisfaction scores, collections, employee satisfaction, positive internal relationships •
Pushing the Right Buttons at the right time!
NEGOTIATION SKILL TRAINING! • Display Confidence! • Be sensitive to the situation (emotional intelligence) • Be aware of cultural differences • Be humane, respectful and honest • Determine what leverage you have • Be realistic – understand the strategy and policy • Hire with these traits in mind
LISA TOZIER – ST JOSEPH’S STORY
PROVIDER OVERVIEW • • Faith Based organization Bangor Maine, Population 33, 000 St Joseph Hospital/Covenant Health System Licensed for 112 beds Self pay portions increased volume Transparency & collection = new concept to patients Delicacy in rolling out the changes and keeping within the mission
PATIENT ACCESS/REVENUE INTEGRITY MANAGER • • • • Manage the day to day operations for a Patient Access staff of 30 Responsible for pre-reg, pre-cert, face to face reg and the ED Manage the day to day operations for a Reimbursement staff of 3 Responsible for managing charging throughout the hospital Responsible for managing RAC, MIC, ADR and 3 rd party audits Liaison between the revenue cycle departments Lead our Revenue Integrity Team Spend 2 hours a week working with Patient Accounts solving issues Spend 2 hours a week working with IS to ensure our revenue cycle computer systems are running correctly. Lead implementation coordinator for all revenue cycle software Maintain security for revenue cycle software programs Responsible for the overall maintenance of the hospital’s chargemaster Responsible for the expanded proration file
BENEFITS OFFERED • Patient discounts from Providers • Financial Counseling Services • Card give to patient for Counseling hours • Establishing a Physical Space and staffing in the ED (certified counselor for HIX) Key Factor: Physical Space
CENTRALIZED & DECENTRALIZED OVERSIGHT • Challenges • Training staff – 2 day with pre-reg staff and time with education trainers • ipad swipes / kiosks (where, which patients) • Outcome: More Transparency = shorter throughput
COMMUNICATION - LIAISON • Role connectivity between rev cycle, ancillary and I. T. departments to make process improvements • Automated process developed allows for Patient Access + PFS transparency. • Dedicated price estimation line and dedicated Financial Counseling line. • Keep it Simple - allow for Patient Engagement via patient portal, smartphones etc
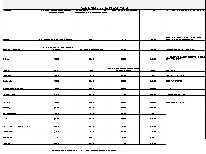
Patient Responsibility Deposit Matrix Department SJH employees and their family with Aetna through the hospital Patient % Liability with Insurance or deductible from Passport or use amount below Medicare Patients with no secondary Self Pay Inpatient $150 (if admitted through ED there is no charge) $150. 00 NONE $500. 00 MEDICARE PT WITH SECONDARY INS; ALSO, WHEN MEDICARE IS THE SECONDARY INSURANCE Emergency Department $150 copay If they don’t have encourage payroll deduction $50. 00 or copay per passport/card $10. 00 $200. 00 PATIENTS WITH TWO OR MORE INSURANCES Diabetes $10. 00 $100. 00 MAINECARE PATIENTS WITH THE EXCEPTION OF THOSE THAT HAVE A CO-PAY Nutrition $5. 00 $30. 00 unless PT has dx of diabetes or renal disease then nothing $30. 00 VA PATIENTS Cardiology $10. 00 $90. 00 WORKER'S COMP PATIENTS Cardiac Cath $50. 00 $500. 00 THIRD PARY LIABILITIES ENDO (excludes colonscopies) $50. 00 $500. 00 MVA'S Outpatient Surgery $50. 00 $500. 00 SCREENING MAMMOGRAMS Pain Clinic $50. 00 $500. 00 COLONOSCOPY PATIENTS RBCC Diagnositics $25. 00 $10. 00 $200. 00 RBCC Bone density $10. 00 $70. 00 X-RAY $15. 00 $10. 00 $150. 00 CT, MRI, NUC, US, Sleep Lab, EEG $20. 00 $10. 00 $200. 00 Wound Clinic $20. 00 $100. 00 Infusion Clinic $5. 00 $10. 00 $50. 00 Hyperbaric $20. 00 $50. 00 $250. 00 REMEMBER TO SMILE WHEN YOU SAY HOW WOULD YOU PREFER TO PAY FOR THAT TODAY WE DO NOT COLLECT FROM THE FOLLOWING PEOPLE
TACKLING PRICING TRANSPARENCY • • • • CDM Historical Claims Data Complex Contract terms Manipulating pricing/co-morbidities Correct Insurance plan codes Rich Eligibility Data(Web, COB, HIX) Carve outs Ability to Pay Propensity to pay Collection process OUCH! Payment plan creation Portal payments Ability to explain calculations
#1 : SUPPORT FROM INTERNAL RESOURCES • • • ED and ancillary staff Revenue Cycle Departments Senior Management – on board I. T. ! Working to budget much needed resources Provider owner physician practices & entities All staff physicians Their Office staff Marketing Educating consumers and supporting the vision is everyone’s job.
QUALITY MANAGEMENT – IT’S WHAT’S UPFRONT THAT COUNTS! • Without quality data you cannot be transparent with any sense of accuracy • Scrub accounts upfront • Auto scripting corrections means less rekeying and less chance for error. • Snapshots of electronic trx and info kept for audit trail • Reports! Communicate Success! Ya Gotta Be a Team Player
GOALS FOR TRANSPARENCY IMPLEMENTATION • ONE Integrated platform – Touchless processing! Lisa joined Exp/PP • Work queues • Address verification USPS and Validation • Q. A. • Eligibility Verification • Scripting address & eligibility corrections/carrier codes • Medical Necessity • Automated Pre-Authorizations • Patient Liability Estimator • Payment Processing • Patient Portal & results tracking/reporting • Patient Kiosks & m devices (Pt check-in to streamline experience) 2015 – Financial Screening, Automated Charity apps • Automated Physician Orders – legible/screened/ kick off! • Pre. Claim scrubber and new claims processing solution • New statements to better communicate bill, programs, even coupons!
FUTURE STATE • Kiosks in all areas • Scrubbing tool integrated with PFS • Patient Portal for test results/appts and financial and clinical communications • Automated Pre. Auth • Work closely with Provider owned practices to move processes even farther to the front of the patient experience • Physician liaison role to assist with the physician office relationships • Automated phone calls to encourage preprocessing
VENDOR SELECTION Customer Support All-inclusive Products Integration of Tools Ease for End User vendor Communication & Customer Input vendor 39
COB SMART – WOW!
INCLUDE/EXCLUDE? (OUT OF POCKET OPTIONS)
DRILLING DEEPER INTO PRICING Combined Estimates • • Use Historical Claims Data Use CPT & ICD codes Cross walk CPT to ICD Combine Hospital & Physician liabilities Consider specific physician and location Establish high, average, low pricing Adjust specific line items Access readiness for ICD 10 in automated tool
I’ll splane our silver burger plan
ELIGIBILITY HIX RESPONSE
HOW CAN YOU DENY ME TODAY? • Grace Period = claim denied? Claim paid? • Collect from patient & refund later? • If the deductible hasn’t been met can’t you collect payment anyway? It is not covered right? • If the patient pays the premium…does this payment automatically trigger a payment to the hospital? • Will the hospital have to track and monitor denials to rebill? • How must administrative cost is there?
HOW DO YOU MAKE THIS POSSIBLE? Benefit data Contract Data Accurate Data & Denial Prevention Payment Estimate Financial Triage & PIV Cashiering Tools S & ills Sk t n atie tion + P c fa E atis C G AN H
Transparency Gone Wild!
SOMETIMES TRANSPARENCY IS WELL… Opague • Disclaimer verbiage • Communicate typical variances up front • Additional amount due vs. refund 50
WHY ESTIMATES HAVE TRANSPARENCY LIMITATIONS • The user selected the wrong procedure • The wrong insurance code was selected and not fixed before the estimate was run • A procedure was added on after the estimate • Not all of the same surgeries will be the same • Dealing with the unknown • Co-morbidities…. . • Chargemaster updates • Contract updates GUESStim ate • Benefits not always there • Co-insurance-moving target 3/16/2018 51
GUESSTIMATRON MAGIC
TRANSPARENCY NAVIGATOR
ESTIMATRON CLIFF NOTES
WHY PATIENTS CANNOT EASILY DO ESTIMATES?
CONSUMER FACING ESTIMATES
WILDLY OPTIMIZING BEGINS AT THE VERY BEGINNING! Key Components: (A-U-T-O-M-A-T-I-O-N) • 1. Screen: who should not be targeted for collections. Screen for bankruptcy, deceased, Medicaid & Commercial eligibility and charity eligibility. • 2. Segment: to prioritize inventory and produce optimal collection and treatment strategies. • 3. Route: assign accounts to the most appropriate role pre/post
OPTIMIZATION • 4. Performance Management: Real-time dashboards and to support and drive business decisions. • 5. Collaboration, Consultation and Analytics: identify best practice collection strategies on going, evaluate reports for opportunities and anoint someone to oversee & champion process.
END GOAL Healthy Happy Consumers 3/16/2018 A healthy Provider revenue cycle 59
WHAT OTHER KINDS OF WILD? • Telemedicine • Gamification applied to healthcare engagement (Let’s play a game…) • Change your process to meet the needs for customers of all ages and tech savviness. • Hospitals compete for patients by developing their expertise in niche markets. This could just be quality customer service, consumer friendly processes, and confidence in experiencing the latest technology in place right at the start. • Servant Leader Management Style
TRY NEW THINGS! COLLABORATE WITH YOUR BUSINESS PARTNERS TO MANAGE THE NEW MODELS 3/16/2018 Passport Health a Part of Experian 61
BE USER FRIENDLY & INTUITIVE. SHOW HEALTHCARE CONSUMERS THE LOVE! Wow… I can do this! CHAM Tran spar e ncy 500, 000 known, verified fraud records 3/16/2018 Meaningful use: More than 50 percent of all unique patients online access to their health information. Precisely I. D. your patients and enroll in your Patient Portal! 62
EDUCATION / NAHAM/AFFILIATES • Ham & Egg Breakfast • The Chicken is invested • The Pig is committed! • Achieving Success comes at a price
PATIENT ACCESS Congratulations and THANK YOU for another G--R-E-A-T CAHAM conference! Katherine H. Murphy, FHAM, CHAM, VP Revenue Cycle Consulting, Passport-a part of Experian
cf960ebfcb258b7aa2f31fb0cd1a614b.ppt