АЛГЕБРА 8 КЛАСС СИСТЕМЫ 5 способов.ppt
- Количество слайдов: 13
19. 02 Классная работа Тема. Решение систем уравнений Нет действительных корней
Приведенное квадратное уравнение Теорема Виета Разложение на множители квадратного уравнения
Биквадратное уравнение
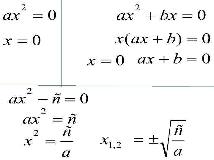
Решить уравнение: 1) Ответ: Нет действительных корней 2) Ответ:
Системы уравнений I Способ подстановки. Универсальный. 1. (1) (2) (1) Ответ: (- 5; 20) (2)
II Способ сложения - (1) (2) (1) - (2): Тогда подставим х в любое из уравнений системы (2) Ответ: (- 5; 20)
III Способ «теорема Виета» 2. и Ответ: (5; - 2), (- 2; 5)
IY Способ «разность квадратов» 3. + (1) (2) (1) + (2): (1) Тогда подставим х в (2): Ответ: (5; 4) (1) (2)
Y Способ «Сложение до полного квадрата» 4. / + Сначала рассмотрим
Сначала рассмотрим и Теперь рассмотрим и Ответ: (3; -2), (-2; 3) или (-3; 2), (2; -3)
Учебник стр. 203 № 496, 497 (все 1), 498, 504 508, 510 (все 1), 520, 522
Домашнее задание: § 32, 34, № 537, 539, 542 В пятницу 26. 02 Контрольная работа. Хороших выходных!
АЛГЕБРА 8 КЛАСС СИСТЕМЫ 5 способов.ppt