ЭЧСЭСП, часть 2, лекции 10-24.pptx
- Количество слайдов: 170
10. Параметры асинхронных электродвигателей с короткозамкнутым ротором • Uном – номинальное напряжение двигателя, к. В; • Рном – номинальная активная мощность двигателя, к. Вт; • nсинх – номинальная синхронная частота вращения двигателя, об/мин; • nном – номинальная частота вращения двигателя, об/мин (или о. е. ); • sном – номинальное скольжение двигателя, о. е. ; • sкр – критическое скольжение двигателя, о. е. ;
Параметры АЭД с КЗР • η – номинальный КПД двигателя, о. е. ; • cos н – номинальный коэффициент мощности двигателя, о. е. ; • Кзгр – коэффициент загрузки двигателя, о. е. ; • Кп – кратность пускового момента двигателя, о. е. ; • Км – кратность максимального момента двигателя, о. е. ; • Кi – кратность пускового тока двигателя, о. е. ; • J – момент инерции ротора двигателя, кг∙м 2; • TJ – инерционная постоянная ротора двигателя, 2 с.
Асинхронный электродвигатель с короткозамкнутым ротором В обмотку ротора АЭД токи извне не подаются. В обмотке ротора АЭД токи индуцируются по закону Фарадея. 3
Асинхронный двигатель. Вращающееся магнитное поле статора А В С В В А С 4
Асинхронный двигатель. Возникновение тока в обмотке ротора А В С В FA В А С 5
Асинхронный двигатель. Действие сил Ампера на обмотку ротора А В С В FA В А С 6
Асинхронный двигатель. Вращение ротора А В С В А С 7
Схема замещения обмотки ротора Хро ∙ s Ео ∙ s Rр I I(s) = Ео ∙ s Rр + j Хро ∙ s Эта зависимость имеет сложный вид, т. к. скольжение s есть и в числителе и в знаменателе. Упростить это выражение можно так:
Схема замещения обмотки ротора Разделим числитель и знаменатель на s: I(s) = Ео Rр + j Хро s Отсюда видно: чем больше скольжение s (т. е. чем медленнее вращается ротор), тем больше ток I. Поэтому пусковой ток АЭД максимален. Этому выражению соответствует такая схема замещения:
Схема замещения обмотки ротора Rр s Хро Ео I 10
Зависимость тока АЭД от скольжения I Iпуск = (4… 7) Iном 1 s 1 0 n 11
Зависимость электромагнитного момента АЭД от скольжения Мmax Ме Мпуск Мном 1 nкр s 1 sкр 0 n
Устойчивая рабочая точка 13
Неустойчивая рабочая точка 14
15
Инерционная постоянная – это время, за которое агрегат разгоняется до номинальной частоты вращения, если к ротору приложен постоянный номинальный момент 16
11. Основные параметры механизмов СН • Мтр – момент трогания, о. е. ; • Ммин – минимальный момент, о. е. ; • Мкл – момент, соответствующий открытию (закрытию) обратного клапана, о. е. ; • nмин – частота, соответствующая минимальному моменту, о. е. ; • nкл – частота открытия (закрытия) обратного клапана, о. е. ; • J – момент инерции ротора механизма, кг∙м 2; • TJ – инерционная постоянная ротора 17 механизма, с.
Момент сопротивления зависит от типа механизма. Нас интересует зависимость Мс(n) 18
1. Механизмы с «постоянным» моментом сопротивления Примеры: мельницы, транспортеры, лифты, краны 19
2. Механизмы вентиляторного типа Примеры: 20 тягодутьевые механизмы, насосы без противодавления
Особенность момента сопротивления для ГЦН реактора ВВЭР-1000 21
Пояснение ВВЭР-1000 РБМК-1000 Трубопровод каждого ГЦН массивен Трубопровод каждого ГЦН мал ГЦН не имеют задвижек, обратных клапанов ГЦН имеют задвижки и обратные клапаны Первый ГЦН после пуска нагнетает воду не только в реактор, но и создает противодавление для остальных ГЦН. Второй ГЦН запустить уже сложнее Запущенные ГЦН не влияют на пуск последующих ГЦН, т. к. нет противотока воды 22
Пояснение ВВЭР-1000 Р РБМК-1000 Р 23
3. Механизмы с противодавлением Закрытие (открытие) обратного клапана Примеры: питательный и бустерный насосы 24
Зависимость Мс(n) при n ≤ n мин при nмин < nкл при n ≥ nкл 25
12. Выбор трансформаторов собственных нужд I ступени трансформации I ступень трансформации низшее напряжение 6, 3 к. В II ступень трансформации низшее напряжение 0, 4 к. В 26
Выбор мощности ТСН, РТСН I ступени • где ΣРрасч. д – суммарная расчетная активная мощность электродвигателей 6, 3 к. В рабочих и резервных механизмов СН, к. Вт; • ΣSрасч. т2 – суммарная расчетная мощность 27 трансформаторов 6/0, 4 к. В II ступени, к. ВА.
Ррасч. д = Кзгр. Рном. д где Кзгр – коэффициент загрузки двигателя; Рном. д – номинальная активная мощность двигателя. Sрасч. т2 = Кзгр. Sном. т2 где Кзгр – коэффициент загрузки трансформатора 6/0, 4 к. В; Sном. т2 – номинальная мощность трансформатора 6/0, 4 к. В 28
Номинальная мощность ТСН, РТСН I ступени трансформации выбирается ближайшей большей расчетной мощности Sрасч. т1. Как правило, мощность РТСН принимается равной мощности ТСН. В случае неуспешного самозапуска мощность РТСН увеличивают на 1 ступень. 29
Иногда РТСН вынужденно выбирают с большей мощностью, чем ТСН. Это происходит в следующих случаях: 1) РТСН подключается к РУ-110 к. В и из соображений надежности должен иметь расщепленную обмотку. Для данного напряжения выпускаются РТСН с минимальной мощностью 25 МВА; 2) РТСН подключается к РУ-220 к. В. Для данного напряжения выпускаются РТСН с минимальной мощностью 32 МВА; 3) РТСН подключается к РУ-330 к. В. Для данного напряжения выпускаются РТСН с минимальной 30 мощностью 40 МВА.
13. Выбор ТСН, РТСН II ступени трансформации Расчетная нагрузка ТСН второй ступени трансформации определяется аналогично, как и для первой ступени, но суммируют мощности потребителей напряжением 0, 4 к. В. Из-за неоднородности состава электроприемников их разбивают на 4 группы: Рн 1 – постоянно работающие двигатели единичной мощностью 70… 200 к. Вт; Рн 2 – периодически работающие двигатели мощностью менее 100 к. Вт; Рн 3 – эпизодически работающие двигатели задвижек, колонок дистанционного управления и т. д. Рн 4 – освещение и электрообогрев.
Далее определяют расчетную мощность: Sрасч. т2 = 0, 7 ΣРн 1 + 0, 35 ΣРн 2 + 0, 15 ΣРн 3 + + 0, 85 ΣРн 4 Номинальная суммарная мощность всех ТСН энергоблока должна быть не менее расчетной мощности. Обычно единичная мощность ТСН принимается Sном = 1000 к. ВА, а соответствия расчетной мощности добиваются выбором нескольких ТСН на секцию. 32
Резервирование СН на напряжении 0, 4 к. В • В отличие от напряжения 6, 3 к. В, где применяется явное резервирование, в системе СН напряжением 0, 4 к. В используют неявное резервирование. • Поэтому РТСН как таковые отсутствуют. Их роль играют рабочие ТСН. 33
Выбор типа ТСН Трансформаторы 6, 3/0, 4 к. В: • масляные • сухие 34
Системы охлаждения сухих трансформаторов Сухие трансформаторы С Естественное воздушное при открытом исполнении Естественное воздушное при защищенном исполнении СЗ (в защитном кожухе со степенью IP 21…IP 54) СГ Естественное воздушное при герметичном исполнении (нет обмена между внутренним и внешним воздухом) СД Воздушное с принудительной циркуляцией воздуха 35
Трансформатор ТС (без кожуха) Трансформатор ТСЗ 36 (с кожухом IP 33)
Трансформаторы с естественной циркуляцией воздуха и масла М Естественное масляное при открытом исполнении (с расширителем) МЗ Естественное масляное при защищенном исполнении (защита масла с азотом без расширителя) Естественное воздушное при герметичном исполнении МГ (с гофрированными стенками без расширителя) 37
Трансформаторы с естественной циркуляцией воздуха и масла ТМ ТМЗ ТМГ 38
14. Переход в системах собственных нужд с напряжений 6, 3/0, 4 к. В на напряжения 10, 5/0, 69/0, 4 к. В • На зарубежных электростанциях все большее распространение получает система напряжения сети собственных нужд 10, 5/0, 69/0, 4 к. В. • В то же время отечественные электрические станции используют в настоящее время традиционную систему напряжений 6, 3/0, 4 к. В. • Переход на систему 10, 5/0, 69/0, 4 к. В весьма желателен и перспективен. • Основной эффект от перехода с системы 6, 3/0, 4 к. В на систему 10, 5/0, 69/0, 4 к. В состоит в том, что при повышенном напряжении снижаются токи как 39 нормального, так и аварийного режимов.
Переход в системах собственных нужд с напряжений 6, 3/0, 4 к. В на напряжения 10, 5/0, 69/0, 4 к. В • При повышении напряжения в 10, 5/6, 3 = 1, 67 раза, примерно в такое же количество раз снижаются токи нормального режима на секциях 10, 5 к. В и токи короткого замыкания при расположении точки КЗ на секциях 10, 5 к. В. • При повышении напряжения в 0, 69/0, 4 = 1, 73 раза, примерно в такое же количество раз снижаются токи нормального режима на секциях 0, 69 к. В и токи короткого замыкания при 40 расположении точки КЗ на секциях 0, 69 к. В.
Переход в системах собственных нужд с напряжений 6, 3/0, 4 к. В на напряжения 10, 5/0, 69/0, 4 к. В Это приводит к существенному влиянию на систему электроснабжения: 1) Происходит снижение требуемого сечения кабелей на напряжениях 10, 5 и 0, 69 к. В в сравнении с напряжениями 6, 3 и 0, 4 к. В по термической стойкости и по невозгораемости. 2) Уменьшается требуемое сечение токопроводов, кабелей по условиям длительно допустимой нагрузки. 3) Снижаются требования к величине номинального тока отключения ячеек КРУ на напряжении 10, 5 к. В и автоматических выключателей на напряжении 0, 69 к. В. 41
Переход в системах собственных нужд с напряжений 6, 3/0, 4 к. В на напряжения 10, 5/0, 69/0, 4 к. В 4) Параметры ряда переходных процессов при переходе с системы напряжений 6, 3/0, 4 к. В на систему 10, 5/0, 69 к. В практически не меняются. Сюда относятся процессы: - пуска наиболее мощных электродвигателей, - самозапуска, - ступенчатого пуска механизмов СН АЭС от дизельгенераторов. 5) При переходе на систему напряжений 10, 5/0, 69 к. В некоторую часть нагрузки следует сохранить на напряжении 0, 4 к. В. Двигатели мощностью более 630 к. Вт должны выполняться на напряжение 10 к. В, двигатели от 50 к. Вт до 630 к. Вт – на напряжение 0, 66 к. В, 42 двигатели менее 50 к. Вт – на напряжение 0, 38 к. В.
Переход в системах собственных нужд с напряжений 6, 3/0, 4 к. В на напряжения 10, 5/0, 69/0, 4 к. В 6) Дизель-генераторы системы аварийного электроснабжения АЭС предлагается перевести на напряжение 10, 5 к. В с использованием трансформаторов надежного питания 10, 5/0, 69 к. В и разделительных трансформаторов агрегатов бесперебойного питания (АБП) 10, 5/0, 4 к. В. 7) При переходе на новую ступень напряжений в сети бесперебойного питания сохраняются переменные напряжения 0, 38 и 0, 22 к. В с электроснабжением через разделительные и зарядные трансформаторы АБП с напряжением 10, 5/0, 4 к. В. Следует учитывать удорожание двигателей 10 к. В по сравнению с двигателями на 6 к. В. 43
15. Расчет параметров схемы замещения для определения токов КЗ на секциях СН Назначение расчетов токов КЗ: 1. Выбор электрооборудования по максимальным токам. 2. Проверка чувствительности релейной защиты по минимальным токам.
Расчёт токов КЗ в системе СН (в о. е. ) 1) Схема электрических соединений 2) Выбор расчетных условий: - вид КЗ - место КЗ - длительность КЗ t 3) Составление схемы замещения 4) Выбор базисных условий: - базисная мощность Sбаз, МВА - базисное напряжение Uбаз, к. В - базисный ток Iбаз, к. А 5) Расчет параметров элементов схемы замещения в о. е. : - сопротивлений Х - э. д. с. Е 6) Сворачивание схемы замещения к точке КЗ 7) Определение эквивалентных параметров: - сопротивления Хэ - э. д. с. Еэ 8) Расчет тока короткого замыкания Iпо = Еэ/Хэ в о. е. и в к. А 9) Расчет Iпt, iаt, β к моменту времени t 10)Расчет тепловых импульсов В. 45
ГОСТ Р 52735 -2007. Короткие замыкания в электроустановках. Методы расчета в электроустановках переменного тока напряжением свыше 1 к. В. Федеральное агентство по техническому регулированию и метрологии. – Введ. 12. 07. – М. : Стандартинформ, 2007. – 36 с. 46
РД 153 -34. 0 -20. 527 -98 Руководящие указания по расчету токов короткого замыкания и выбору электрооборудования. Под ред. Б. Н. Неклепаева. – М. : Изд-во НЦЭНАС, 2002. – 152 с. 47
Энергосистема со стороны ТСН, РТСН Задаётся один из параметров в точке включения ТСН (РТСН): 1) ток короткого замыкания Iпо, к. А 2) мощность короткого замыкания Sкз, МВА 3) эквивалентное сопротивление системы Хэ, Ом и напряжение: - генераторное напряжение для системы со стороны ТСН Uг. н, к. В (6, 3; 10, 5; 13, 8; 15, 75; 18; 20; 24 к. В) - среднеэксплуатационное напряжение РУ-ВН для системы со стороны РТСН Uср. РУ, к. В (115; 230; 340 к. В) 48
Связь между параметрами системы 49
Базисные условия 50
Энергосистема, примыкающая к ТСН (РТСН) Исходные данные: ХЭ, Ом Uср, к. В Ес = 1 51
2 -обмоточный ТСН (РТСН) с расщеплением Исходные данные: Sном, МВА uкв-н, % uкн-н, % 52
Важно! В этих формулах: uкв-н – напряжение короткого замыкания ТСН между обмоткой ВН и обмотками НН, включенными параллельно, о. е. ; uкн-н – напряжение короткого замыкания ТСН между обмотками НН, приведенное к половинной мощности ТСН, о. е. ; SТСН – номинальная мощность ТСН, МВА. 53
При использовании справочников для определения uк НН 1 -НН 2 следует обращать внимание на указанный в примечаниях смысл каталожных обозначений. Если uк НН 1 -НН 2 отнесено в каталоге к номинальной мощности трансформатора, то данное uк НН 1 -НН 2 необходимо пересчитать для половинной мощности, разделив на 2. В случае неверной подстановки в формулы зачастую сопротивление хв получается 54 отрицательным.
Например, для ТСН марки ТРДНС-63000/35 в табл. 3. 5 справочника Неклепаева uкв-н = 12, 7% и uкн-н = 40% отнесены к полной мощности трансформатора – см. примечание к таблице. В этом случае в скобках формул должно стоять выражение (0, 127 – 0, 2 / 2). 55
Справочник Неклепаева, стр. 144 -145 56
2 -обмоточный ТСН (РТСН) Исходные данные: Sном, МВА uк, % 57
Магистраль резервного питания от РТСН до секций СН Исходные данные: Uср, к. В худ, Ом/км l, км Хм 58
Электродвигатели СН Исходные данные: хдн, о. е. Sд, МВА Ед = 0, 91. . . 0, 94 59
16. Определение токов трехфазного КЗ на секциях СН Рассчитываем следующие токи: Iп 0 – действующее значение периодической составляющей тока 3 -фазного КЗ в начальный момент времени; Iпt – действующее значение периодической составляющей тока 3 -фазного КЗ в момент времени, соответствующий началу размыкания контактов выключателя; iat – мгновенное значение апериодической составляющей тока 3 -фазного КЗ в момент времени, соответствующий началу размыкания контактов выключателя; iуд – ударный ток КЗ
Переходный процесс при КЗ: 61
Расчет периодической составляющей тока КЗ в начальный момент времени 1) Между ЭДС системы и точкой КЗ суммируем все сопротивления => Хэкв 2) Рассчитываем ток КЗ от системы в относительных единицах: Iпсо[о. е. ] = Ес / Хэкв 3) Рассчитываем ток КЗ от системы в именованных единицах (килоамперах): Iпсо[к. А] = Iпсо[о. е. ] ∙ Iбаз 62
Расчет периодической составляющей тока КЗ в начальный момент времени 1) Рассчитываем ток КЗ от двигателей в относительных единицах: Iпдо[о. е. ] = Ед / Хд 2) Рассчитываем ток КЗ от двигателей в именованных единицах (килоамперах): Iпдо[к. А] = Iпдо[о. е. ] ∙ Iбаз 3) Рассчитываем суммарный ток КЗ: Iпо = Iпсо + Iпдо Это действующее значение периодической составляющей 3 -фазного КЗ в начальный момент времени 63
Расчет периодической составляющей тока КЗ в момент времени t 1) Периодический ток КЗ от системы не затухает: Iпсt = Iпсо 2) Периодический ток от двигателей затухает по экспоненте: Iпдt = Iпдо∙exp( – t / Тпэд ); t = tоткл. min = tрз. min + tо. с; Тпэд = 0, 07. . . 0, 1 с (подробнее – см. ГОСТ Р 527352007, п. 9. 1, расчетные кривые); 3) Рассчитываем суммарный периодический ток КЗ: Iпt = Iпсо + Iпдt Это действующее значение периодической составляющей 3 -фазного КЗ в момент времени, соответствующий началу размыкания контактов выключателя 64
Расчет апериодической составляющей тока КЗ в момент времени t 1) Апериодический ток от системы затухает по экспоненте: iасt = √ 2 ∙ Iпсо∙exp( – t / Таэс ); t = tоткл. min = tрз. min + tо. с; Таэс = 0, 06. . . 0, 1 с; 2) Апериодический ток от двигателей затухает по экспоненте: iадt = √ 2 ∙ Iпдо∙exp( – t / Таэд ); t = tоткл. min = tрз. min + tо. с; Таэд = 0, 02. . . 0, 067 с; 3) Рассчитываем суммарный апериодический ток КЗ: iаt = iасt + iадt Это мгновенное значение апериодической составляющей 3 фазного КЗ в момент времени, соответствующий началу размыкания контактов выключателя 4) Рассчитываем содержание апериодической составляющей в отключаемом токе: β = iаt / (√ 2 ∙ Iпt) ∙ 100% 65
Расчет ударного тока КЗ в момент времени t = 0, 01 с 1) Ударный ток КЗ от системы: iудс = √ 2 ∙ Iпсо ∙ Кудс; Кудс = 1, 85. . . 1, 91; 2) Ударный ток КЗ от двигателей: iудд = √ 2 ∙ Iпдо ∙ Кудд; Кудд = 1, 6. . . 1, 77; 3) Суммарный ударный ток КЗ: iуд = iудс + iудд; Это мгновенное значение ударного тока 3 -фазного КЗ в момент времени t = 0, 01 с, соответствующий максимуму электродинамического воздействия 66
17. Определение тепловых импульсов токов КЗ на секциях собственных нужд Назначение расчетов тепловых импульсов: 1. Проверка выключателей на термическую стойкость (ТС). 2. Проверка кабелей на термическую стойкость (ТС). 3. Проверка кабелей на невозгораемость (НВ).
Понятие теплового импульса (к. А 2∙с) где iкt – мгновенное значение тока КЗ в момент времени t; tоткл – время отключения КЗ, которое определяется как максимально возможное время существования КЗ с учетом: - времени гашения дуги; - отказа основной релейной защиты и срабатывания резервной релейной защиты с некоторой уставкой селективности по времени; - отказа основного выключателя и отключения 68 смежного выключателя под действием УРОВ.
Вычисление теплового импульса • непосредственное вычисление (точно, но сложно, требуется специализированная программа ЭВМ); • аналитическое вычисление (менее точно, но проще считать): 1) формулы для проверки на ТС; 2) формулы для проверки на НВ. 69
Вычисление теплового импульса для проверки электрооборудования на ТС В = Вп + Ва, где Вп , Ва – тепловые импульсы от действия периодической и апериодической составляющей тока КЗ. Вп = Iпос2 tоткл + 0, 5 Iпод 2 Tпэд + 2 Iпос Iпод. Тпэд. Ва = (Inоc + Inод)2 Tасх, где Tасх – постоянная времени изменения апериодического тока для всей схемы: 70
Вычисление теплового импульса для проверки электрооборудования на НВ где Таэ – эквивалентная постоянная времени затухания апериодической составляющей тока КЗ от удаленных источников; Таэ = 0, 1 с для сети 6 к. В; Таэ = 0, 02 с для сети 0, 4 к. В. 71
18. Основные характеристики выключателей СН на напряжение 6, 3 (10, 5) к. В На напряжении 6, 3 (10, 5) к. В применяются выключатели: • элегазовые • вакуумные • электромагнитные (реже) • маломасляные (применялись ранее) не применяются: • воздушные 72
Наиболее целесообразно применять элегазовые или вакуумные выключатели: ГОСТ Р 52565 -2006 Выключатели переменного тока на напряжения от 3 до 750 к. В 73
Номинальные параметры 1. Номинальное напряжение Uном, к. В 6, 3 к. В; 10, 5 к. В 2. Номинальный ток Iном, А 630, 1000, 1250, 1600, 2000, 2500, 3150 А 3. Номинальный ток отключения Iо. ном, к. А 12, 5; 20; 25; 31, 5; 40; 50 к. А (для вакуумных меньше, для элегазовых больше) 74
Нормированные параметры 4) ток электродинамической стойкости (предельный сквозной ток) iд, к. А 5) ток термической стойкости Iт, к. А время короткого замыкания tк. з. , с (1, 2, 3) 6) содержание апериодической составляющей в отключаемом токе βн, % 7) ток включения: - действующее значение периодической составляющей Iв. н, к. А - амплитудное значение iв. н, к. А 75
Прочие параметры • собственное время отключения tсв, с 0, 035… 0, 05 с (у вакуумных меньше, у элегазовых больше) • полное время отключения tов, с 0, 055… 0, 08 с (у вакуумных меньше, у элегазовых больше) • ресурс по механической стойкости Nм, циклов 10 000… 100 000 циклов (у элегазовых меньше, у вакуумных больше) • ресурс по коммутационной стойкости Nк, циклов 76
Ресурс выключателей Коммутационный ресурс - допускаемое число коммутаций без осмотра и ремонта дугогасительного устройства Коммутационный ресурс при токе Вид Iо. ном, к. А ≤ 31, 5 40 50 Элегазовые 20 15 12 Вакуумные 25 20 18 77
Физика процессов в элегазовых выключателях. Дуга в газах • Горение дуги в газах • Гашение дуги в газах
Катод Анод U, В Падение напряжения на дуге 20 -50 1 мкм E, В/см 106 0 Напряженность электрического поля ! 10 -20
Момент размыкания контактов Большая плотность тока j = I/S j = 1000 А/мм 2 => T = 5 000… 10 000 K
Освобождение электронов из катода Катод Анод 1) Автоэлектронная эмиссия (высокая напряженность) 2) Термоэлектронная эмиссия (высокая температура)
Ионизация газа Нейтральная молекула газа – + Ион + – – – 1)Ударная ионизация 2)Термическая ионизация => образование плазмы Плазма – ионизированный горячий проводящий газ
Деионизация газа Диффузия Рекомбинация 1) Электрическая – – – + 2) Тепловая – + – – –
Свойства элегаза (SF 6) • электрически прочнее воздуха в 2, 5 раза; • электрическая прочность – как у трансформаторного масла; • тяжелее воздуха в 5 раз; большой коэффициент теплового расширения • нетоксичен (испытания по МЭК: 24 ч 80/20% SF 6/O 2), • продукты разложения в результате действия разрядов токсичны и химически активны; • температура в эл. дуге может достигать 15 000 К. При этом элегаз разлагается (токсичнее всего фторид тионила SOF 2); • SF 6 негорюч; • без цвета и запаха; • инертен; • цена 300 р/кг 84
Теплопроводность элегаза 85
Электрическая прочность элегаза 86
Электрическая прочность элегаза 87
Скорость деионизации элегаза Постоянная деионизации – время, за которое сопротивление дуги удваивается. • Для воздуха – 200 мкс (и с ростом давления возрастает) • Для элегаза – 0, 25 мкс (и не зависит от давления) Пояснение: фтор – самый электроотрицательный элемент. Поэтому молекула SF 6 интенсивно притягивает, захватывает свободные электроны дуги.
Элегазовые выключатели 89
Элегазовый выключатель LF-10 Выключатель включен Размыкаются основные контакты а-основной контакт b-дугогасительный контакт с-расширительный объем d-катушка е-цилиндрический дугогасительный контакт Размыкаются дугогасительные контакты Выключатель отключен 90
Элегазовый выключатель с магнитным дутьём 1 -трубчатый токопровод неподвижного контакта 2 -корпус неподвижного контакта 3 -постоянные магниты 4 -дугостойкая изоляционная шайба 5 -корпус подвижного контакта 6 -трубчатый токопровод подвижного контакта 91
1 – реле блокировки от многократного включения; 2 – пружина отключения; 3 – амортизатор (демпфер); 4 – синхронизирующий вал привода; 5 – тяга соединяющая вал привода с синхронизирующим валом; 6 – датчик давления элегаза; 7 – болт крепления заземляющей шины; 8 – блок-контакты (11 пар); 9 – цепи вторичной коммутации; 10 – катушка отключения Y 01; 11 – кнопка включения; 12 – рукоятка ручного взвода пружины включения; 13 – пружина включения; 14 – счетчик числа отключений; 15 – кнопка отключения; 16 – указатель положения выключателя ( «I» -включен, «О» -отключен); 17 – указатель состояния пружин; 18 – мотор-редуктор привода.
Элегазовые выключатели Достоинства: • пожаробезопасность • быстродействие, возможность БАПВ • высокая отключающая способность • внутреннее и наружное применение Недостатки: • необходимость подогрева • продукты распада элегаза • дороговизна • очистка, заполнение, перекачка элегаза • зависимость управления выключателем от давления элегаза 95
Вакуумные выключатели 96
Диэлектрические свойства вакуума 97
Дуга в вакууме Сжатая Диффузная + – 98
Особенности контактных систем ВДК • До 10 к. А – простые дисковые контакты • 20 к. А – вращение дуги по поверхности контактов (поперечное магнитное поле) • 31, 5 к. А – использование продольного 99 магнитного поля
Контакты с поперечным магнитным полем 100
Поперечное магнитное поле 101
Продольное магнитное поле 102
Сваривание контактов в вакууме • • Металлические детали, прижатые друг к другу в вакууме, подвержены холодной сварке, т. к. на их поверхностях не могут образоваться окислы, препятствующие этому процессу. Поэтому розеточные, ножевые и скользящие контакты здесь неприменимы. Через контакты протекают сквозные токи КЗ, расплавляющие металл в отдельных точках поверхности, из-за чего в этих точках образуются участки сварки. Эти проблемы преодолены путем введения следующих мер. 1) Металлокерамические контактные накладки (композиция медь-хром 70%/30%), обладающие высокой устойчивостью к образованию сварок. 2) Контактный материал обладает зернистой структурой, благодаря которой уже образовавшиеся сварки легко разрываются приводом выключателя. 3) Приводы, обеспечивающие значительное (2000 -3000 Н) усилие поджатия контактов для снижения переходного сопротивления и предотвращения электродинамического отброса контактов. 4) Приводы большой силы при отключении способны разрывать места сварки.
104
105
Вакуумные выключатели. Контроль вакуума. Методы контроля вакуума: 1. Токовый • Между электродами пропускается разрядный ток. • Чем выше давление, тем больше разрядный ток. • По большому разрядному току можно судить об ухудшении вакуума. 2. Термопарный • Имеется электронагреватель и термопара. • Ток нагревателя поддерживается постоянным. • ЭДС термопары пропорциональна температуре. • Чем выше концентрация газа, тем лучше отводится тепло от нагревателя, тем ниже температура и ЭДС термопары. • По низкой ЭДС термопары можно судить об ухудшении вакуума. 106
Вакуумные выключатели Достоинства: • простота конструкции • высокая скорость коммутаций • малые размеры (30 к. В/мм) • маломощный привод • большой ресурс коммутации номинальных токов • большой ресурс коммутации токов КЗ • пожаробезопасность • малые эксплуатационные расходы Недостатки: • наибольшее Uном = 35 к. В (есть отдельные образцы 110 к. В) • низкая отключающая способность • на контактах образуются наплывы острой формы после отключения • коммутационные перенапряжения (в случае дешевых контактов) • возможность потери вакуума и привания контактов • сложность контроля вакуума 107
Вакуумный выключатель BB/TEL
ВВ/TEL-10 -20/1000 У 2 • Номинальное напряжение: 10 к. В • Номинальный ток: 1000 А • Номинальный ток отключения: 20 к. А • динамической стойкости, (наибольший пик): 51 к. А • Ресурс по коммутационной стойкости: а) при номинальном токе, циклов «ВО» 50 000/100 000 б) при номинальном токе отключения, операций «О» 150 в) при номинальном токе отключения, циклов «ВО» 100 • Собственное время отключения: 45 мс • Полное время отключения: 55 мс • Собственное время включения: 90 мс • Масса коммутационного модуля: 35 кг • Срок службы до списания: 30 лет
ВВ/TEL-10 -31, 5/1000 У 2 • Номинальное напряжение: 10 к. В • Номинальный ток: 1000 А • Номинальный ток отключения: 31, 5 к. А • динамической стойкости, (наибольший пик): 80 к. А • Ресурс по коммутационной стойкости: а) при номинальном токе, циклов «ВО» 30 000 б) при номинальном токе отключения, операций «О» в) при номинальном токе отключения, циклов «ВО» • Собственное время отключения: 45 мс • Полное время отключения: 55 мс • Собственное время включения: 90 мс • Масса коммутационного модуля: 50 кг • Срок службы до списания: 30 лет 50 25
ВВ/TEL-10 -20/1600 У 2 • Номинальное напряжение: 10 к. В • Номинальный ток: 1600 А • Номинальный ток отключения: 20 к. А • динамической стойкости, (наибольший пик): 51 к. А • Ресурс по коммутационной стойкости: а) при номинальном токе, циклов «ВО» 30 000 б) при номинальном токе отключения, операций «О» в) при номинальном токе отключения, циклов «ВО» • Собственное время отключения: 45 мс • Полное время отключения: 55 мс • Собственное время включения: 90 мс • Масса коммутационного модуля: 50 кг • Срок службы до списания: 30 лет 50 25
ВВ/TEL-10 -31, 5/1600 У 2 • Номинальное напряжение: 10 к. В • Номинальный ток: 1600 А • Номинальный ток отключения: 31, 5 к. А • динамической стойкости, (наибольший пик): 80 к. А • Ресурс по коммутационной стойкости: а) при номинальном токе, циклов «ВО» 30 000 б) при номинальном токе отключения, операций «О» в) при номинальном токе отключения, циклов «ВО» • Собственное время отключения: 45 мс • Полное время отключения: 55 мс • Собственное время включения: 90 мс • Масса коммутационного модуля: 50 кг • Срок службы до списания: 30 лет 50 25
ВВ/TEL-10 -31, 5/2000 У 2 • Номинальное напряжение: 10 к. В • Номинальный ток: 2000 А • Номинальный ток отключения: 31, 5 к. А • динамической стойкости, (наибольший пик): 80 к. А • Ресурс по коммутационной стойкости: а) при номинальном токе, циклов «ВО» 30 000 б) при номинальном токе отключения, операций «О» в) при номинальном токе отключения, циклов «ВО» • Собственное время отключения: 45 мс • Полное время отключения: 55 мс • Собственное время включения: 90 мс • Масса коммутационного модуля: 50 кг • Срок службы до списания: 30 лет 50 25
19. Выбор выключателей на напряжение 6, 3 (10, 5) к. В в цепях собственных нужд РТСН
1. Выбор вводного выключателя (ВВ) 1) По напряжению: Uн ≥ Uэу 2) По рабочему току: Iн ≥ Iр. утж, где • Iр. утж = • Uср = 6, 3 к. В для расщепленного ТСН для нерасщепленного ТСН 115
3) По отключающей способности • Iоткл. н ≥ Iпt; βн ≥ β или (если проверка выше неуспешна): • Iоткл. н (1 + βн/100) ≥ Iпt + iat где t = tрз. min + tсв – начало размыкания контактов; Iпt = Iп 0 с (периодический ток от системы не затухает); iаt = iаtс (апериодический ток от системы затухает) 116
4) По включающей способности • Iвкл. н ≥ Iп 0 • iвкл. н ≥ iуд где • Iп 0 = Iп 0 с • iуд = iудс 117
5) По электродинамической стойкости • Iдин ≥ Iп 0 • iдин ≥ iуд где • Iп 0 = Iп 0 с • iуд = iудс 118
6) По термической стойкости • I 2 тtт ≥ Bтерм где тепловой импульс рассчитывается для времени: • t = tрз. max + tов – время до полного гашения дуги. 119
2. Выбор выключателя присоединения (ВП) 1) По напряжению: Uн ≥ Uэу 2) По рабочему току: Iн ≥ Iр. утж, где • Iр. утж = • Uдв. н = 6 к. В 120
3) По отключающей способности • Iоткл. н ≥ Iпt; βн ≥ β или (если проверка выше неуспешна): • Iоткл. н (1 + βн/100) ≥ Iпt + iat где t = tрз. min + tсв – начало размыкания контактов; Iпt = Iп 0 с + Iпtд ( периодический ток от системы не затухает); iаt = iаtс + iаtд 121
4) По включающей способности • Iвкл. н ≥ Iп 0 • iвкл. н ≥ iуд где • Iп 0 = Iп 0 с + Iп 0 д • iуд = iудс + iудд 122
5) По электродинамической стойкости • Iдин ≥ Iп 0 • iдин ≥ iуд где • Iп 0 = Iп 0 с + Iп 0 д • iуд = iудс + iудд 123
6) По термической стойкости • I 2 тtт ≥ Bтерм где тепловой импульс рассчитывается для времени: • t = tрз. max + tов – время до полного гашения дуги. 124
3) Выбор выключателей между РТСН и секцией СН (ВР, ВМРП) РТСН 125
20. Выбор генераторного токопровода и ответвления к рабочему ТСН Для соединения турбогенераторов с повышающими трансформаторами используются комплектные пофазноэкранированные токопроводы. Токоведущие шины каждой фазы закреплены в алюминиевом кожухе (экране) с помощью изоляторов. Закрытое исполнение токопроводов каждой фазы обеспечивает высокую надежность, т. к. практически исключаются междуфазные КЗ. При КЗ в любой точке генераторного токопровода по нему протекают раздельно токи КЗ от генератора и системы. Поэтому генераторный токопровод выбирается по максимальному из этих токов – как правило, по току КЗ от системы.
127
Токопровод серии ТЭКНЕ(П): токопровод экранированный пофазно, комплектный с непрерывными оболочками, Е – естественное, П - принудительное охлаждение 128
Выбор генераторного токопровода Критерий выбора Условие проверки По условиям нормального режима Uн ≥ Uгн Iн ≥ Iр. утж По электродинамической стойкости iдин ≥ iудс129
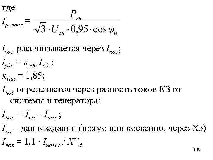
где Iр. утж = iудс рассчитывается через Iпос; iудс = кудс Iп 0 с; кудс = 1, 85; Iпос определяется через разность токов КЗ от системы и генератора: Iпос = Iпо – Iпог ; Iпо – дан в задании (прямо или косвенно, через Хэ) Iпог = 1, 1 ∙ Iном. г / X”d 130
Выбор отпайки от генераторного токопровода к ТСН Завод-изготовитель координирует параметры отпайки к ТСН с параметрами генераторного токопровода. Отпайка к ТСН рассчитана: • на меньший рабочий ток; • на больший ток КЗ При этом параметры отпайки в справочнике не задаются. Считается, что после выбора основного генераторного токопровода автоматически выполняются условия выбора отпайки. 131
Отличия по условиям выбора: 1) Iр. утж = 2) Вместо iудс используется полный ток iуд; iуд рассчитывается через сумму ударных токов: iуд = iудс + iудг; iудг = кудг Iп 0 г; кудг = 1, 95 Эта проверка выполняется формально, т. к. в 132 справочнике нет параметров данного участка.
21. Выбор токопровода от рабочего ТСН на напряжении 6, 3 (10, 5) к. В • Данный токопровод выполняется пофазно экранированными или в общем экране, внутри которого могут присутствовать междуфазные перегородки. ТЗК(Р) – токопровод закрытый в круглой оболочке, Р – наличие разделительных междуфазных перегородок. • Кожух (экран) выполняется из стали или алюминия. • Токоведущие шины имеют двутавровое или прямоугольное сечение и располагаются друг относительно друга по треугольнику либо по горизонтали. 133
Токопроводы ТЗК и ТЗКР 134
Выбор токопровода от рабочего ТСН на напряжение 6, 3 (10, 5) к. В Критерий выбора Условие проверки По условиям нормального режима Uн ≥ Uср Iн ≥ Iр. утж По электродинамической стойкости iдин ≥ iудс где Iр. утж = 135 iудс - ударный ток от системы на напряжении 6, 3 к. В
22. Выбор магистрали резервного питания 6, 3 (10, 5) к. В • Резервное электроснабжение секций СН может осуществляться комплектным экранированным токопроводом, методика выбора которого изложена выше. • Магистраль резервного питания имеет достаточно большую длину, что накладывает определенные ограничения на удельное сопротивление токоведущих частей с точки зрения условий пуска и самозапуска электродвигателей СН. • Комплектные токопроводы обладают высоким 136 удельным сопротивлением (худ = 0, 16 – 0, 23 Ом/км).
• Уменьшить сопротивление МРП можно за счет выполнения их наиболее протяженных участков между энергоблоками кабельными линиями, удельное индуктивное сопротивление которых в десятки раз меньше, чем у экранированных токопроводов на тот же ток. • Например, при использовании РТСН мощностью 63 МВА удельное индуктивное сопротивление пучка из 13 параллельных алюминиевых кабелей сечением по 240 мм 2 с длительно допустимым током Iдд = 13∙ 340 = 4420 А составляет Худ = 0, 129/13 = 0, 01 Ом/км. • В случае применения в качестве МРП кабельных пучков необходимо проверять условия термической стойкости и невозгораемости кабелей. 137
Резервирование СН АЭС с использованием четырех секционированных МРП-6 к. В и одного ввода резервного питания на каждую из секций СН нормальной эксплуатации от одной из четырех МРП-6 к. В 138
Резервирование СН АЭС с использованием четырех секционированных МРП-6 к. В и одного ввода резервного питания на каждую из секций СН нормальной эксплуатации от одной из четырех МРП-6 к. В (наиболее протяженные линии МРП выполнены кабельными пучками) 139
Резервирование СН АЭС с использованием восьми несекционированных МРП и двух вводов резервного питания на каждую из секций СН нормальной эксплуатации от двух из восьми МРП 140
Резервирование СН АЭС с использованием восьми несекционированных МРП и двух вводов резервного питания на каждую из секций нормальной эксплуатации от двух из восьми МРП (использование кабельных пучков на наиболее протяженных участках МРП) 141
Резервирование СН АЭС с прокладкой четырех несекционированных МРП-6 к. В с двумя вводами на каждую секцию СН нормальной эксплуатации от двух из четырех МРП 142
Резервирование СН АЭС кабельными пучками между блоками и перемычками между секциями СН в пределах одного энергоблока экранированными токопроводами 143
Построение МРП в случае трёх блоков
23. Определение температуры нагрева жил кабелей СН током короткого замыкания Постановка задачи Исходные данные: - тепловые импульсы; - сечение кабеля; - материал жил кабелей; - материал изоляции кабеля; - температура окружающей среды Рассчитать конечную температуру нагрева кабеля за время существования КЗ. Сделать вывод о допустимости данной температуры с точки зрения ТС и НВ.
Решение Составим уравнение теплового баланса: Джоулево тепло = Тепло на нагрев 146
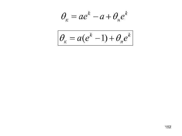
Учтем то факт, что удельное активное сопротивление увеличивается при нагреве: Для удобства примем θ 0 = 0 Получили дифференциальное уравнение с 147 разделяющимися переменными.
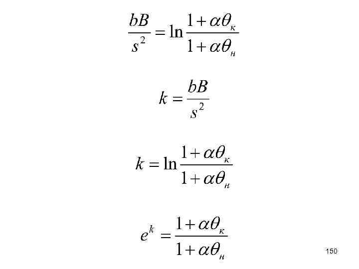
Разделим переменные t и θ: 148
По определению интеграл слева представляет собой тепловой импульс 149
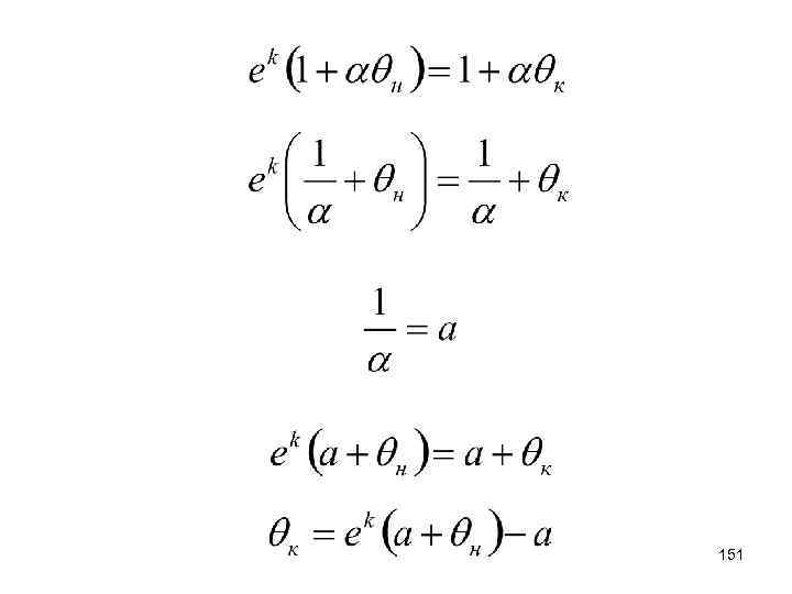
150
151
152
Расчет конечной температуры нагрева жил кабеля пропитанная бумажная изоляция: θдд = 80 С пластмассовая изоляция: θдд = 70 С изоляция из вулканизированного п/э: θдд = 90 С b = 19, 58 для меди b = 45, 65 для алюминия В = I 2 пос(tоткл + 0, 02) + (0, 3 Iпос·Iпо АД + 0, 1 I 2 по АД)·tоткл
Номограмма для определения температуры кабеля при КЗ
24. Проверка кабельных линий СН на термическую стойкость и невозгораемость при КЗ 155
Аббревиатуры кабелей с бумажной изоляцией 1 2 3 Ц А С А Изоляция Жила Оболочка Пропитана вязким составом Пропитана нестекающим составом Медь Алюминий Свинец Алюминий Б Подушка, броня из стальных лент, наружный покров н Подушка, броня из стальных лент, негорючий наружный покров л(2 л) В подушке имеются полиэтиленовые ленты, упрочняющие подушку и защищающие от коррозии свинцовую оболочку в(п) В подушке имеется шланг из ПВХ (ПЭ) Шв(Шп) 4 У Защитный покров Наружный шланг из ПВХ (ПЭ) Усиленное исполнение К Броня из круглых оцинкованных стальных проволок, поверх которых наложен антикоррозионный покров О Отдельные металлические оболочки поверх каждой фазы П Броня из оцинкованных плоских проволок, поверх которых наложен антикоррозионный покров Г Без наружного покрова
Аббревиатуры кабелей с пластмассовой изоляцией 1 2 3 4 А К В П Пс Пв По О В ВГз П Б Бб Жила Назначение Изоляция Наружная оболочка Шв(У) 5 Шп Г Э Экран Медь Алюминий Силовой Контрольный ПВХ пластикат Полимерная композиция (или полиэтилен) Самозатухающий полиэтилен Вулканизированный полиэтилен Облученный полиэтилен Отдельная экранированная оболочка у каждой фазы Оболочка из ПВХ пластиката Заполнение – ПВХ пластикат или резина Полимерная композиция Броня из двух стальных лент Броня из стальных оцинкованных лент Защитный шланг из ПВХ пластиката (У – усиленное исполнение) Защитный шланг из полиэтилена Без наружного покрова Общий экран – алюминиевая или медная фольга
Кабели нового поколения с улучшенными показателями пожарной безопасности Наименование показателя Обозначение в марках кабелей 1. Нераспространение горения “нг” 2. Дымо- и газовыделение при горении и тлении “нг-LS” (low-smoke) 3. Коррозионная активность галогенсодержащих продуктов дымо- и газовыделения “нг-HF” (halogen free) 4. Огнестойкость “нг-FR” (fire resistance)
Области применения пожаробезопасных кабелей (утверждены в НТД) нг-LS 1. АЭС: системы нормальной эксплуатации, системы безопасности, расположенные вне гермозоны 2. Метрополитены 3. Жилые и общественные здания нг-HF нг-FR-HF АЭС: системы внутри гермозоны АЭС: системы безопасности
Области применения пожаробезопасных кабелей (рекомендованы, но не утверждены в НТД) нг-HF 1. Общественные, культурные и спортивные сооружения 2. Детские сады, школы нг-FR-HF 1. Пожарная сигнализация 2. Пожарные насосы 3. Аварийное освещение 4. Установки дымоудаления 5. Внутренняя радиосеть 6. Пассажирские и пожарные лифты 7. Вентиляторы запасных выходов 8. Электроустановки в больницах, операционных.
Расчет нагрева кабелей Ø Назначение расчета нагрева кабелей Ø Уравнение теплового баланса. Ø Понятие теплового импульса. Ø Способы расчета температуры нагрева жил кабелей при КЗ.
Каковы допустимые температуры по условиям ТС и НВ? 1983 -1987 гг. , ВНИИКП и НИЦ ВВА - стендовые испытания кабелей с алюминиевыми жилами, с пропитанной бумажной изоляцией в алюминиевой оболочке на напряжение 6 к. В сечением 95 мм 2. Вывод: ТС нарушается при 200 -300°С НВ нарушается при 310 -400°С
Допустимые температуры нагрева кабелей при КЗ по условиям ТС и НВ Тип кабеля ТС (допустима эксплуатация в течение 1 года) ТС (эксплуатация недопустима, требуется замена) НВ Бронированный с пропитанной бумажной изоляцией 200 300 400 Небронированный с пропитанной бумажной изоляцией 200 350 С пластмассовой, ПВХ и резиновой изоляцией 160 250 350 С изоляцией из вулканизированного полиэтилена 250 300 400
Критерии выбора кабелей • • • Номинальное напряжение Экономическая плотность тока (S ≥ I / jэк) Длительно допустимый ток (I ≤ Iдд) Термическая стойкость Невозгораемость
Проверке по экономической плотности тока не подлежат: 1) кабели промышленных предприятий при Тmax < 5000 ч; 2) ответвления к отдельным эл. приёмникам до 1 к. В; 3) осветительные сети промышленных предприятий, жилых и общественных зданий; 4) кабели временных сооружений со сроком службы 3 -5 лет.
Экономическая плотность тока, jэк, А/мм 2 Кабели Медь Алюминий с бумажной изоляцией 2 1, 2 с резиновой и пластмассовой изоляцией 2, 7 1, 6 S ≥ I / jэк
S, мм 2 10 Длительно допустимые токи 16 для 3 -жильных 25 медных/алюминиевых кабелей 35 с бумажной пропитанной 50 изоляцией, прокладываемых в 70 воздухе. 95 120 (Iдд для 4 -жильных кабелей 150 определяются умножением на 0, 93) 185 240 Циркуляр №Ц-02 -98(Э) Iдд, А 68/48 86/64 114/83 140/102 175/128 213/156 259/187 299/217 343/249 386/291 448/340 167
Методика проверки кабелей на ТС и НВ Циркуляр №Ц-02 -98(Э) (РАО “ЕЭС России”, СПО ОРГРЭС, 1998) «О проверке кабелей на невозгорание при воздействии тока короткого замыкания» 1. Выбор расчетной точки, вида и продолжительности КЗ 2. Расчет теплового импульса 3. Расчет конечной температуры нагрева жил кабеля и сравнение с допустимой температурой по условиям ТС и НВ 4. Сравнение с допустимой температурой
Особенности проверки кабелей на ТС 1. Сценарий аварии: Ø произошло КЗ в начале кабеля присоединения, Ø сработала основная защита присоединения, Ø отключился выключатель присоединения 2. Продолжительность КЗ: t = tрз. осн + tов = (0, 04… 0, 13) с 3. Θдоп = 200… 300°С
Особенности проверки кабелей на НВ 1. Сценарий аварии: Ø произошло КЗ в начале (или за отрезком 20 -50 метров) кабеля присоединения, Ø либо не сработала основная защита присоединения, либо не отключился выключатель присоединения Ø отключился выключатель ввода на секцию от ТСН 2. Продолжительность КЗ: t = tрз. рез + tов = (0, 4… 0, 6) с 3. Θдоп = 310… 400°С


