10 лекция Тема: Симметричный режим трехфазных цепей








































































лекц.12 симметр. 3 ф цепь (звезда, треуг.).ppt
- Количество слайдов: 72
10 лекция Тема: Симметричный режим трехфазных цепей 1
Трехфазны е цепи 2
Трехфазные цепи образуются тремя электрически связанными фазами (цепями) А, В, С, находящимися под переменными напряжениями одинакового периода Т, которые сдвинуты по фазе относительно друга на определенный угол (120 градусов) 3
К этим фазам подключаются статические и динамические нагрузки, соединенные как правило звездой или треугольником 4
5
Статические нагрузки - это обмотки трансформаторов, лампы, нагреватели, конденсаторы и др. Динамические нагрузки - это обмотки электрических двигателей 6
Трехфазные цепи являются наиболее экономичными и совершенными по сравнению с другими многофазными цепями и используются для электроснабжения большинства мощных потребителей электрической энергии 7
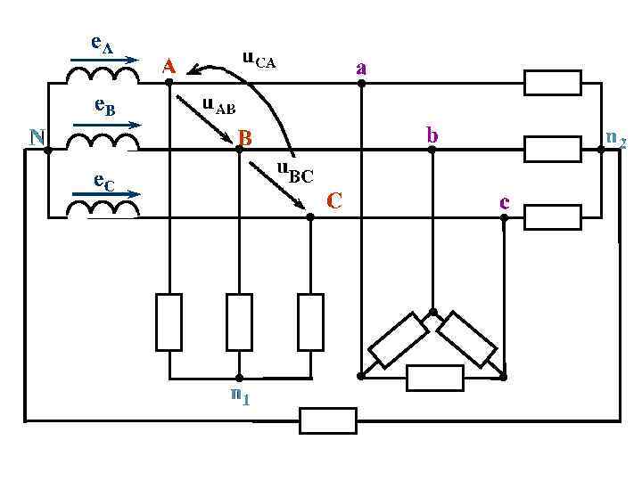
Генерирование и распределение электрической энергии осуществляется посредством трехфазных цепей, которые запитываются от обмоток генераторов и трансформаторов, характеризуемых фазными ЭДС e. A(t), e. B(t), e. C(t) 8
Соединения обмоток генераторов и трансформаторов 9
а) звездой: 10
б) треугольником: 11
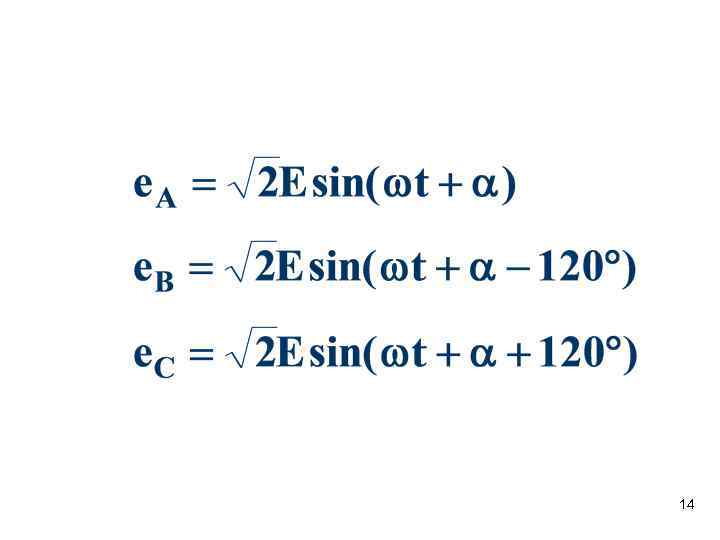
Симметричная система фазных ЭДС 12
В нормальном режиме фазные ЭДС генераторов и трансформаторов образуют симметричную систему, т. е. имеют одинаковую гармоническую форму, одинаковые частоту и амплитуду и сдвинуты по фазе относительно друга на 120 градусов 13
14
Волновая диаграмма при 15
16
Векторная диаграмма при 17
18
Линейные напряжения : 19
где - комплексы действующих значений 20
где - действующее значение 21
Фазовый оператор 22
Тогда 23
Таким образом 24
В результате 25
В результате 26
Фазные напряжения 27
Фазные напряжения- это напряжения между фазами и нулевым проводом или нейтралью 28
29
где 30
Линейные напряжения 31
Линейные напряжения- это напряжения между фазами, причем эти напряжения могут быть найдены по известным фазным напряжениям 32
33
где 34
Симметричный режим трехфазной цепи 35
Симметричный режим характеризуется симметричной системой фазных ЭДС и напряжений, а также одинаковой нагрузкой фаз Трехфазная цепь с одинаковой нагрузкой фаз называется симметричной 36
Симметричный режим является нормальным режимом трехфазных цепей и рассчитывается известными методами в комплексной форме 37
1. Соединение звезда- звезда с нулевым проводом 38
при 39
40
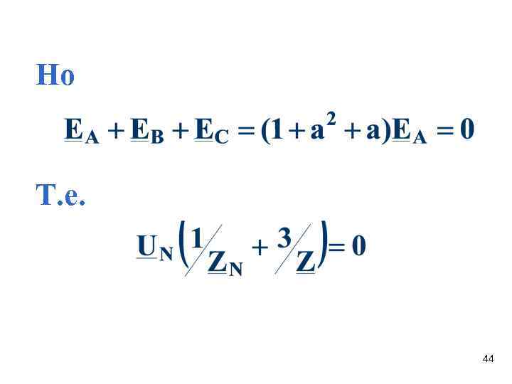
где - линейные токи, равные фазным токам; - фазные напряжения; и - ток и напряжение нулевого провода 41
По 2 -му закону Кирхгофа и закону Ома: 42
Тогда по 1 -му закону Кирхгофа: 43
Но Т. е. 44
Таким образом 45
Таким образом 46
Таким образом 47
Комплекс полной вырабатываемой мощности 48
а) активная мощность 49
б) реактивная мощность 50
Векторная диаграмма 51
52
В симметричном режиме ток нулевого провода IN и напряжение смещения нейтралей UN равны нулю, поэтому цепь без нулевого провода рассчитывается аналогично, причем такой расчет можно вести на одну фазу (А) 53
2. Соединение нагрузки треугольником при 54
55
где - линейные токи; - фазные токи; - линейные напряжения, равные фазным напряжениям 56
По закону Ома: 57
По 1 закону Кирхгофа 58
где 59
а) активная потребляемая мощность 60
б) реактивная потребляемая мощность 61
Векторная диаграмма при и 62
63
В симметричном режиме при соединении нагрузки треугольником расчет можно было бы вести на одну фазу (А) 64
3. Трехфазная цепь в симметричном режиме 65
66
В симметричном режиме расчет сложной трехфазной цепи после преобразования треугольника в звезду ведется на одну фазу (А) любым известным методом в комплексной форме, затем при помощи фазового оператора а находятся токи и напряжения других фаз 67
Расчет на одну фазу (А): 68
Векторная диаграмма 69
70
Сложную трехфазную цепь в симметричном режиме можно преобразовать до эквивалентной звезды: Z=Z 1+(Z 2/3)Z 3/(Z 3+Z 2/3) 71
72

