09adcaced4478b4d7caf573564084ec3.ppt
- Количество слайдов: 92
1 Witam Państwa na wykładzie z Makroekonomii II, : )…
2 TEORIA PARYTETU SIŁY NABYWCZEJ
3 1. NOMINALNY I REALNY KURS WALUTOWY 1. 1. NOMINALNY KURS WALUTOWY NOMINALNY kurs walutowy jest relacją wymienną pieniądza jednego kraju na pieniądz innego kraju. Nominalny kurs walutowy będziemy oznaczać symbolem, εn.
4 Zwykle kurs NOMINALNY zapisuje się w sposób BEZPOŚREDNI (British terms) jako liczbę jednostek waluty zagranicznej płaconych za jednostkę waluty krajowej (np. 0, 25 USD/PLN). (Dalej stosuję właśnie taki sposób zapisu). Jednak niekiedy (np. w Polsce) stosowany jest POŚREDNI (european terms) sposób zapisu tego kursu. Informuje on wtedy o liczbie jednostek waluty krajowej płaconych za jednostkę waluty zagranicznej (np. 4, 00 PLN/USD).
5 NOMINALNY kurs walutowy ulega DEPRECJACJI (DEWALUACJI), kiedy siły rynkowe powodują jego spadek (państwo administracyjnie obniża jego poziom). W efekcie za jednostkę waluty krajowej chętni płacą mniej jednostek waluty obcej (np. 0, 2 USD/PLN), zamiast 0, 25 USD/PLN).
6 NOMINALNY kurs walutowy ulega APRECJACJI (REWALUACJI), kiedy siły rynkowe powodują jego wzrost (państwo administracyjnie podnosi jego poziom). W efekcie za jednostkę waluty krajowej chętni płacą więcej jednostek waluty obcej (np. 0, 3 USD/ PLN), zamiast 0, 25 USD/PLN).
7 1. 2. REALNY KURS WALUTOWY NOMINALNY kurs walutowy jest relacją wymienną pieniądza jednego kraju na pieniądz innego kraju. Natomiast REALNY kurs walutowy jest relacją wymienną innych niż pieniądz towarów z różnych krajów. Realny kurs walutowy jest relacją wymienną innych niż pieniądz towarów z różnych krajów. A oto formalny związek realnego, εr, i nominalnego, εn, kursu walutowego: εr = εn∙ Pk/Pz, gdzie Pz i Pk to – odpowiednio - cena tej samej porcji dóbr za granicą i w kraju.
8 Powiedzmy np. , że: εn=0, 3 [dol. /zł], Pk = 100 zł, Pz = 15 dol. W takiej sytuacji realny kurs tej porcji dóbr, której dotyczą ceny Pk i Pz, wynosi: εr=(εn∙Pk)/Pz=(0, 3[dol. /zł]∙ 100 zł)/15 dol. =30 dol. /15 dol. =2.
9 εr=(εn∙Pk)/Pz=(0, 3[dol. /zł]∙ 100 zł)/15 dol. =30 dol. /15 dol. =2[porcje amerykańskie za porcję polską]. CO TO ZNACZY? Otóż w naszym przykładzie cena wybranego do porównań koszyka dóbr jest w Polsce 2 razy wyższa niż w USA.
10 εr=(εn∙Pk)/Pz=(0, 3[dol. /zł]∙ 100 zł)/15 dol. =30 dol. /15 dol. =2[porcje amerykańskie za porcję polską]. CO TO ZNACZY? Otóż w naszym przykładzie cena wybranego do porównań koszyka dóbr jest w Polsce 2 razy wyższa niż w USA. Za te same pieniądze, które wydalibyśmy na koszyk polski, w Stanach możemy kupić 2 takie same koszyki dóbr.
11 εr=(εn∙Pk)/Pz=(0, 3[dol. /zł]∙ 100 zł)/15 dol. =30 dol. /15 dol. =2[porcje amerykańskie za porcję polską]. CO TO ZNACZY? Otóż w naszym przykładzie cena wybranego do porównań koszyka dóbr jest w Polsce 2 razy wyższa niż w USA. Za te same pieniądze, które wydalibyśmy na koszyk polski, w Stanach możemy kupić 2 takie same koszyki dóbr. Towary polskie nie są zatem konkurencyjne cenowo w porównaniu z towarami amerykańskimi.
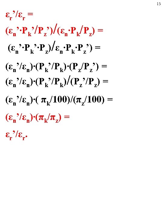
12 ε ’/ε A teraz pomyślmy o relacji r r, czyli o zmianie realnego kursu wymiany w pewnym okresie. Otóż: εr’/εr = (εn’/εn)∙(πk/πz), gdzie εn, εr i εn’, εr’ to kursy – odpowiednio - na początku i końcu okresu, a πk i πz to indeksy zmiany krajowej i zagranicznej ceny przeciętnego koszyka dóbr.
13 εr’/εr = (εn’∙Pk’/Pz’)/(εn∙Pk/Pz) = (εn’∙Pk’∙Pz)/εn∙Pk∙Pz’) = (εn’/εn)∙(Pk’/Pk)∙(Pz/Pz’) = (εn’/εn)∙(Pk’/Pk)/(Pz’/Pz) = (εn’/εn)∙( πk/100)/(πz/100) = (εn’/εn)∙(πk/πz) = εr’/εr.
14 εr’/εr = (εn’/εn)∙(πk/πz), Znając zmianę kursu nominalnego i indeksy cen, możemy ustalić zmianę kursu realnego w pewnym okresie.
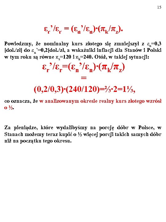
15 εr’/εr = (εn’/εn)∙(πk/πz). Powiedzmy, że nominalny kurs złotego się zmniejszył z εn=0, 3 [dol. /zł] do εn’=0, 2[dol. /zł, a wskaźniki inflacji dla Stanów i Polski w tym roku są równe πz=120 i πk=240. Otóż, w takiej sytuacji: εr’/εr=(εn’/εn)∙(πk/πz) = (0, 2/0, 3)∙(240/120)=⅔∙ 2=1⅓, co oznacza, że w analizowanym okresie realny kurs złotego wzrósł o ⅓. Za pieniądze, które wydalibyśmy na porcję dóbr w Polsce, w Stanach możemy teraz kupić o ⅓ więcej porcji takich samych dóbr niż na początku tego okresu.
16 εr’/εr=(εn’/εn)∙(πk/πz)=(0, 2/0, 3)∙(240/120)=⅔∙ 2=1⅓. W takiej sytuacji mówimy, że trwa REALNA APRECJACJA waluty krajowej. Przecież międzynarodowa siła nabywcza odnośnej kwoty pieniądza krajowego się powiększa. Realna aprecjacja powoduje, że pogarsza się cenowa konkurencyjność krajowych towarów na rynkach zagranicznych. (Wszak kupując porcję dóbr w kraju, nabywca traci coraz więcej dóbr zagranicznych).
17 εr’/εr = (εn’/εn)∙(πk/πz). A oto inna sytuacja. Powiedzmy, że nominalny kurs złotego wzrósł z εn=0, 3 [dol. /zł] do εn’=0, 4[dol. /zł, a wskaźniki inflacji dla Stanów i Polski w tym roku są równe πz=240 i πk=120. Otóż, w takiej sytuacji: εr’/εr=(εn’/εn)∙(πk/πz)=(0, 4/0, 3)∙(120/240) = 4∙⅓∙½=⅔, co oznacza, że w analizowanym okresie kurs realny złotego obniżył się o ⅓. Za pieniądze, które wydalibyśmy na porcję dóbr w Polsce, w Stanach możemy teraz kupić o ⅓ mniej porcji takich samych dóbr niż na początku tego okresu.
18 εr’/εr=(εn’/εn)∙(πk/πz)=(0, 4/0, 3)∙(120/240) = 4∙⅓∙½=⅔. W takiej sytuacji mówimy, że doszło do REALNEJ DEPRECJACJI złotego. Oznacza to, że nastąpił wzrost międzynarodowej cenowej konkurencyjności polskich towarów.
19 2. OD CZEGO W DŁUGIM OKRESIE ZALEŻY REALNY KURS WALUTOWY? Przyjmy się czynnikom, które decydują o zmianach realnego kursu walutowego. . .
20 2. 1. TEORIA PARYTETU SIŁY NABYWCZEJ (ang. Purchasing Power Parity, PPP) TEORIA PARYTETU SIŁY NABYWCZEJ (ang. purchasing power parity, PPP) jest UOGÓLNIENIEM tzw. PRAWA JEDNEJ CENY i dotyczy wybranej arbitralnie porcji (zestawu, koszyka) dóbr. Zgodnie z tą teorią nominalny kurs waluty dąży do poziomu odpowiadającego PARYTETOWI SIŁY NABYWCZEJ. Nominalny kurs dwóch walut odpowiada PARYTETOWI SIŁY NABYWCZEJ, kiedy za daną ilość (np. za jednostkę) jednej waluty można nabyć taki sam koszyk dóbr w kraju i za granicą.
21 Po łacinie PARITAS znaczy RÓWNOŚĆ, więc „PARYTET siły nabywczej” znaczy „RÓWNOŚĆ siły nabywczej”.
22 Zauważmy, że jeśli nominalny kurs walutowy dwóch walut odpowiada parytetowi ich siły nabywczej, kurs realny jest równy εr=1.
23 Zauważmy, że jeśli nominalny kurs walutowy dwóch walut odpowiada parytetowi ich siły nabywczej, kurs realny jest równy εr=1. εr=εn∙Pk/Pz. Jeśli εn∙Pk/Pz=1, to εn∙Pk=Pz, czyli wyrażona w pieniądzu zagranicznym cena wchodzącej w grę porcji dobra w kraju (εn∙Pk) i za granicą, Pz, jest równa.
24 Zauważmy, że jeśli nominalny kurs walutowy dwóch walut odpowiada parytetowi ich siły nabywczej, kurs realny jest równy εr=1. Przecież miarą stosunku siły nabywczej dwóch walut jest właśnie realny kurs walutowy: εr=εn∙Pk/Pz. Jeśli εn∙Pk/Pz=1, to εn∙Pk=Pz, czyli wyrażona w pieniądzu zagranicznym cena wchodzącej w grę porcji dobra w kraju (εn∙Pk) i za granicą, Pz, jest równa. TEORIA PARYTETU SIŁY NABYWCZEJ JEST ZATEM PRÓBĄ WYJAŚNIENIA POZIOMU REALNEGO KURSU WY -MIANY.
25 2. 2. ARBITRAŻ UZASADNIENIEM TEORII PARYTETU SIŁY NABYWCZEJ. Rozpatrzmy trzy przypadki: a) εr>1, czyli εn∙Pk>Pz. Mówimy, że waluta krajowa jest wtedy PRZEWARTOŚCIOWANA (w stosunku do innych walut), wszak jej cena, czyli εn, sprawia, że za daną kwotę pieniądza krajowego można kupić więcej za granicą niż w kraju.
26 a) εr>1, czyli εn∙Pk>Pz. Towary krajowe NIE SĄ konkurencyjne cenowo w porównaniu z towarami zagranicznymi. Przecież porcja dóbr nabywana w kraju kosztuje WIĘCEJ niż taka sama porcja dóbr nabywana za granicą. OPŁACA SIĘ ZATEM KUPOWAĆ TAKIE SAME TOWARY ZA GRANICĄ I SPRZEDAWAĆ JE W KRAJU. W efekcie: Pk i (lub) εn oraz Pz , więc εr 1.
27 Rozpatrzmy trzy przypadki: b) εr<1, czyli εn∙Pk
28 Rozpatrzmy trzy przypadki: b) εr<1, czyli εn∙Pk
29 Rozpatrzmy trzy przypadki: c) εr=1, czyli εn∙Pk=Pz. Kurs walut odpowiada wtedy ich parytetowi siły nabywczej. NIE OPŁACA SIĘ ZATEM KUPOWAĆ DOBRA W JEDNYM KRAJU, ABY SPRZEDAĆ JE W INNYM KRAJU.
30 Podsumujmy: Jeśli początkowo εr<1 lub εr>1 za sprawą ARBITRAŻU TOWAROWEGO w długim okresie εr będzie zmierzał do poziomu 1 (εr 1). A zatem, zgodnie z teorią PPP w długim okresie εr zmierza do poziomu 1. Innymi słowy, W DŁUGIM OKRESIE NOMINALNY KURS WALUTOWY DWÓCH WALUT ODPOWIADA PARYTETOWI ICH SIŁY NABYWCZEJ.
31 JEDNAK REALNY KURS WYMIANY ZWYKLE ODCHYLA SIĘ OD 1! Jak regularnie donosi The Economist nominalny kurs wymiany w wielu krajach okazuje się silnie przewartościowany lub niedowartościowany (w porównaniu z ich kursem odpowiadającym parytetowi siły nabywczej dotyczącej kanapki Big. Mac)…
32 Kurs y Kolumna 5 tabeli pokazuje odchylenia oficjalnego kursu walut krajowych do dolara od „bigmacowego” kursu PPP. Dla Polski chodzi o – 35, 4%. [Oficjalny kurs złotego (3, 30 zł/dol. ) musiałby spaść o 35, 4%, by zrównać się z „bigmacowym” kursem PPP (2, 13 zł/dol. )]. Złoty jest zatem NIEDOWARTOŚCIOWANY do dolara.
33 3. 3. ABSOLUTNA I WZGLĘDNA WERSJA TEORII PPP Teoria PPP ma dwie wersje: ABSOLUTNĄ (mocniejszą) oraz WZGLĘDNĄ (słabszą). WERSJA ABSOLUTNA TEORII PPP Realny kurs walutowy, εr, jest zbliżony do 1. Ta wersja teorii PPP NIE ZNAJDUJE potwierdzenia w faktach.
34 WERSJA WZGLĘDNA TEORII PPP εr≠ 1, lecz siła działania czynników, które powodują odchylenia re -alnego kursu wymiany od 1 (np. koszty transportu, różnice składu koszyka dóbr reprezentantów w różnych krajach używanego do wyliczenia tempa inflacji) jest względnie stała. Innymi słowy, zgodnie z względną wersją teorii PPP εr≠ 1, lecz w długim okresie poziom εr WAHA SIĘ WOKÓŁ PEW -NEJ ŚREDNIEJ WIELOLETNIEJ.
35 W długim okresie względna wersja teorii PPP jest dobrze potwierdzona obserwacyjnie. A. ----- A Zob. D. Miles, A. Scott, Macroeconomics, John Wiley&Sons Ltd. , 2005.
36 W długim okresie względna wersja teorii PPP jest dobrze potwierdzona obserwacyjnie. A. Na rysunku widzimy, że „długi okres”, o którym jest mowa, może trwać dziesięciolecia. Oczywiście, czyni to teorię PPP bezużyteczną jako wskazówkę umożliwiającą zyskowne inwestycje na rynku walutowym. . . --- A Zob. D. Miles, A. Scott, Macroeconomics, John Wiley&Sons Ltd. , 2005.
37 Zauważmy jeszcze, że zgodnie z teorią PPP (niezależnie od jej wersji) STOPĘ ZMIANY NOMINALNEGO KURSU WALUTY WYZNA -CZA – CETERIS PARIBUS – RÓŻNICA STÓP INFLACJI ZA GRANICĄ I W KRAJU.
38 Wszak: εr’/εr=(εn’/εn)∙(πk/πz)*, więc przy stałym kursie realnym, εr’/εr=1: (εn’/εn)∙(πk/πz)=1. Wynika stąd, że: εn’/εn = πz/πk, więc ZMIANY εn’/εn SĄ TAKIE SAME JAK ZMIANY πz/πk.
ZMIANY εN’/εN SĄ TAKIE SAME JAK ZMIANY πZ/πK. . . 39 Powiedzmy, że inflacja w Stanach wynosi 3%, a w Kanadzie 1% i że patrzymy z perspektywy Stanów (USA to „kraj”, a Kanada – „zagranica”). W takiej sytuacji - ceteris paribus - dolar amerykański będzie ulegał deprecjacji względem dolara kanadyjskiego w tempie OKOŁO 2% na rok. εn’/εn=101/103 0, 98. Podobnie jak względna wersja teorii PPP wniosek ten jest dobrze potwierdzony empirycznie TYLKO W PRZYPADKU DŁUGIEGO OKRESU.
40 4. MIĘDZYNARODOWE PORÓWNANIA POZIOMU ŻYCIA Nominalny kurs walutowy PPP jest wykorzystywany do PORÓWNAŃ POZIOMU ŻYCIA W RÓŻNYCH KRAJACH.
41 Powiedzmy, że dochód per capita w kraju A (np. 1000 gdybów) przeliczymy na walutę kraju B po kursie PPP (np. 1, 25 jl/gb). Mimo różnicy cen w obu krajach za uzyskane 1250 jeśli w kraju B można kupić taki sam koszyk dóbr jak ten, który za 1000 gb można kupić w kraju A.
42 Powiedzmy, że dochód per capita w kraju A (np. 1000 gdybów) przeliczymy na walutę kraju B po kursie PPP (np. 1, 25 jl/gb). Mimo różnicy cen w obu krajach za uzyskane 1250 jeśli można wówczas w kraju B kupić taki sam koszyk dóbr jak ten, który za 1000 gb można było kupić w kraju A. Okaże się wtedy, czy dochód per capita w kraju B (np. 1251 jl!) jest większy, czy mniejszy niż dochód per capita w kraju A, czyli czy wystarcza on na kupno większego, czy mniejszego koszyka dóbr. A ------A Po przeliczeniu dochodu per capita w kraju A na walutę kraju B wyrażona w pieniądzu kraju B jednostka dochodu per capita obywatela kraju A ma taką samą siłę nabywczą jak jednostka dochodu per capita obywatela kraju B. Przecież, przy obowiązującym kursie nominalnym, εn, można za nią kupić taką samą porcję dóbr. Oznacza to, że dochody per capita w obu krajach zmierzyliśmy taką samą jednostką miary.
43 Zauważ JEDNAK, że skoro – dla kursu PPP – εn∙Pk/Pz=1, to εn=Pz/Pk. Dla różnych dóbr ich ceny: zagraniczna, Pz, i krajowa, Pk, pozostają do siebie w różnej proporcji. Iloraz Pz/Pk zmienia się, zależnie od składu koszyka dóbr, którego dotyczą ceny Pz i Pk. Poziom kursu PPP, εn=Pz/Pk, zależy od tego, jaką porcję dóbr wykorzystano dla jego ustalenia! ISTNIEJE NIE JEDEN, LECZ WIELE KURSÓW PPP!
44 Oczywiście PORÓWNANIA POZIOMU ŻYCIA ZA POMOCĄ KURSU PPP DAJĄ RÓŻNE WYNIKI, ZALEŻNIE OD TEGO, JAKI KURS PPP ZOSTAŁ W ICH TRAKCIE ZASTOSOWANY. Dla krajów o podobnej strukturze konsumpcji (np. Polska i Czechy? ) ten problem nie ma dużego znaczenia. Kurs PPP należy ustalić w oparciu o wspólny, TYPOWY dla nich koszyk konsumowanych dóbr. Jednakże dla krajów o różnej strukturze konsumpcji (np. Polska i Malezja? ) koszyk taki NIE ISTNIEJE i wynik porównań poziomu życia może zależeć od ARBITRALNEGO wyboru koszyka dóbr, w oparciu o który ustala się poziom kursu PPP. . .
45 5. DLACZEGO FAKTY SŁABO POTWIERDZAJĄ ABSOLUTNĄ WERSJĘ TEORII PPP? Obserwacja nie potwierdza absolutnej wersji teorii PPP. PO PIERWSZE, powodem jest to, że czynniki przybliżające εn do 1 działają z niewielką siłą. PO DRUGIE, istnieją nieuwzględniane przez nas do tej pory czynniki, które sprawiają, że εn różni się od 1.
46 5. 1. CZYNNIKI PRZYBLIŻAJĄCE NIEWIELKĄ SIŁĄ. εn DO 1 DZIAŁAJĄ Z W praktyce arbitraż towarowy natrafia na przeszkody:
47 a) Wieloma towarami nie handluje się na rynkach międzynarodowych [są to tzw. DOBRA NIEHANDLOWE (ang. non tradeable goods) (np. ziemia, mieszkania, usługi fryzjerskie, kanapki Big. Mac )]. ARBITRAŻ NIE POWODUJE WYRÓWNANIA SIĘ CEN DÓBR NIEHANDLOWYCH.
48 a) Wieloma towarami nie handluje się na rynkach międzynarodowych [są to tzw. DOBRA NIEHANDLOWE (ang. non tradeable goods) (np. ziemia, mieszkania, usługi fryzjerskie, kanapki Big. Mac )]. Arbitraż nie powoduje wyrównania się cen dóbr niehandlowych. b) W dodatku DOBRA HANDLOWE (ang. tradeable goods) w różnych krajach często różnią się*, co hamuje wymianę i utrudnia arbitraż (np. Niemcy są przyzwyczajeni do niemieckiego, a nie do polskiego piwa). -------*Chodzi o rzeczywiste zróżnicowanie dóbr lub o ich zróżnicowanie pozorne, w które – wbrew faktom - wierzą nabywcy.
a) Wieloma towarami nie handluje się na rynkach międzynarodowych [są to tzw. DOBRA NIEHANDLOWE (ang. non tradeable goods) (np. ziemia, mieszkania, usługi fryzjerskie, kanapki Big. Mac )]. Arbitraż nie powoduje wyrównania się cen dóbr niehandlowych. b) W dodatku DOBRA HANDLOWE (ang. tradeable goods) w różnych krajach często różnią się*, co hamuje wymianę i utrudnia arbitraż (np. Niemcy są przyzwyczajeni do niemieckiego, a nie do polskiego piwa). c) Także INNE PRZESZKODY HAMUJĄ HANDEL ZAGRANICZNY, utrudniając arbitraż towarowy (np. cła, koszty ubezpieczenia i transportu). -------*Chodzi o rzeczywiste zróżnicowanie dóbr lub o ich zróżnicowanie pozorne, w które – wbrew faktom - wierzą nabywcy.
50 5. 2. WIELE PRZYCZYN SPRAWIA, ŻE εn ODCHYLA SIĘ OD 1. Oto niektóre z nich: a) Efekt Samuelsona-Balassy (efekt S-B). b) Zakłócenia zewnętrznej równowagi gospodarki [np. „choroba holenderska” (ang. dutch deasese)]. c) Przypadkowe fluktuacje nominalnych kursów walut na rynkach walutowych. Przyjrzymy się teraz tym przyczynom.
51 EFEKT SAMUELSONA-BALASSY (EFEKT S-B) sprawia, że (wyrażony w jednej walucie) POZIOM CEN WIELU DÓBR W KRAJACH O WYSOKIEJ PRODUKTYWNOŚCI PRACY (czyli w krajach bogatych) JEST WYŻSZY NIŻ POZIOM CEN TAKICH SAMYCH DÓBR W KRAJACH O NISKIEJ PRODUKTYWNOŚCI PRACY (czyli w krajach ubogich). (CHODZI O DOBRA NIEHANDLOWE). W efekcie, realny kurs walutowy w krajach bogatych (w krajach o dużej produktywności pracy) odnoszący się do przeciętnego, czyli zawierającego zarówno dobra handlowe, jak i niehandlowe, koszyka dóbr jest zwykle wyższy od 1. Innymi słowy kraje bogate są „droższe” niż kraje biedne, a ich waluty są „przewartościowane”. DLACZEGO?
Oto efekt S-B: 52 W krajach bogatych produktywność w gałęziach wytwarzających DOBRA HANDLOWE jest wysoka. (Dlatego są one bogate). W efekcie płace w tych gałęziach w krajach bogatych są wysokie.
53 Powoduje to, ze w krajach bogatych również płace pracowników wytwarzających DOBRA NIEHANDLOWE są wysokie (inaczej przenieśliby się oni do gałęzi wytwarzających dobra handlowe. . . ). Przy względnie niskiej produktywności pracy pracowników, którzy produkują dobra niehandlowe*, jedynym sposobem sfinansowania ich wysokich płac są wysokie ceny dóbr niehandlowych. One mogą być takie, bo dotyczą dóbr niehandlowych (w przypadku takich dóbr arbitraż nie jest możliwy). -----*Wzrost produktywności pracy przy produkcji DÓBR NIEHANDLOWYCH (np. usługi krawieckie) jest zwykle wolniejszy niż wzrost produktywności pracy przy produkcji DÓBR HANDLOWYCH (np. samochody).
54 Efektem jest wyższy przeciętny (dotyczący koszyka dóbr handlowych i niehandowych) poziom cen w bogatych krajach o wysokiej produktywnności pracy. Nawet jeśli – za sprawą arbitrażu towarowego - poziom cen dóbr handlowych w krajach bogatych jest podobny do poziomu cen takich samych dóbr w krajach ubogich, poziom cen dóbr niehandlowych w krajach bogatych przewyższa poziom cen tych dóbr w krajach ubogich. Wyższy przeciętny poziom cen w krajach bogatych oznacza, że WALUTY W KRAJACH BOGATYCH STAJĄ SIĘ TRWALE „PRZEWARTOŚCIOWANE” (εr>1).
55 ZAKŁÓCENIA ZEWNĘTRZNEJ RÓWNOWAGI GOSPODARKI to WAHANIA SALDA BILANSU HANDLOWEGO i (lub) WA-HANIA SALDA RACHUNKU KAPITAŁOWEGO BILANSU PŁATNICZEGO. Skutkiem mogą być zmiany εn, i – przy „lepkich” cenach, P – krótkookresowe wahania εr (przecież: εr=εn∙Pk/Pz).
56 PRZYKŁAD: Przy płynnym εn deficyt bilansu handlowego (NX=X-Z<0; Z=KSI∙ Y) może spowodować deprecjację εn. Przy „lepkich” cenach, Pk i Pz, dojdzie wtedy do spadku εr (wszak: εr=εn∙Pk/Pz).
57 Także międzynarodowe przepływy kapitału mogą powodować deprecjację lub aprecjację εn. O międzynarodowych przepływach kapitału decydują m. in. różnice poziomu zagranicznej, iz, i krajowej, i, stopy procentowej (iz–i). Kapitał płynie tam, gdzie zysk z jego zainwestowania jest największy. [Mobilność kapitału ograniczają m. in. : ryzyko kursowe i różnice wysokości podatków].
58 Na wysokość krajowej stopy procentowej wpływa np. polityka gospodarcza państwa i wiele innych czynników. Można to pokazać za pomocą modelu IS-LM. Wszak wiele róż-nych czynników decyduje o położeniu linii IS i LM, a zatem także o poziomie krajowej stopy procentowej. i LM’’ E 1 i 2 E 8 i 1 E 2 E E 7 E 3 i* i 3 i 4 E 6 E 4 LM’ IS’ E 5 IS’’ 0 LM YE IS Y
59 A zatem, wiele rozmaitych czynników określa przebieg linii IS i LM, czyli również poziom stopy procentowej w gospodarce. . . Skutkiem oddziaływania tych czynników są różnice stóp procentowych w kraju i za granicą. Powodują one wahania salda rachunku kapitałowego bilansu płatniczego. Przy płynnym kursie waluty, εn, i „lepkich” cenach, P, mogą one z kolei skutkować wahaniami εn, a więc także εr (εr=εn∙Pk/Pz!).
60 A zatem, wiele rozmaitych czynników określa przebieg linii IS i LM, czyli również poziom stopy procentowej w gospodarce. . . Skutkiem ich oddziaływania są różnice stóp procentowych w kraju i za granicą. Powodują one wahania salda rachunku kapitałowego bilansu płatniczego. Przy płynnym kursie waluty, εn, i „lepkich” cenach, P, mogą one z kolei skutkować wahaniami εn, a więc także εr (εr=εn∙Pk/Pz!). Np. : napływ do kraju lokowanego w wysoko oprocentowanych bonach Skarbu Państwa międzynarodowego kapitału spekulacyjnego może spowodować wzrost (zapisywanego na sposób brytyjski) nominalnego kursu złotego. W efekcie może dojść do wzrostu realnego kursu złotego.
61 Ciekawym przykładem zakłócenia zewnętrznej równowagi gospodarki skutkującego silną zmianą realnego kursu wymiany jest tzw. CHOROBA HOLENDERSKA (ang. dutch disease).
CHOROBA HOLENDERSKA 62 Powodem CHOROBY HOLENDERSKIEJ jest - zwykle. A - napływ pieniądza zagranicznego spowodowany eksploatacją obfitych bogactw naturalnych kraju i ich sprzedażą za granicę (np. gaz w holenderskiej części Morza Północnego w latach 60. XX w. ). Paradoksalnie, niekorzystnie wpływa to na gospodarkę kraju. -----------------A Inne możliwe przyczyny to np. wzrost zagranicznych inwestycji bezpośrednich, napływ kapitału spekulacyjnego.
CHOROBA HOLENDERSKA 63 Powodem CHOROBY HOLENDERSKIEJ jest - zwykle. A - napływ pieniądza zagranicznego spowodowany eksploatacją obfitych bogactw naturalnych kraju i ich sprzedażą za granicę (np. gaz w holenderskiej części Morza Północnego w latach 60. XX w. ). Paradoksalnie, niekorzystnie wpływa to na gospodarkę kraju. PO PIERWSZE, spowodowana eksportem surowców APRECJACJA PIENIĄDZA KRAJOWEGO SPRAWIA, ŻE TANI IMPORT NISZCZY PRZEMYSŁ. (Chodzi zwłaszcza o produkcję dóbr handlowych). Dochodzi do dezindustrializacji całych sektorów gospodarki. -----------------A Inne możliwe przyczyny to np. wzrost zagranicznych inwestycji bezpośrednich, napływ kapitału spekulacyjnego.
CHOROBA HOLENDERSKA 64 Powodem CHOROBY HOLENDERSKIEJ jest - zwykle. A - napływ pieniądza zagranicznego spowodowany eksploatacją obfitych bogactw naturalnych kraju i ich sprzedażą za granicę (np. gaz w holenderskiej części Morza Północnego w latach 60. XX w. ). Paradoksalnie, niekorzystnie wpływa to na gospodarkę kraju. PO PIERWSZE, spowodowana eksportem surowców aprecjacja pieniądza krajowego sprawia, że tani import niszczy przemysł. (Chodzi zwłaszcza o produkcję dóbr handlowych). Dochodzi do dezindustrializacji całych sektorów gospodarki. PO DRUGIE, sytuację dodatkowo pogarsza to, że ekspansja sektora surowcowego może spowodować odpływ zasobów (np. pracy i kapitału) z gałęzi wytwarzających dobra handlowe do innych gałęzi gospodarki). -----------------A Inne możliwe przyczyny to np. wzrost zagranicznych inwestycji bezpośrednich, napływ kapitału spekulacyjnego.
CHOROBA HOLENDERSKA 65 Powodem CHOROBY HOLENDERSKIEJ jest - zwykle. A - napływ pieniądza zagranicznego spowodowany eksploatacją obfitych bogactw naturalnych kraju i ich sprzedażą za granicę (np. gaz w holenderskiej części Morza Północnego w latach 60. XX w. ). Paradoksalnie, niekorzystnie wpływa to na gospodarkę kraju. PO PIERWSZE, spowodowana eksportem surowców aprecjacja pieniądza krajowego sprawia, że tani import niszczy przemysł. (Chodzi zwłaszcza o produkcję dóbr handlowych). Dochodzi do dezindustrializacji całych sektorów gospodarki. PO DRUGIE, sytuację dodatkowo pogarsza to, że ekspansja sektora surowcowego może spowodować odpływ zasobów (np. pracy i kapitału) z gałęzi wytwarzających dobra handlowe do innych gałęzi gospodarki). PO TRZECIE, wzrost dochodów i wydatków powoduje wzrost cen dóbr niehandlowych (np. nieruchomości). Skutkiem wzrostu popytu na potrzebne do ich produkcji zasoby jest – znowu - odpływ zasobów z sektorów wytwarzających dobra handlowe. (Arbitraż wyklucza wzrost cen tych dóbr, więc ich producenci przegrywają walkę o zasoby). -----------------A Inne możliwe przyczyny to np. wzrost zagranicznych inwestycji bezpośrednich, napływ kapitału spekulacyjnego.
CHOROBA HOLENDERSKA 66 Powodem CHOROBY HOLENDERSKIEJ jest - zwykle. A - napływ pieniądza zagranicznego spowodowany eksploatacją obfitych bogactw naturalnych kraju i ich sprzedażą za granicę (np. gaz w holenderskiej części Morza Północnego w latach 60. XX w. ). Paradoksalnie, niekorzystnie wpływa to na gospodarkę kraju. PO PIERWSZE, spowodowana eksportem surowców aprecjacja pieniądza krajowego sprawia, że tani import niszczy przemysł. (Chodzi zwłaszcza o produkcję dóbr handlowych). Dochodzi do dezindustrializacji całych sektorów gospodarki. PO DRUGIE, sytuację dodatkowo pogarsza to, że ekspansja sektora surowcowego może spowodować odpływ zasobów (np. pracy i kapitału) z gałęzi wytwarzających dobra handlowe do innych gałęzi gospodarki). PO TRZECIE, wzrost dochodów i wydatków powoduje wzrost cen dóbr niehandlowych (np. nieruchomości). Skutkiem wzrostu popytu na potrzebne do ich produkcji zasoby jest – znowu - odpływ zasobów z sektorów wytwarzających dobra handlowe. (Arbitraż wyklucza wzrost cen tych dóbr, więc ich producenci przegrywają walkę o zasoby). Choroba holenderska wyjaśnia, dlaczego krajom bogatym w zasoby zwykle trudno jest rozbudować i utrzymać sektor przemysłu. Współcześnie problem ten występuje w Rosji. Na syndrom choroby holenderskiej składają się też KORUPCJA (sprzyjają jej wysokie dochody z eksportu) i PROTEKCJONIZM (np. ochrony chcą producenci dóbr handlowych). -----------------A Inne możliwe przyczyny to np. wzrost zagranicznych inwestycji bezpośrednich, napływ kapitału spekulacyjnego.
67 Zalecany przez ekonomistów środek zapobiegawczy to rezygnacja z natychmiastowej wymiany dochodów walutowych z eksportu surowców na pieniądz krajowy i ich gromadzenie w formie SPECJALNEGO FUNDUSZU WALUTOWEGO. Zapobiega to aprecjacji pieniądza krajowego i umożliwia „wygładzenie” dochodów państwa w długim okresie z korzyścią m. in. dla przyszłych pokoleń (kwestia sprawiedliwości!).
Państwowe fundusze stabilizacyjne wybranych państw (2005) Nazwa funduszu, kraj pochodzenia, środki finansowe (mld USD) 68 ADIA (Zjednoczone Emiraty Arabskie) 875, 0 GIC/Temasek (Singapur) 849, 0 Government Pension Fund (Norwegia) 345, 0 Diverse Fonds (Arabia Saudyjska) 300, 0 Reserve Fund for Future Generation (Kuwejt) 250, 0 CIC (Chiny) 200, 0 Oil Reserve Fund (Libia) 50, 0 Qatar Investment Authority (Katar) 50, 0 Fond de Regulation des Recettes (Algieria) 38, 0 Permanent Reserve Fund (USA, Alaska) 30, 0 Brunei Investment Authority (Brunei) 25, 7 Khazanah National BHD (Malezja) 24, 0 Stabilisation Fund (Rosja) 20, 0 Korea Investment Corporation (Korea Płd. ) 17, 6 National Fund (Kazachstan) 15, 0
69 NORWESKIE LEKARSTWO NA CHOROBĘ HOLENDERSKĄ W 1990 r. Norwegia utworzyła Globalny Rządowy Fundusz Emerytalny (ang. Government Pension Fund – Global). „Strumień przychodów netto z operacji naftowych rządu centralnego za pośrednictwem budżetu państwa jest w całości transferowany do Globalnego Rządowego Funduszu Emerytalnego. Zgodnie z przepisami tylko oczekiwany realny zysk z Funduszu ma być zwracany do budżetu na ogólne cele wydatkowe. W ten sposób Fundusz działa jak długookresowy fundusz oszczędnościowy, umożliwiając Rządowi Norwegii nagromadzenie aktywów finansowych, w celu łatwiejszego poradzenia sobie z przyszłymi wydatkami, spowodowanymi starzeniem się społeczeństwa. (. . . ) W końcu 2005 r. Fundusz urósł do ok. 1400 mld koron norweskich (NOK), co odpowiada 99% PKB powstającego na lądzie (czyli PKB po odjęciu efektów działań związanych z ropą). Szacunki wskazują, że w końcu 2010 r. Fundusz osiągnie poziom 180% PKB powstającego na lądzie. Przy obecnych regułach polityki fiskalnej po 2030 r. wartość środków zgromadzonych w Funduszu osiągnąć ma ok. 250% PKB powstającego na lądzie, a następnie zacznie stopniowo maleć”A. Wszystkie zasoby Funduszu muszą być inwestowane za granicą. Chroni to Norwegię przed chorobą holenderską. Ponieważ większość dochodów z ropy nie trafia do Norwegii, nie powstaje presja na aprecjację kursu walutowego. ----------------------ATore Erikson (Sekretarz Generalny w Ministerstwie Finansów Nor -wegii): „The Norwegian Petroleum Sector and the Government Pen -sion Fund – Global” www. regjeringen. no (za: M. Burda, Ch. Wyplosz: Macroeconomics. A European Text, Oxford University Press 2009, s. 378).
70 PRZYPADKOWE FLUKTUACJE NOMINALNYCH KURSÓW WALUT NA RYNKACH WALUTOWYCH Zdaniem dealerów handlujących walutami na rynkach walutowych w krótkim i średnim okresie εn zmieniają się pod wpływem: - EFEKTU OWCZEGO PĘDU (ang. bandwagon effect) („BEZWŁADNOŚĆ” RYNKU), - TRANSAKCJI SPEKULACYJNYCH.
71 Zdaniem dealerów handlujących walutami na rynkach walutowych w krótkim i średnim okresie εn zmieniają się pod wpływem EFEKTU OWCZEGO PĘDU (ang. bandwagon effect) („BEZWŁADNOŚĆ” RYNKU) i TRANSAKCJI SPEKULACYJNYCH. W krótkim okresie (do 6 miesięcy) CZYNNIKI FUNDAMENTALNE, czyli informacje o stanie poszczególnych gospodarek nie mają decydującego znaczenia dla poziomu kursów. Te wahania εn powodują fluktuacje εr (εr=εn∙ Pk/Pz), który odchyla się od 1.
72 Tabela pokazuje wyniki ankiety przeprowadzonej wśród dealerow na rynku walutowym w Londynie (tzw. FOREX, rynek FX; ang. Foreign Exchange market, FX market). A ---A Zob. Cheung, Chinn, Marsh, „How do UK Based Foreign Exchange Dealers Think Their Market Operates? ” NBER Working Paper 7524 (2000). (Cyt. za: D. Miles, A. Scott, Macroeconomics, John Wiley&Sons Ltd. , 2005).
73 Badania sugerują, że w krótkim okresie na εn na FOREXIE silnie wpływa tzw. STRUMIEŃ ZLECEŃ (ang. order flow). Chodzi o rożnicę wartości zleceń kupna i sprzedaży waluty na rynku przy danym poziomie jej kursu. Wielkość STRUMIENIA ZLECEŃ i poziom εn są ze sobą silnie dodatnio skorelowane.
74 Wielu sądzi, że chodzi tu o taki oto związek przyczynowy: Przy asymetrii informacji zmiany STRUMIENIA ZLECEŃ są SYGNAŁEM NASTAWIENIA RYNKU, którym w krótkim okresie kierują się handlujący walutą. W efekcie małe zmiany STRUMIENIA ZLECEŃ są wzmacniane na skutek naśladowczych reakcji sprzedawców i nabywców („owczy pęd”) i stają się dużymi zmianami cen. Duża liczba graczy na rynku FX sprawia, że raz powstała tendencja jest względnie trwała. Podtrzymują ją kolejni wchodzący do gry gracze. Rynek walutowy odznacza się zatem dużą „bezwładnością”.
ZRÓB TO SAM! 75 Tak czy nie? 1. Prawo jednej ceny stanowi uogólnienie teorii PPP. Nie, jest odwrotnie. To teoria PPP stanowi uogólnienie prawa jednej ceny. 2. Nominalny kurs walutowy odpowiada parytetowi siły nabywczej, jeśli realny kurs walutowy równa się 1. (εr = εn∙ Pk/Pz). 3. Wahania realnych kursów walutowych są spowodowane m. in. fluktuacjami stóp procentowych w różnych krajach. Tak. Te fluktuacje stóp procentowych następują na skutek rozmaitych zdarzeń przesuwających linie IS i (lub) LM na rysunku przedstawiającym model IS/LM. Jak pamiętasz, jest bardzo wiele takich zdarzeń. i LM’’ E 1 i 2 E 8 i 1 LM E 2 E 7 E 3 E LM’ i* i 3 i 4 E 6 E 5 IS’’ 0 IS’ YE YP IS AEPL=Y
4. 76 εr’/εr=(εn’/εn)∙(πk/πz), więc w długim okresie: εn’/εn=πk/πz. 5. Wynik porównania poziomu życia nie zależy od wyboru koszyka dóbr w oparciu o który ustala się poziom stosowanego przy tej okazji kursu PPP. Nie. To, jaki koszyk dóbr zostanie wybrany, rozstrzyga o poziomie kursu PPP, a więc także o wyniku porównania poziomu życia. (εr = ε ∙ P /P =1 εn= Pz/Pk). 6. n k z Zgodnie z teorią PPP, kiedy inflacja w kraju jest szybsza niż za granicą, skutkiem okazuje się nominalna deprecjacja waluty krajowej. 7. Na forexie zmiany strumienia zleceń i nominalnego kursu waluty są silnie skorelowane. Tak.
ZADANIA 1. a) Co to znaczy, że w długim okresie: εn’/εn = πz/πk? Równanie: εn’/εn=πz/πk oznacza np. , że wzrost nominalnego kursu waluty krajowej, εn, (jej aprecjacja) w pewnym okresie jest efektem szybszego wzrostu cen za granicą niż w kraju. W przybliżeniu: wzrost nominalnego kursu waluty krajowej o x% jest wynikiem wzrostu cen za granicą o ok. x p. proc. szybszego niż w kraju. [Dla małych a i b (100+a)/(100+b) ≈ 1+(a-b)/100]. b) Skąd wiadomo, że to jest prawda? Jak wiadomo, εr’/εr=(εn’/εn)∙(πk/πz), więc przy stałym kursie realnym, εr’/εr=1: (εn’/εn)∙(πk/πz)=1. Wynika stąd, że: εn’/εn = πz/πk. c) Powiedzmy, że w Polsce w długim okresie roczne tempo inflacji wynosi 2%, a w USA 8%. O ile w przybliżeniu zmieni się nominalny kurs złotego do dolara? εn’/εn = πz/πk, więc skoro tempo wzrostu cen za granicą wynosi 8%, a w kraju 2%, to w ciągu roku nominalny kurs waluty krajowej podniesie się o około (8 -2)%=6%.
2. W Hipotecji i w Fantazji wytwarza się tylko chleb! W ciągu roku ceny wzrosły tu – odpowiednio – z 1 gb do 6 gb i z 3 jl do 9 jl za bochenek. Nominalny kurs walutowy obniżył się w tym czasie z 9 [jl/gb] do 3 [jl/gb]. a) O ile procent zmienił się kurs realny? b) Ile bochenków chleba można było dostać w Fantazji za bochenek chleba z Hipotecji na początku I, a ile w końcu XII tego roku? c) Jak zmieniła się konkurencyjność towarów z Fantazji w handlu z Hipotecją? (Odpowiedz, uzupełniając szablon)? [Konkurencyjność towarów z Fantazji. . . . , bo najpierw za kwotę przeznaczoną na zakup 1 bochenka chleba w Fantazji można było mieć. . . , a potem. . . . . bochenka chleba w Hipotecji. ] d) Czy doszło do realnej aprecjacji, czy realnej deprecjacji gdyba?
3. 79 W 1969 r. w bramie na Brackiej w Warszawie kupiono 15 $ po 100 zł; te dolary wywieziono pociągiem „Chopin” do Wiednia. Tam za 5 $ nabyto perukę, a za 10 $ końcowki długopisowych wkładów, które następnie w piłce plażowej przemycono do Polski. W Krakowie perukę sprzedano za 1000 zł, a końcówki wkładów za 3000 zł. a) Ile wyniósł „perukowy” kurs PPP złotego? 200 zł za $. b) Ile wyniósł „długopisowy” kurs PPP złotego? 300 zł za $. c) Pokaż, że te kursy są kursami PPP. Przy tych kursach za daną kwotę złotych można było kupić to samo w kraju i za granicą. Np. peruka kosztowała 1000 zł w Polsce i 5 $ we Wiedniu. Zatem przy kursie 200 zł za $ za 1000 zł można było kupić jedną perukę w Polsce i jedną perukę w Austrii. ISTNIEJE NIE JEDEN, LECZ WIELE KURSÓW PPP. . . d) O ile wyższa była stopa zysku („przebicie”) na wkładach długopisowych niż na perukach? Co wspólnego ma to z odpowiednimi kursami PPP złotego? Handlując perukami, 100 zł zainwestowanych w Warszawie w kupno dolarów można było zamienić na 200 zł (zysk 100%). („Perukowy” kurs PPP złotego wynosił 200 zł za $). Natomiast handlując wkładami długopisowymi, 100 zł zainwestowanych w kupno dolarów można było zamienić na 300 zł (zysk 200%). („Długopisowy” kurs PPP złotego wynosił 300 zł za $). Jak widać, im wyższy był kurs PPP, tym większe było „przebicie”.
80 DYGRESJA W latach 70. XX w. kwitł przemyt towarów do Polski. Gospodarka nakazowo-rozdzielcza nie była w stanie wytworzyć wielu atrakcyjnych dóbr konsumpcyjnych, więc bardzo opłacało się za nabyte w warszawskiej bramie waluty wymienialne kupować np. dżinsy w Monachium, przemycać je do kraju i – sprzedawać z wysokim „przebiciem” np. na bazarze. [Pamiętam, że jeszcze wyższy od „dżinsowego” kursu dolara był np. kurs „ketchupowy” (chodzi o kurs PPP dla – odpowiednio – pary dżinsów i butelki ketchupu)]. KONIEC DYGRESJI
4. Hipotecja ma 1 mln mieszkańców, PKB równa się tu 5, 0 mld gdybów (gb). Natomiast w Fantazji PKB per capita wynosi 5500 jeśli (jl). Oba kraje wytwarzają tylko wino i ryby. Tablica zawiera dalsze informacje. Dobro Fantazja Cena Wino Ryby 4, 0 jl 2, 0 jl udział w PKB 50% Hipotecja udział w Cena 2, 0 gb 3, 0 gb PKB 40, 0% 60, 0% a) Podaj kurs wymiany gdybów na jeśle, odpowiadający parytetowi siły nabywczej (PPP) obu walut, dotyczącej koszyka dóbr o takiej strukturze wartościowej jak struktura PKB w Hipotecji. b) A teraz podaj kurs wymiany gdybów na jeśle, odpowiadający parytetowi siły nabywczej (PPP) obu walut, dotyczącej koszyka dóbr o takiej samej strukturze wartościowej jak struktura PKB w Fantazji. c) Wyraź PKB per capita w Hipotecji w jeślach. Posłuż się oboma kursami PPP, które wyliczyłeś. d) W którym kraju PKB p. c. umożliwia nabycie większej porcji dóbr?
5. PKB w Fantazji, która ma 1 mln mieszkańców, wynosi 1 mld jl. Kraj wytwarza wino i ryby; handluje winem z Hipotecją. Oficjalny kurs walutowy wynosi 1 jl/gb. Tablica zawiera dalsze informacje. Fantazja Dobro cena Wino Ryby 2, 5 jl 5, 0 jl udział w PKB 50% Hipotecja cena 2, 5 gb 3, 0 gb udział w PKB 25% 75% a) Weź wartą w F. 100 jl porcję dóbr o strukturze wytwarzanego tu PKB. Podaj jej skład. Ile gb kosztuje ta porcja dóbr w H. ? 20 butelek wina i 10 ryb. (50 + 30) gb = 80 gb. b) Przy jakim kursie wymiany mieszkaniec F. może sobie kupić w H. porcję dóbr o takiej strukturze, na którą było go stać „w domu”? 100 jl zamienimy na 80 gb przy kursie równym 100 jl/80 gb = 1, 25 jl/gb. Przecież 100 jl/1, 25 jl/gb = 80 gb. c) Kurs, który obliczyłeś, odpowiada parytetowi siły nabywczej obu walut. Uzasadnij stosowanie tej nazwy. Skoro 100 jl/80 gb=1, 25 jl/gb, to siła nabywcza licznika i mianownika ułamka 1, 25 jl/gb są równe. Za te kwoty można kupić taką samą porcję dóbr, przy czym chodzi o porcję dóbr o strukturze odpowiadającej PKB w Fantazji. Krótko mówiąc, kurs odpowiadający parytetowi siły nabywczej obu walut wyraża stosunek kwot pieniądza z obu krajów o takiej samej (równej) sile nabywczej. d) Wyraź PKB per capita w F. w gdybach. Posłuż się oboma kursami walutowymi. PKB per capita w F. równa się 1000 jl (1 mld jl/1 mln mieszkańców). W przeliczeniu na gdyby oznacza to 1000 gb (według kursu oficjalnego) lub 1000 jl/1, 25 jl/gb=800 gb (według kursu odpowiadającego parytetowi siły nabywczej obu walut).
5. PKB w Fantazji, która ma 1 mln mieszkańców, wynosi 1 mld jl. Kraj wytwarza wino i ryby; handluje winem z Hipotecją. Oficjalny kurs walutowy wynosi 1 jl/gb. Tablica zawiera dalsze informacje. Fantazja Dobro cena Wino Ryby 2, 5 jl 5, 0 jl udział w PKB 50% Hipotecja cena 2, 5 gb 3, 0 gb udział w PKB 25% 75% d) Wyraź PKB per capita w F. w gdybach. Posłuż się oboma kursami walutowymi. PKB per capita w F. równa się 1000 jl (1 mld jl/1 mln mieszkańców). W przeliczeniu na gdyby oznacza to 1000 gb (według kursu oficjalnego) lub 1000 jl/1, 25 jl/gb=800 gb (według kursu odpowiadającego parytetowi siły nabywczej obu walut). e) Który z uzyskanych wyników lepiej nadaje się do porównań poziomu życia w Fantazji i Hipotecji? Dlaczego? Tylko zastosowanie kursu PPP zapewnia WSPÓŁMIERNOŚĆ dochodów per capita w obu krajach. Mianowicie, zostają one wyrażone w jednostkach pieniądza o takiej samej sile nabywczej. Po przeliczeniu dochodu per capita z F. (1000 jl) na gdyby okazuje się, że przeciętny Fantazjanin otrzymuje dochód odpowiadający sile nabywczej 800 gb. Umożliwia to porówanie jego dochodu z rzeczywistym dochodem przeciętnego Hipotecjanina (np. 1000 gdybów).
6. a) Oceń niedowartościowanie i przewartościowanie kursu róż- nych walut do „bigmacowego” kursu PPP (zob. tablica); podaj po 2 przykłady. Kurs y Kurs jest niedowartościowany np. w Tajlandii (-50, 4%), w Indonezji (-48, 9%). Przewartościowany jest on np. w Szwajcarii (+69, 0%) i w Szwecji (+36, 8%). b) Uogólnij te obserwacje: w jakich krajach kurs walutowy jest niedowartościowany, a w jakich przewartościowany? Kurs jest niedowartościowany w krajach ubogich (o niskiej produktywności pracy), a przewartościowany w krajach bogatych (o wysokiej produktywności). c) Czy niedowartościowanie złotego do dolara w 2004 r. potwierdza efekt S-B?
6. a) Oceń niedowartościowanie i przewartościowanie kursu różnych walut do „bigmacowego” kursu PPP (zob. tablica); podaj po 2 przykłady. Kur s y c) Czy niedowartościowanie złotego do dolara w 2004 r. potwierdza efekt S-B? Tak. Niedowartościowanie zapisywanego „po brytyjsku” kursu PLN do $) w stosunku do kursu PPP oznacza, że cena Big. Maca w Polsce jest niższa niż w USA (wszak dla kursu odpowiadającego PPP: εn ∙ Pk = Pz). To, że cena Big. Maca w Polsce jest niższa niż w USA, potwierdza efekt S-B (Big. Mac jest „dobrem niehandlowym”, więc jego cena w krajach o niskiej pro-duktywności pracy (np. w Polsce), powinna być niższa niż w krajach o wysokiej produktywności pracy (np. w USA). Niedowartościowanie kursu złotego potwierdza zatem efekt S-B.
6. a) Oceń niedowartościowanie i przewartościowanie kursu różnych walut do „bigmacowego” kursu PPP (zob. tablica); podaj po 2 przykłady. Kur s y d) Jak długo jeszcze będzie trwało to niedowartościowanie złotego? Ogólnie, nie należy się spodziewać zaniku niedowartościowania kursu waluty w krajach biednych, nim nie dojdzie w tych krajach do względnego wzrostu produktywności pracy w sektorach wytwarzających dobra handlowe.
7. a) Wskaż skutki efektu S-B. 87 Efekt S-B powoduje, że w krajach bogatych kurs waluty jest przewartościowany. b) Czy na początku XXI w. w Polsce można się spodziewać szybkiego wzrostu produktywności pracy? Dlaczego? Tak. Ogólnie, przyczyną jest silny „efekt doganiania” spowodowany prawem malejących przychodów i „efektem gapowicza”. (Pomyśl o skutkach przystąpienia Polski do Unii Europejskiej). c) W których sektorach polskiej gospodarki produktywność pracy będzie rosła najszybciej? Zapewne chodzi o gałęzie gospodarki wytwarzające dobra handlowe. Firmy w tych gałęziach podlegają najbardziej intensywnej konkurencji; to do tych gałęzi – zapewne – napływa najwięcej kapitału zagranicznego. d) Jak wpłynie to na względne tempo inflacji w Polsce? Efektem będzie wzrost płac w tych sektorach, a także pochodny wzrost płac i cen w sektorach wytwarzających dobra niehandlowe. Spowoduje to względny wzrost cen w Polsce np. w porównaniu z innymi krajami w Unii. e) Czy efektem będzie realna aprecjacja czy deprecjacja złotego? Dlaczego? Należy się spodziewać realnej aprecjacji złotego. Przecież: εr=εn∙Pk/Pz, a opisane wyżej procesy powodować będą wzrost relacji Pk/Pz. f) Wskaż czynniki hamujące te procesy. Np. wysokie bezrobocie, a także niska mobilność pracy hamują wyrównywanie się płac w sektorach wytwarzających dobra handlowe i niehandlowe.
88 8. Pomyśl o gospodarce polskiej na przełomie wieków. a) Wskaż dotyczące polskiej gospodarki zjawiska, które przypominają „chorobę holenderską”. Oto te zjawiska: (i) Napływ pieniądza zagranicznego (inwestycje bezpośrednie, prywatyzacja, inwestycje pośrednie, transfery z UE, transfery polskich gastarbeiterów). (ii) Aprecjacja pieniądza krajowego i zastępowanie produkcji krajowej importem. (iii) Korupcja. b) A teraz wskaż różnice. Na przełomie wieków w Polsce nie doszło do masowego odpływu zasobów (np. pracy) z sektorów wytwarzających dobra handlowe. (Masowa emigracja zarobkowa do krajów UE po 2004 r. miała inne przyczyny).
Test Plusami i minusami zaznacz prawdziwe i fałszywe odpowiedzi 89 1. Prawdą jest, że: A. εr’/εr=(εn’/εn)∙(πz/πk). B. εr=εn∙Pk/Pz. C. εr’/εr=(εn’/εn)∙(πk/πz). D. εn=εr∙Pk/Pz. A. NIE. B. TAK. C. TAK. D. NIE. 2. Zgodnie z teorią PPP, kiedy εr< 1: A. εn∙Pk < Pz. B. Pk i (lub) εn. C. Pz. D. Opłaca się kupować takie same dobra w kraju, nie za granicą.
90 3. Kiedy εr> 1: A. εn∙Pk > Pz. B. Pk i (lub) εn. C. Pz . D. Opłaca się kupować takie same dobra za granicą, a nie w kraju. A. TAK. B. TAK. C. TAK. D. TAK. 4. Przewartościowanie waluty krajowej oznacza m. in. , że: A. εr < 1. B. Towary krajowe nie są konkurencyjne cenowo na rynkach międzynarodowych. C. Podobna porcja dóbr kosztuje w kraju więcej niż za granicą. D. Za daną kwotę pieniądza w kraju można kupić mniej niż za granicą.
91 5. W Polsce wskaźnik inflacji wyniósł 105, a w USA 110. W takiej sytuacji zgodnie z teorią PPP w długim okresie (ceteris paribus): A. Złoty będzie ulegał deprecjacji w stosunku do dolara. B. Tempo aprecjacji złotego w stosunku do dolara wyniesie około 5%. C. Dolar będzie ulegał deprecjacji w stosunku do złotego. D. Tempo aprecjacji dolara w stosunku do złotego wyniesie około 5%. A. NIE. B. TAK. C. TAK D. NIE. 6. εr≠ 1 m. in. dlatego, że: A. Istnieją dobra niehandlowe. B. Dobra handlowe pochodzące z różnych krajów różnią się od siebie. C. Wysokie koszty transakcyjne utrudniają handel zagraniczny. D. Kurs realny zwykle odpowiada parytetowi sily nabywczej.
92 7. Przyczyną tego, że absolutna wersja teorii PPP się nie sprawdza, są m. in. : A. Efekt S-B. B. Arbitraż towarowy. C. Transakcje spekulacyjne na rynkach walutowych. D. Zakłócenia zewnętrznej równowagi gospodarki. A. TAK. B. NIE. C. TAK D. TAK.


