Лекция ФИ для ФБФО и численный пример.ppt
- Количество слайдов: 10
1. Физический износ. Общие сведения. Физический износ. В процессе эксплуатации здания и сооружения подвергаются физическому (материальному) износу, а также моральному износу (старению). Физический износ – это утрата конструкциями своих первоначальных технико-эксплуатационных (качеств) параметров: потеря прочности, снижение их устойчивости и эксплуатационной надежности в результате внешних и внутренних воздействий, в т. ч. , природно-климатических, условий эксплуатации, деятельности человека. Физический износ – это также потеря таких первоначальных качеств, как например, влагостойкость, теплозащита, звукоизоляция и т. п. Состояние строительных конструкций находится в прямой зависимости от сроков службы и наличия дефектов и повреждений, допущенных при проектировании, строительстве и эксплуатации здания.
3. Определение величины физического износа Физический износ отдельных конструкций, элементов, систем или их участков следует оценивать путем сравнения признаков физического износа, выявленных в результате визуального и инструментального обследования, с их значениями, приведенными в соответствующих нормативных документах. Так, например, для жилых зданий пользуются ВСН 53 -86 (р) «Правила оценки физического износа жилых зданий» . Физический износ конструкции, элемента или системы, имеющих различную степень износа отдельных участков, следует определять по формуле где - физический износ конструкции, элемента или системы, %; - физический износ (%) участка конструкции, элемента или системы, определяются по специальным таблицам, включающим признаки износа и соответствующие им диапазоны значения износа; - размеры (площадь или длина) поврежденного участка, м 2 или м; - размеры всей конструкции, м 2 или м; n - число поврежденных участков.
Таблица 1 Пример. Стены кирпичные (выборка из таблицы 10 ВСН 53 -86(р))
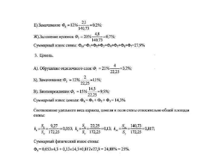
• • Пример 1. Для оценки физического износа конкретного здания определяем следующие характеристики: – Длина здания -18, 54 м; ширина -11, 565 м. ; – Высота здания -12, 0 м; – Площадь поля стены брутто Sбp: стены фасада в осях А/1 -5 - Sбp = 185, 4 м 2; – Площадь окон: по фасаду в осях А/1 -5 – So = 44, 67 м 2; – Площадь поля стены нетто SHT: стены фасада в осях А/1 -5 – Sнт = 140, 73 М 2; – Количество простенков - N: по фасаду в осях А/1 -5 - N=14 шт; – Количество подоконных поясов Nnn: по фасаду в осях А/1 -5 - Nnn=8 шт; – Площадь цоколя Sц: стены фасада в осях А/1 -5 - Sц = 22, 25 м 2; – Площадь карниза SK: стены фасада в осях А/1 -5 - SK= 9, 27 м 2. – Общая площадь So = 9, 27 + 140, 73 + 22, 25 = 172, 25 м 2.
Физический износ здания следует определить по формуле: где – физический износ здания, %; – физический износ отдельной конструкции, элемента или системы, %; – коэффициент, соответствующий доле восстановительной стоимости отдельной конструкции, элемента или системы в общей восстановительной стоимости здания; или удельный вес отдельной конструкции, элемента или системы в общей стоимости здания, % (см. табл. ; n – число отдельных конструкций, элементов или систем в здании.
Таблица 2
Лекция ФИ для ФБФО и численный пример.ppt