n 4 2 Compl Potencial.ppt
- Количество слайдов: 36
1
1. Уравнение Фридмана и Гельмгольца 2. Можно ли вызвать движение неподвижной идеальной жидкости, если приложить постоянное давление по всему объему? Почему? 2
w= +i 3
Рассмотрим комплексную плоскость (х, у) Точка на плоскости определяется комплексным числом iy i 1 х Построить отрезок [(1, i), (3, 2 i)] 4
Построить отрезок [(1, i), (3, 2 i)] iy 2 i i 1 2 3 х Построить отрезок [(1, i), (2, -2 i)] 5
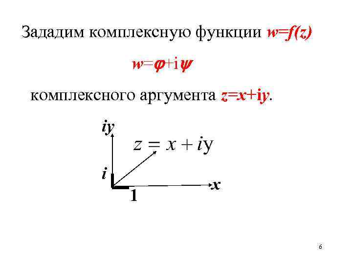
Зададим комплексную функции w=f(z) w= +i комплексного аргумента z=x+iy. iy i 1 х 6
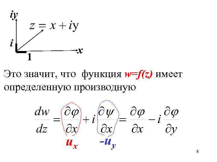
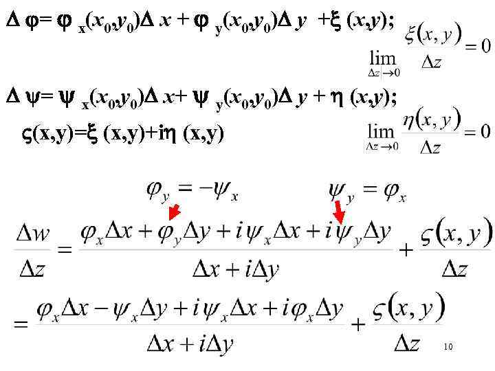
Тогда уравнения справа – условия Коши-Римана для и представляют собой условия аналитичности функции w=f(z) комплексного аргумента z=x+iy 7
iy i х 1 Это значит, что функция w=f(z) имеет определенную производную ux -uy 8
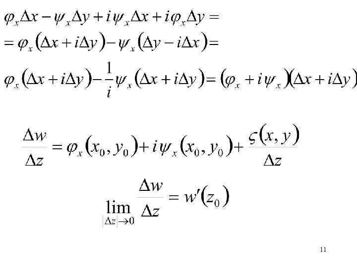
Производная комплексной функции 9
D = x(x 0, y 0)D x + y(x 0, y 0)D y +x (x, y); D = x(x 0, y 0)D x+ y(x 0, y 0)D y + h (x, y); V(x, y)=x (x, y)+ih (x, y) 10
11
iuy uх - комплексная скорость Функция w= +i называется комплексным потенциалом, однозначно определяет плоское течение 12
Задан комплексный потенциал a – действительная величина, константа Определить линии тока, линии равного потенциала, поле скорости 13
14
На линии тока функция тока сохраняет постоянное значение y Линия тока х 15
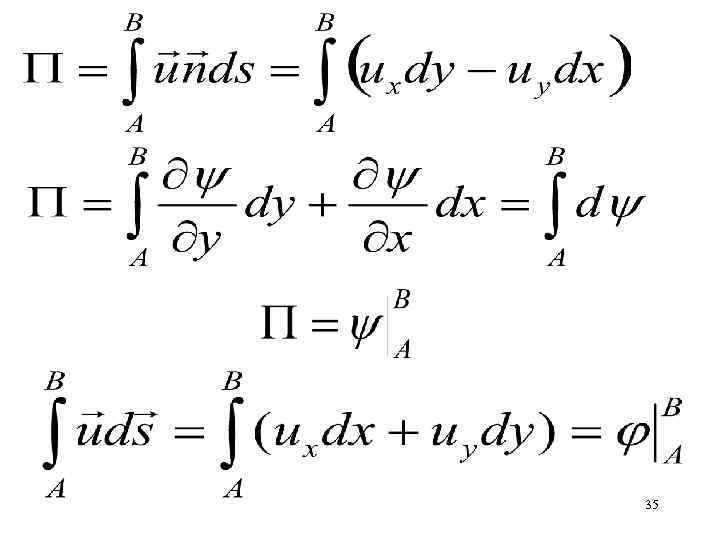
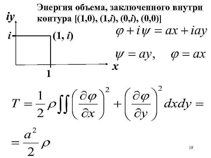
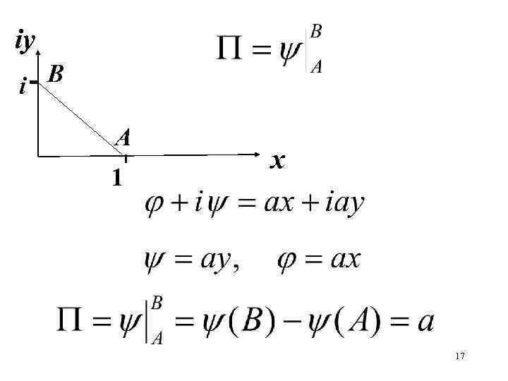
Найти поток скорости через отрезок z 1=(1, 0) z 2=(0, i) Найти энергию объема, заключенного внутри контура [(1, 0), (1, i), (0, 0)] 16
iy В i А 1 х 17
iy Энергия объема, заключенного внутри контура [(1, 0), (1, i), (0, 0)] i (1, i) 1 х 18
iy Энергия объема, заключенного внутри контура [(1, 0), (1, i), (0, 0)] i (1, i) 1 х 19
a, b – вещественные Найти: потенциал скорости, функцию тока, скорость, комплексную скорость, линии тока 20
uy ux=a ux -b 21
iuy b a ux 22
вдоль линии тока Линии тока определены как: iy = a co ns t х b 23
Найти поток через отрезок [(0), (a, -bi)] Найти энергию объема, ограниченного контуром [(1. i), (-1. i). (-1. -i), (1. -i)] Найти циркуляцию скорости по этому контуру 24
Найти поток через отрезок [(0), (a, -bi)] iy a b = х co n st Поток вдоль линии тока равен 0 iy a х b 25
Найти энергию объема, ограниченного контуром [(1, i), (-1, i). (-1, -i), (1, -i)] (-1, i) (-1, -i) (1, -i) х 26
Найти потенциал скорости, функцию тока, компоненты скорости 27
28
Найти линии тока Вектор скорости нарисовать Нарисовать вектор комплексной скорости Можно ли заменить оси координат твердыми стенками? 29
y z х Линии х=0 и у=0 являются частями одной и той же линии тока =0. 30
Нарисовать линии равного потенциала 31
на линии равного потенциала y х 32
Найти поток скорости через отрезок [(0, i), (1, 0)] 33
Записать через функцию тока у B Записать через потенциал скорости A х 34
35
1. Записать скорости течения через функцию тока 2. Как меняется функция тока вдоль линии тока? 3. Условие аналитичности функции w= +i комплексного аргумента z=x+iy 4. Написать выражение комплексной скорости 36


