c77d8cb041a002f8df2fce24036df8b9.ppt
- Количество слайдов: 129
파생 금융 상품론 ∙옵션 (option) ∙선물 (futures) ∙스왑 (swap)
Option의 정의 옵션의 분류 Call option Put option European option American option A call option is a contract giving its owner the right to buy a fixed number of shares of a specified common stock at a fixed price at any time on or before a given date.
옵션의 주요 용어 1. 기초자산 (underlying asset) 2. 행사가격 (exercise price, strike price) 3. 만기 (time to expiration date) 4. 옵션 프리미엄 (option premium)
현물거래와 옵션거래의 차이점
C = 10, 000원 K = 10만원 투자규모 1억 투자전략 1 : 삼성전자의 주식을 10만원에 1, 000주 매입한다. 투자전략 2 : 삼성전자의 주식에 대한 콜옵션을 1만개 매입한다. 삼성전자주식의 가격 60, 000원 전략 1 투자수익률 80, 000원 100, 000원 120, 000원 140, 000원 -40% -20% 0 20% 40% 전략 2 투자수익률 -100% 300%
만기일에서 call의 가치 : 만기일에서의 call의 가치 : striking price (exercise price) : market price l A put option is a contract giving its owner the right to sell a fixed number of shares of a specified common stock at a fixed price at any time on or before a given date.
만기일에서 put의 가치 ITM (in-the-money) OTM (out-of-the-money) ATM (at-the-money)
[예제] 가나기업의 현재주가는 50, 000원이고 이에 대 한 call option(만기 1년, 행사가격 50, 000원)의 가격은 4, 000원이다. 1년 후 가나기업의 주가 가 60, 000원이 되었다고 할 때 주식을 구입한 투자자와 옵션을 구입한 투자자의 투자성과 를 비교하라.
옵션의 기능 ① 헷지 기능 ② 레버리지 기능 ③ 신금융상품개발 기능
[예제] 현재 A전자의 주가는 5만원이다. 국내 K은행은 미 국 J증권으로부터 한달 후 A전자 주식을 주당 5만 원에 10만주 매입할 수 있는 권리를 사겠으니 팔라 는 제의를 받았다.
한달후 예상 주가(원) 확률(%) 상황 ⅰ 상황 ⅱ 80, 000 90, 000 5 70, 000 80, 000 10 60, 000 70, 000 20 50, 000 60, 000 30 40, 000 50, 000 20 30, 000 40, 000 10 20, 000 30, 000 5
<call의 경우> 1. 상황ⅰ에서 행사가격 50, 000, 60, 000원인 콜옵션의 가치( 프리미엄)은 각각 얼마나 될까? (r = 年 12%) 2. 만약 한달 후 주가예상이 상황 ⅱ와 같다면 옵션의 가치는 얼마가 될 것인가? 3. 시사점 <put의 경우>
콜옵션 매입의 가치 (원) 5만 행사가격(K) = 5만원 3만 1만 5만 8만 주한 가달 후
put 매입의 가치 (원) 5만 K = 5만원 3만 1만 5만 8만 주한 가달 후
[예제] 한달 뒤 주가예상이 <상황ⅰ>과 같이 주어졌 을 때 J증권사에서 50, 000원 콜옵션을 1주당 6천원 에 사겠다고 한다. K은행 담당자로서 어떻게 하겠 는가? ∙적정프리미엄이 5, 445원보다 많이 받는 것이므로 콜옵션을 매도한다. ∙ 가만히 있어도 (naked position) K은행은 이익만 보느냐? : 주가가 8만원이 되면 24, 500원 손해
1. Call 매도의 손익 2. Call 매입의 손익
1. put 매도의 손익 2. put 매입의 손익
∙ 주가 상승대비 위험관리 필요 ① A주식 미리 현시세 5만원에 매입 (covered position) ∙ 오늘 현재 K은행 현금흐름 = 6, 000원 (옵션매각) 44, 000원 (차입) -50, 000원 (주식매입) 0 ∙ 한달 뒤 K은행 현금흐름(주가 5만원 이상일 때) 50, 000원 (주식인도대금) -44, 000원 (차입원금) -440원 (이자 : 월(月 )1%) 5, 560원 순이익 ∙ 만약 차입금 이자가 없다고 가정하면 위험관리를 통해 6, 000원 이익
② ① 에서 처럼 call 매도 후 기초주식 매입하면 위험회피(hedge) 가 완벽한가? ∙ 만약 한달 후 주가가 2만원으로 하락하면 미리 5만원 에 사둔 것이 손해가 됨 J증권은 call 행사포기 + 6, 000 -30, 000 (call 매도금액) (주가하락에 따른 투자손실) (-)24, 000 ∴ 시황(市況 )에 따른 dynamic hedging 필요
Elementary types of positions 1. Uncovered 2. Hedge (주식과 옵션의 결합) 3. Spread 4. Combination Straddle Strangle Strip Strap 옵션끼리의 결합
옵션의 가치와 옵션투자의 손익 profit 0 loss S S* 주식매입의 경우 (long stock)
옵션거래의 전략 1. Uncovered position (naked position) ∙ buy call (+C) ∙ write (sell) call(-C) ∙ buy put (+P) ∙ write (sell) put(-P) [∙ long stock (+S) ∙ short stock (-S)]
Hedge ( 주식+옵션 ) ∙ 주식보유 + call 매도 (S - C) → covered call (각 1단위일 때) ∙ 주식보유 + put 매입 (S + P) → protective put (각 1단위 일 때) ∙ reverse hedge 주식 공매 + call 매입 (-S + C) 주식 공매 + put 매도 (-S - P) ∙ ratio hedge : 주식과 옵션의 결합단위가 다를 때
Spread 동일 기초증권에 대해 만기와 행사가격에 따라 옵션가격에 차이가 나는데, 이러한 옵션가격차 이를 이용하는 옵션투자전략. 구체적으로는 동일 기초증권의 만기 또는 행사 가격이 다른 동일종류 옵션에 대해 long position ( 매입)과 short position(매도) 동시에 취하는 전략
(1) 수직 스프레드 (vertical spread) : 가격스프레드 (price spread, money spread) : 행사가격이 다른 옵션을 동시에 매입 ∙ 매도 수직강세스프레드 (bullish vertical spread) : 주가상승 예상시 구사 수직강세 call spread ( 수직강세 put spread ( 1 : 낮은 행사가격의 옵션 2 : 높은 행사가격의 옵션 ) )
수직약세스프레드 (bearish vertical spread) : 주가하락 예상시 구사 수직약세 call spread ( 수직약세 put spread ( 1 : 낮은 행사가격의 옵션 2 : 높은 행사가격의 옵션 ) )
[예제] 동일한 만기의 KOSPI 200 주가지수 풋옵션을 행 사가격이 95인 것을 1. 50에 매입하고 행사 가격 이 105인 것은 8. 50에 매도하여 강세형 풋스프레 드 포지션을 취입하였다. 만기시점의 손익패턴 을 그래프로 나타내고, 만기일에 손익분기점이 되는 KOSPI 200 지수값과 손익의 최저값과 최고 값을 구해보자.
(2) 수평 스프레드 (horizontal spread) : 시간 스프레드 (time spread, calendar spread) : 만기가 다른 옵션을 동시에 매입 ∙ 매도 call 수평 spread ( put 수평 spread ( call 역 수평 spread ( put 역 수평 spread ( s : 만기가 짧은 옵션 l : 만기가 긴 옵션 ) )
(3) 대각 스프레드 (diagonal spread) : 만기와 행사가격 모두 다른 동일 옵션을 매입 ∙ 매 도 동시에 취함 ∙ 강세 대각 spread 행사가격은 낮고 만기일이 먼 옵션은 매입, 행사가격이 높고 만기일이 가까운 옵션은 매도
(4) 나비형 스프레드 (butterfly spread) : 행사가격 (또는 만기일)이 중간인 옵션은 2단위 매도, 행사가격 (또는 만기일)이 가장 높은 (먼) 옵션과 낮 은 (가까운) 옵션은 각각 1단위씩 매입 call butterfly spread put butterfly spread butterfly vertical spread butterfly horizontal spread (5) 역 나비형 스프레드 (short butterfly spread, sandwich spread)
Combination : 기초증권이 동일한 call과 put 을 동시에 매입 또는 매도하는 전략 ∙ combination 매입 : call과 put 모두 매입 (long position) C+P ∙ combination 매도 : call과 put 모두 매도 (short position) - C - P
[예제] 현재 옵션시장에서는 가나기업 주식에 대해 서 만기가 똑같이 1년 남은 콜옵션과 풋옵 션이 함께 거래되고 있다. 이 때 행사가격이 100, 000원인 콜옵션의 가격은 10, 000원이고 행사가격이 80, 000원인 풋옵션은 5, 000원에 가격이 형성되어 있다. 단, 무위험 이자율은 연 10%이다.
(1) 이와 같은 콜옵션과 풋옵션을 1개씩 매입한 투자자의 만기의 부를 그림으로 나타내라. (2) (1)과 같은 투자자가 만기에 이익을 얻을 수 있는 가나기업 주식가격의 범위를 밝혀라. (3) (1)과 같은 투자자가 입을 수 있는 최대손실액은 얼마인가?
<베어링社의 사례> 손익 합성포지션 콜옵션발행 풋옵션발행 지수 18, 500 19, 000 19, 500 95년 3월 만료일 까지 18, 500엔 ~ 19, 000엔 범위 이익
combination (1) straddle : 만기와 행사가격이 동일한 call과 put을 각각 한 단위씩 결합 (C+P) ① ② ③ 큰 가격 변동 예상시 이용 ∴ 장기투자전략 큰 비용소요 역 straddle : -C -P (주가안정 예상될 때)
combination (2) strangle : 만기는 동일, 행사가격은 다른 call과 put의 결합 역 strangle : (3) strip : 1 C+2 P : 주가하락시 주가 하락폭보다 더 빠른속도로 투자이익 증가 (4) strap : 2 C+1 P : 주가상승시 주가 상승폭보다 더 빠른 속도로 이익 증가
[예제] 현재 옵션시장에서는 가나기업 주식에 대해서 만기 가 3개월 남은 콜옵션이 행사가격에 따라 다음과 같 이 가격이 형성되어 있다. 행사가격 C 가격 P 가격 30, 000원 6, 000원 1, 000원 50, 000원 4, 500원 2, 000원 70, 000원 4, 000원 3, 000원
[예제] (1) 행사가격이 30, 000원인 콜옵션을 1개 구입하고 행 사가격이 50, 000원인 콜옵션을 1개 발행(매도)한 투 자자의 만기이득형태를 그림으로 나타내라. (2) 행사가격이 50, 000원인 콜옵션을 2개 매도하고 행 사가격 30, 000원, 70, 000원인 콜옵션을 각각 1개씩 매입한 투자자가 얻을 수 있는 최대이익과 최대손 실은 얼마인가? (3) 문제(1)을 PUT으로 하여 풀 것.
(4) 문제(2)를 PUT으로 하여 풀 것. (5) 다음 투자전략의 손익을 그림으로 표시 ※ (-)매도, (+)매입 1 : 행사가격 30, 000 2 : 행사가격 70, 000 ① C 1 - C 2, C 2 - C 1 ⑤ 1 C + 2 P ② P 1 - P 2, P 2 - P 1 ⑥ 2 C + 1 P ③ C + P (행사가격 50, 000 동일) ⑦ C 2 + P 1 ④ - C - P (행사가격 50, 000 동일) ⑧ -P 1 - C 2
[예제] CPA 파생상품 투자주식회사의 옵션 운용부에서 근무 하는 A 부터 E 까지 5명의 매니저(managers)가 다음과 같은 옵션 거래전략을 구성하였다. 옵션을 발행한 기초 자산 (underlying assets)의 주식가격이 향후 대폭 상승할 경우에 가장 불리한 투자결과를 낳을 것으로 예상되 는 매니저는 누구인가? (옵션의 행사가격들은 현재의 주가에 근접하고 있으며 동일한 주식을 기초자산으로 하고 있다고 가정함)
A : 주식을 매입하고 매입한 주식에 대한 콜 옵션을 동시에 발행 B : 행사가격이 동일한 콜을 매입하고 동시에 풋을 발행 C : 행사가격이 다른 콜과 풋을 동시에 매입 D : 행사가격이 다른 두 개의 콜 중에서 높은 행사가격을 가진 콜을 매입하고 낮은 행사가격을 가진 콜을 발행 E : 주식을 매입하고 매입한 주식에 대한 풋 옵션을 동시에 매입
합성 포지션 (synthetic position) ∙ 합성옵션 (synthetic option) : 옵션+선물 → 옵션 F+P=C -F - P = -C C–F=P -C + F = -P
W W +F C=F+P -P +P St St -F C=F + P -C=-F-P -C=-F - P
W W +F +C -P=F-C St St P=C-F -F P=C-F -C -P=-C+F
합성 포지션 (synthetic position) ∙합성선물 (synthetic futures) : 옵션 + 옵션 → 선물 C–P=F -C + P = -F
W F=C-P W +C -P St +P St -C F=C-P -F=-C+P
Option 가격의 주요 결정 요인 call put 1. 현재주가 (S) + - 2. 행사가격 (K) - + + - 3. 이자율 (r) 4. 주가 변동 정도 ( ) + + 5. 만기일까지의 기간 (T) + 6. 현금배당 (d) - + +
Put – call parity • 착안 : return = 0 인 포트폴리오의 가격은 0 이며, 따라서 투자금액 = 0 여야 한다는 idea • 가정 : 동일 기초증권, 동일 만기, 동일 행사가격 전제. 거래비용과 세금, 증거금은 없다. 만기일까지 현금배당이 없는 European 옵션 차입, call 1단위 매도, put 1단 위 매입, 기초증권 1단위 매입할 경우 현시점과만기 시점에서의 포트폴리오의 현금흐름 • 현시점에서
Put – call parity 시점 거래 차입(상환) Call 매도 Put 매입 주식매입 만기일 현재
. If no arbitrage opportunity, 여야 함. (현금배당이 없는 유럽형 옵션에 있어서의 put-call의 관 계) ( : 액면금액 K인 순수할인 무위험채권의 가격) . • 현금배당이 있는 경우 (D : 만기일 이전 현금배당금의 현가의 합)
[예제] 가나기업의 현재주가는 25, 000이고, 이에 대 한 콜옵션 (만기 2년, 행사가격 28, 000원)의 가 격은 2, 500원이다. 무위험이자율 10%일 때, 만기와 행사가격이 동일한 풋옵션의 가격은 얼마인가?
옵션의 가격 (옵션 프레미엄) • 옵션의 가격 (옵션 프레미엄) = 내재가치(in-the-money value) + 시간가치 (time value)
Call 옵션의 가격범위 ① C ≤ S (upper bound) ② C≥ 0 ③ C≥S (European call) (또는 S - ) C ≥ S – K (American call) 배당이 있는 경우 우변에서 ( - 배당금의 현가)
Put옵션의 가격범위 ① P≥ 0 ② P≤ P≤K ③ P≥ P≥ K-S (European put) (American put) 배당이 있는 경우 우변에서 (+ 배당금의 현가)
옵션가격의 민감도 분석 옵션의 가격결정요인 1단위 변화에 따른 옵션가격의 변화 정도를 측정 ① 델타(delta : ) = 또는 (+) (-) • 기초주식의 가격변화에 대한 옵션의 가격변화 • 옵션의 가격변화폭은 항상 기초주식의 가격변화폭보다 작다. (0 < < 1)
② 감마 (gamma : ) • 기초주식의 가격변화에 대한 옵션델타의 변화율 • 기초주식의 가격에 대한 옵션가격의 2차 편미분으 로서 옵션의 곡률(option curvature)을 의미 • 감마가 큰 옵션은 주가변화에 민감한 델타를 가 지므로 옵션 매입자에게는 유리하지만 옵션발행 자에게는 불리
③ 람다 (lambda : ) • 기초주식의 위험 한 단위변화에 대한 옵션가격 변화를 의미 • kappa, sigma 또는 vega 등으로도 표시 • 옵션의 레버리지를 직접적으로 측정하는 단위
④ 세타 (theta : ) • 시간이 경과되어 만기일까지의 기간이 감소함에 따른 옵션의 가격변화 ( 부호 - ) • 세타가 큰 옵션은 시간이 경과가 됨에 따라 옵션 가치가 더 많이 감소할 것이므로 옵션 매도자에게 유리
⑤ 로우 (rho : ) • 이자율변화에 따른 옵션가격의 변화 즉, 이자율에 대한 옵션가치의 민감도
옵션가격결정모형(OPM) 1. 확실성 모형 (1979. Haley & Schall) (1)가정 : 모든 값을 알고 있다. (2)모형 : ( ) : 만기시 call의 가치 : 기초증권의 만기 가격 ☞ 연속복리로 표시하면
[예제] 현재 옵션시장에서는 가나기업 주식 1주를 2 년 후에 취득할 수 있는 콜 옵션이 1개 당 8, 000원에 거래되고 있다. 확실한 정보에 의하면 2년 후의 가 나기업 주기는 45, 000원이 될 것이라고 한다. 무위 험 이자율은 연 10%라고 한다. (1) 이 옵션은 2년 후 가나기업 주식을 얼마에 구입할 수 있는 옵션인가? (2) 그리고 이 가나기업 주식의 현재 가격은 얼마인가?
옵션가격의 결정모형 2. 이항분포모형 (binomial approach) : Cox & Rubinstein (1973) (1) 가정 : 기초증권의 가격이 2항분포를 따른다.
(2)모형 24 현재주가 S=20 18 C K=20 4 0
u. S S d. S C u : 주가상승계수 (1+ 상승율) d : 주가하락계수 (1+ 하락율)
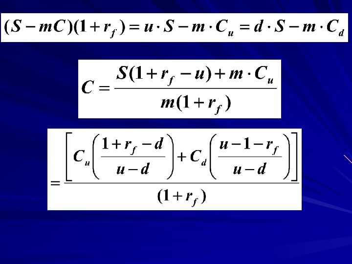
이항분포모형 ① 도출원리 주식 1주 매입하고 이에 대해 m개 call을 매도하는 포 트 폴 리 오 를 만 들 어 m을 적 절 히 정 하 여 주 가 변 동과는 관계없이 항상 일정한 수익률이 보장되는 헷지포트폴리오를 정할 때, 이것의 수익률이 와 동일
② 도출과정 (주가상승시 투자가치) S-m. C (주가하락시 투자가치) ( S-m. C: 주식 1개 1매입, 이에 대한 m개의 call을 파는데 소요되는 투자자금)
(m : hedge ratio) * 헷지비율과 상승 ∙ 하락 확률과는 무관
EX) 앞의 예에서 즉, 주식 1개 매입하고, 이에 대해 1. 5개의 call 매도 주가상승시 24 -1. 5 (4) = 18 주가하락시 18 -1. 5 (0) = 18 주가의 등락과 관계없이 투자의 기말가치는 18임
p : 헷지확률 (hedge probability)
• 헷지확률 p는 주가가 오를 확률과는 전혀 무관한 개념 • p의 확 률 로 가 되고 (1 -p)의 확률로 가 되는 이 항분포의 기대치 는 1기후 call의 가 치 이므로 현재시점에서의 call의 가치(C)는 다음과 같다.
이항분포모형의 특징 ① 콜옵션의 가격은 주가가 오르거나 내릴 확률과는 무관 ② 옵션의 가격은 투자자들의 위험에 대한 태도와는 무관 ③ 콜옵션을 결정하는 유일한 확률변수는 기초주식 의 가격뿐
[예제] 가나기업의 현재주가는 30, 000원인데 1기간 후 에 36, 000원이 될 확률은 0. 3이고 24, 000원이 될 확률 은 0. 7이다. 주가의 변화는 이항분포를 따르며 무위험 이자율은 연 10%라고 가정한다. (1) 균형상태에서 행사가격이 28, 000원이고 만기가 1년 남은 콜옵션의 현재가격은 얼마인가? (2) 가나기업 주식 50주를 보유하고 있는 투자자의 콜옵 션을 이용한 헷지전략은?
2기간 이항분포모형 28. 8 24 u∙S S=20 21. 6 18 d∙S 16. 2 ( u = 1. 2 , d = 0. 9 )
K = 20 일 때, 8. 8 4 C 1. 6 0 0
[예제] 가나기업의 현재주가는 30, 000원인데 1기간 후에 36, 000원이 될 확률은 0. 3이고 24, 000원이 될 확률은 0. 7이다. 주가의 변화는 이항분포를 따르며 무위험이 자율은 연 10%라고 가정한다. (3) 만기가 2년일 때 콜옵션의 균형가격을 구하고 만기가 1년인 콜옵션의 가격과의 차이가 갖는 경제적 의미를 설명하라.
3. Black-Scholes 모형 (1)가정 : 1973. Black & Scholes ① 연속적 시간 모형 (continous time model) : 주가가 미세한 시간 사이에서 연속적으로 변한다. ② 완전시장 ③ 만기까지 배당이 없다. ④ Wiener process (stochastic process) : 주가가 연속적으로 변동한다고 해도 불규칙하게 변 동하는 것이 아니고, 주식에 대한 순간적 수익률은 일정한 기대치와 일정한 분산을 가진다고 가정
(2) 도출원리 : 기본원리는 이항분포모형과 동일 (3) 모형
t : 만기까지의 잔여 년수 : 주식수익률의 표준편차 e : 2. 7183… N(d) : 누적 표준정규분포에서 Z=d에 해당되는 값
B-S 모형 옵션가격 결정요소가 B-S 모형에서 도출됨. (B-S : 만기까지 배당없음을 가정) ① 현재가격(S) ② 행사가격(K) ③ 기초증권의 수익률의 분산 (위험) ④ 만기(t) ⑤ 무위험 이자율( rf )
B-S OPM 이용 예 (ex) K=27, 000원, S=30, 000원, C? P?
①
② 표준정규분포표에서 구함 N(0. 698) = 0. 7580 N(0. 478) = 0. 6844 ② 공식에 대입하여 C, P 구함 ≒ 4, 595 -30, 000 ≒ 993원
B-S 모형의 특징 ① 5가지 옵션가격 결정요인 ② 실용성 : 외에는 쉽게 얻어지는 것 이론적으로 사전적 자료 사용해야, but 어려움 실제적으로 사후적 자료 이용 ③ S와 K가 동일한 비율로 변하면 없음 N ( d 1 ), N은 변화 (d 2 ) ∴ 옵션가격도 동일한 비율만큼 변화 ④ 의 경제적 의미
[예제] 가나기업의 현재주가는 25, 000원인데 이에 대 해 행사가격은 23, 000원이고 반년 후에 만기가 되는 콜옵션이 있다. 가나기업 주식의 수익률분산은 0. 348이고 연 1회 이자계산시 적용되는 무위험이자 율은 10. 51%라고 할 때 다음 물음에 답하라. (1) Black- Scholes모형을 이용하여 콜옵션의 가격을 계산 하라. (2) 만기와 행사가격이 동일한 풋옵션의 가격을 구하라.
옵션의 기업재무에의 응용 자기자본과 부채의 평가 ex) 산업박람회 사업자금을 10억원의 순수할인사채 발행하여 조달. 사업 종료 후 10억 부채상환하고 정리 예상.
사업성패 여부에 따라 기업 총 가치가 다음과 같이 20억 ~0로 ① 과 같이 예상 될 때, 자기자본가치와 부채의 가 치는 ② , ③ 과 같다. 실패 완전 실패 10 5 0 0 0 10 10 5 0 사업성패 큰성공 성공 보통 ① 회사의 가치 20 15 ② 자기자본 가치 ③ 부채의 가치 10 10
자기자본의 가치 자기자본 가치( ) 20억 10억 20억 회사의 가치 ( )
부채의 가치 부채가치 ( ) 20억 10억 20억 회사의 가치 ( )
자기자본과 부채의 가치 = 만기일의 자기자본의 가치 = 만기일의 기업가치 = 만기일의 부채 상환액
call을 이용한 평가 (해석) ① 자기자본 가치 ( ) = 콜 옵션의 가치 (즉, 기업에 대해 콜옵션 하나 소유하고 있는 것과 동일) ∙ 기초자산가격 : 기업가치 ∙ 행사가격 : 부채의 상환금액 ∙ 옵션만기일 : 부채상환일
call을 이용한 평가 (해석) ② 부채가치 ( ) = 기업가치 – 콜 옵션의 가치 (콜 매도) 즉, ㄱ. 기업을 소유하고 ㄴ. 주주에게 부채의 상환액을 행사가격으로 하는 기업에 대한 콜옵션을 매도한 경우와 동일
call을 이용한 평가 (해석) ① 콜 매도 가치 기 업 가 치 ② 10억 기업가치 + 기업가치
부채가치 : ① +② 10억 기업가치
Put을 이용한 자기자본평가 (해석) ① 자기자본가치 = 콜 옵션의 가치 = 풋 옵션의 가치 + 기업가치 – 부채상환가액의 현가 ㄱ. 기업을 소유하고 있으며 ㄴ. 사채 소유자에게 10억 빚진 상태 ㄷ. 기업에 대해 행사가격 10억원의 풋을 소유하고 있는 것과 동일
Put을 이용한 자기자본가치 평가(해석) 기 업 가 치 차 입 ㉠ + -10억 ㉡ 기업가치 + 풋 의 가 치 ㉢ ⇒ 10억 기업가치 주 식 가 치 ㉠+ ㉡+ ㉢ 10억 기업가치
Put을 이용한 부채가치 평가(해석) ② 부채가치 = 기업가치 – 콜 옵션의 가치(자기자본가치) = 기업가치 – (풋 옵셥가치+기업가치 -부채상환금액의 현가) = 부채상환액의 현가 – 풋옵션가치 ∴ ㄱ. 부채의 상환가액을 액면금액으로 하는 무위험 할인채권 소유하고 있고 ㄴ. 주주에게 기업에 대한 풋 매도한 경우와 동일
Put을 이용한 부채가치 평가(해석) 대 출 금 풋 매 도 가 치 ㉠ 10억 기업가치 10억 ㉡ 10억 기업가치
㉠ +㉡ 부 채 가 치 10억 기업가치
지급보증에 대한 평가 • 지급보증을 받는 것은 팔 수 있는 권리를 가지는 것과 동일. ∴ 지급보증가치 = PUT의 가치 • 기업이 발행한 사채를 금융기관이나 정부가 지급보증을 해주는 것은 위험사채를 무위험사채로 전환시켜주는 것과 같다. 무위험부채의 가치 = 위험부채가치+풋옵션의 가치 (지급보증의 가치)
대리문제와 옵션 투자안 선택과 옵션 자기자본가치 = 콜옵션가치 A안 B안 불황(1/2) 호황(1/2) 기대치 NCF 10 50 30 20 40 30 부채가치 10 20 15 20 20 20 주식가치 0 30 15 0 20 10
대리문제와 옵션 ex) 발행한 회사채 20억 ∙ 투자안 현금흐름의 기대치는 30억으로 동일하지만 주주들은 위험이 큰 A사업안 선호 (위험이 클수록 call 가치 증가) 자기자본가치 = 콜옵션 가치
전환사채(convertible bond)의 전환 권 가치의 평가 전환사채의 가치 = 일반사채의 가치 + 전환권의 가치 = 일반사채의 가치 + 콜옵션의 가치
전환사채(convertible bond)의 전환 권 가치의 평가 ex) ∙ 기발행주식 수 1, 000개 ∙ 전환사채 2, 000만원 (액면금액 100만원, 20개, 만기 1년) ∙ 전환비율 50 (즉, 사채 1개 포기할 때 받게될 주식 수) 만기시 기업가치가 얼마일 때 전환사채 소유자는 전환권을 행사하는 것이 좋은가?
풀이) 모두 전환하면 20x 50=1, 000의 신주발행 → 총주식 수 2, 000 (이때 전환사채 소유자의 지분율 50%) → 전환시 지분가치 0. 5 V ∙ 0. 5 V>2, 000만원 (즉, V>4, 000만원) 이면 전환하는 것이 유리
전환권 행사가 유리 만기시 기업가치 V>4, 000 만기시 전환사채의 가치 0. 5 V 2, 000만 V 만기시 주식가치 0. 5 V V -2, 000만 0 4, 000>V>2, 000 V<2, 000
전환권(옵션)의 가치 ㉡ 일반사채의 ㉠ 가치 4, 000 2, 000 4, 000 기업가치 전환사채의 ㉠+ ㉡ 가치 0. 5 V 4, 000 V 2, 000 4, 000 기업가치 주식가치 0. 5 V 4, 000 V-2, 000 4, 000 기업가치 2, 000 4, 000 기업가치
• 지금까지는 전환권이 만기에 행사되는 것을 전제로 분 석 • 실제로는 대부분 만기이전에 행사할 수 있도록 하고 있으므로, 이때 전환권의 가치 = 전환사채의 가치 – 일반사채의 가치 + 미래의 주가상승에 대한 기대프리미엄
c77d8cb041a002f8df2fce24036df8b9.ppt