Гаухар апай слайд.pptx
- Количество слайдов: 26
Қазақстан халқының өмір сүру деңгейі 1 Орындаған: Матқасым М.
Жоспар: Кіріспе Негізгі бөлім 1. Еңбек нарығы индикаторлары 2. Айлық жалақы мөлшеріне талдау 3. табыс 4. Шығыс 5. Халықтың азық-түлік тұтынуы 6. Кедейлік мөлшері 7. Мемлекеттік жәрдемақы және зейнетақы Қорытынды Пайдаланылған әдебиеттер 2 29. 02. 2017
Кіріспе «Өмір сүру деңгейі» категориясын алғаш рет К. Маркс «Жалақы, баға және пайда» атты еңбегінде енгізілген. Ол осы категорияны халықтың, әлеуметтік топтардың материалдық, рухани және әлеуметтік қажеттіліктерін қанағаттандыру дәрежесі мен деңгейінің әлеуметтікэкономикалық сипаты ретінде қарастырған. Халық саны проблемасының Қазақстан үшін айрықша маңызы бар. Халық санының тығыздығы республика бойынша тұтастай алғанда бір шаршы километрге 5, 5 адамды құрайды. . 3 29. 02. 2017
Еңбек нарығының негізгі индикаторлары 2014 Жұмыс күші, мың адам Халық санындағы жұмыс күші үлесі, пайызбен Жұмыспен қамтылған халық, мың адам Жұмыспен қамтылу деңгейі, пайызбен жұмыс күшінің санына Жалдамалы қызметкерлер, мың адам Жұмыспен қамтылған халық санындағы жалдамалы қызметкерлердің үлесі, пайызбен Өз бетінше жұмыспен қамтылғандар, мың адам Жұмыспен қамтылған халық санындағы өз бетінше жұмыспен қамтылғандардың үлесі, пайызбен Жұмыссыз халық, мың адам Жұмыссыздық деңгейі, пайызбен Жастардың жұмыссыздық деңгейі (15 -24 жастағы), пайызбен Ұзақ мерзімді жұмыссыздық деңгейі, пайызбен Жұмыс күші құрамына кірмейтін адамдар, мың адам Халық санындағы жұмыс күші кұрамына кірмейтін адамдардың үлесі, пайызбен 4 2015 2016 9 136, 7 9 078, 4 9 031, 3 Рабочая сила, тыс. человек 71, 9 71, 6 70, 5 Доля рабочей силы в численности населения, % 8 678, 7 8 634, 5 8 586, 6 95, 0 95, 1 6 073, 3 6 294, 9 6 361, 3 70, 0 72, 9 74, 1 2 605, 3 2 339, 7 2 225, 4 30, 0 27, 1 25, 9 458, 1 443, 8 444, 7 5, 0 4, 9 3, 7 4, 1 3, 7 2, 5 2, 4 2, 2 3 563, 7 3 603, 2 3 782, 5 28, 1 28, 4 29, 5 Занятое население, тыс. человек Уровень занятости, % к численности рабочей силы Наемные работники, тыс. человек Доля наемных работников в численности занятого населения, % Самостоятельно занятые, тыс. человек Доля самостоятельно занятых в численности занятого населения, % Безработное население, тыс. человек Уровень безработицы, % Уровень молодежной безработицы (в возрасте 15 -24 лет), % Уровень долгосрочной безработицы, % Лица, не входящие в состав рабочей силы, тыс. человек Доля лиц, не входящих в состав рабочей силы в численности населения, % 29. 02. 2017
2014 -2016 жылдардың 3 тоқсанындағы еңбек нарығының негізгі индикаторлары 5 29. 02. 2017
Өңірлер бойынша халықтың ақшалай табыстарының құрылымы 2014 жылдың 3 тоқсаны/3 квартал 2014 года соның ішінде в том числе соның ішінде әлеуметтік трансферттер в том числе социальные трансферты Қазақстан Республикасы Ақмола Ақтөбе Алматы Атырау Батыс Қазақстан 6 Жамбыл Қарағанды Қостанай Қызылорда Маңғыстау Оңтүстік Қазақстан Павлодар Солтүстік Қазақстан Шығыс Қазақстан Астана қ. Алматы қ. туыстарын ан материалд ық көмек, өз бетінше алиментте еңбек жұмыспен Ақшалай р және қызметінен меншіктен қамтылудан және табыс, өзге де түскен кәсіпкерлік АӘК және барлығы табыстар жалдамалы табыстар қызметтен түскен тұрғын үй шәкіртақы- табыс Денежный жұмыстан түскен жәрдемақ материал табыс зейнетақы көмегі лар доходы от доход, табыс ы ьная трудовой доход от самостоя пенсии АСП и стипенди собственвсего помощь доход от работы пособия деятельности -тельной жилищна и от по найму ности занятости и я помощь родствен предпринимаников, тельской алименты деятельности и прочие доходы 100, 0 100, 0 80, 6 74, 8 80, 5 80, 8 86, 2 68, 9 61, 5 68, 3 63, 5 79, 9 11, 7 13, 3 12, 2 17, 3 6, 3 12, 7 16, 2 9, 8 10, 9 9, 6 2, 4 3, 4 2, 6 0, 0 0, 4 0, 2 0, 4 0, 7 0, 3 0, 1 0, 5 0, 3 0, 1 3, 6 5, 3 6, 2 4, 7 1, 2 100, 0 100, 0 81, 9 82, 4 76, 9 75, 3 75, 2 89, 5 70, 9 63, 0 71, 3 62, 8 59, 5 83, 4 11, 0 19, 4 5, 6 12, 5 15, 7 6, 1 12, 5 14, 4 12, 7 17, 7 13, 1 7, 2 2, 6 2, 1 3, 5 2, 0 4, 5 2, 1 0, 0 0, 0 0, 5 0, 1 0, 4 0, 3 1, 2 0, 3 0, 2 0, 6 0, 2 0, 1 2, 2 0, 8 5, 9 4, 5 5, 8 0, 9 100, 0 81, 6 79, 5 57, 0 71, 2 24, 6 8, 3 12, 1 14, 6 3, 5 2, 2 0, 1 0, 0 0, 5 0, 3 0, 0 0, 2 2, 2 3, 2 100, 0 68, 3 51, 8 16, 5 21, 9 3, 8 - 0, 3 0, 4 5, 3 100, 0 73, 3 85, 7 87, 3 64, 1 80, 7 82, 0 9, 2 5, 0 5, 3 19, 6 8, 2 9, 7 2, 4 1, 2 0, 5 0, 0 0, 2 0, 4 0, 1 4, 4 3, 8 1, 9 29. 02. 2017 0, 9 0, 2
Халықтың орта есеппен жан басына шаққандағы атаулы ақшалай табыстары, теңге 2015 жылғы 2016 жылғы 2 тоқсан 2015 жылғы 2 тоқсанға, пайызбен атаулы ақшалай табыстардың индексі тұтыну бағасының индексі нақты ақшалай табыстардың индексі Республика Казахстан 74 713 112, 5 116, 8 96, 3 Акмолинская 57 700 62 218 107, 8 115, 1 93, 7 Актюбинская 60 588 66 381 109, 6 117, 2 93, 5 Алматинская 55 199 57 681 104, 5 116, 1 90, 0 Атырауская 113 811 143 131 125, 8 116, 0 108, 4 Западно-Казахстанская 61 277 72 541 118, 4 116, 2 101, 9 Жамбылская 43 256 45 114 104, 3 115, 9 90, 0 Карагандинская 64 095 68 711 107, 2 114, 5 93, 6 Костанайская 54 827 62 824 114, 6 114, 4 100, 2 Кызылординская 46 097 53 468 116, 0 116, 2 99, 8 Мангистауская 99 996 119 414 119, 4 120, 5 99, 1 Южно-Казахстанская 37 544 42 042 112, 0 116, 9 95, 8 Павлодарская 66 741 72 211 108, 2 116, 0 93, 3 Северо-Казахстанская 55 114 60 511 109, 8 114, 5 95, 9 Восточно-Казахстанская 54 047 61 219 113, 3 116, 4 97, 3 г. Астана 127 730 135 575 106, 1 122, 3 86, 8 г. Алматы 109 203 121 767 143 131 111, 5 117, 8 94, 7 M 127 730 125, 8 122, 3 108, 4 Mi 7 66 401 37 544 3, 4 104, 3 1, 2 114, 4 1, 1 86, 8 1, 2 M /Mi, раз 42 042 3, 4 29. 02. 2017
Зерттелетін үй шаруашылықтарының ақшалай табыстарының құрылымы пайызбен Ақшалай табыстардағы үлесі әлеуметтік трансферттер 8 2011 I тоқсан III тоқсан IV тоқсан 2012 I тоқсан III тоқсан IV тоқсан 2013 I тоқсан III тоқсан IV тоқсан 2014 I тоқсан III тоқсан IV тоқсан 2015 I тоқсан III тоқсан IV тоқсан 2016 I тоқсан III тоқсан IV тоқсан оның ішінде Ақшала туыстарынан й өз бетінше еңбек материалдық кірістер жұмыспен АӘК және қызметіне меншіктен көмек, жалдамалы – қамтылудан және тұрғын стипендия н түскен жұмыстан түскен кіріс алименттер зейнетақы жәрдемақы барлығ кәсіпкерлік үйлік лар кірістер және өзге де кіріс ы қызметтен түскен көмек кірістер кіріс 100, 0 80, 7 69, 3 11, 4 11, 8 2, 7 0, 0 0, 5 0, 4 3, 9 100, 0 78, 6 68, 0 10, 6 12, 4 2, 9 0, 1 0, 5 0, 4 5, 1 100, 0 80, 3 68, 7 11, 6 12, 1 2, 8 0, 0 0, 5 0, 4 3, 9 100, 0 81, 7 69, 6 12, 1 11, 5 2, 5 0, 0 0, 4 0, 3 3, 6 100, 0 81, 9 70, 3 11, 6 11, 3 2, 5 0, 0 0, 5 0, 4 3, 4 100, 0 81, 3 71, 0 10, 3 11, 9 2, 6 0, 0 0, 4 3, 4 100, 0 80, 7 71, 4 9, 3 12, 3 2, 8 0, 0 0, 5 0, 3 3, 4 100, 0 81, 5 71, 4 10, 1 12, 1 2, 6 0, 0 0, 5 0, 3 3, 0 100, 0 81, 8 70, 8 11, 0 11, 7 2, 5 0, 0 0, 3 0, 4 3, 3 100, 0 81, 4 70, 5 10, 9 11, 6 2, 4 0, 0 0, 4 3, 8 100, 0 81, 2 70, 1 11, 1 12, 2 2, 5 0, 0 0, 4 0, 3 3, 4 100, 0 80, 6 70, 4 10, 2 12, 5 2, 7 0, 0 0, 4 0, 3 3, 5 100, 0 81, 2 70, 3 10, 9 12, 3 2, 6 0, 0 0, 4 0, 3 3, 2 100, 0 81, 5 69, 6 11, 9 12, 0 2, 4 0, 0 0, 3 0, 2 3, 6 100, 0 81, 4 70, 2 11, 2 12, 1 2, 3 0, 0 0, 4 0, 3 3, 5 100, 0 80, 5 69, 7 10, 8 12, 8 2, 5 0, 0 0, 5 0, 3 3, 4 100, 0 80, 2 70, 6 9, 6 13, 0 2, 6 0, 0 0, 5 0, 3 3, 4 100, 0 80, 6 69, 8 10, 8 12, 9 2, 5 0, 0 0, 5 0, 3 3, 2 100, 0 80, 6 68, 9 11, 7 12, 7 2, 4 0, 0 0, 4 0, 3 3, 2 100, 0 80, 5 69, 4 11, 1 12, 8 2, 4 0, 0 0, 5 0, 4 3, 4 100, 0 80, 1 69, 3 10, 8 13, 7 2, 5 0, 0 0, 4 2, 9 100, 0 79, 7 69, 5 10, 2 13, 7 2, 6 0, 0 0, 5 0, 3 3, 2 100, 0 80, 1 69, 4 10, 7 13, 6 2, 6 0, 0 0, 4 2, 9 100, 0 80, 0 68, 7 11, 3 13, 5 2, 4 0, 0 0, 3 3, 5 100, 0 79, 8 68, 8 11, 0 13, 7 2, 3 0, 0 0, 4 3, 4 100, 0 77, 7 68, 1 9, 6 15, 0 2, 9 0, 0 0, 5 0, 4 3, 5 100, 0 78, 4 68, 3 10, 1 14, 7 3, 0 0, 4 3, 1 100, 0 78, 4 67, 4 11, 0 14, 6 2, 7 0, 0 0, 3 0, 4 29. 02. 2017 3, 6
Халықтың орта есеппен жан басына шаққандағы атаулы ақшалай табыстарын бағалау жан басына шаққанда, теңге өткен жылға % -бен 200 200 200 200 200 201 201 201 1 2 3 4 5 6 7 8 9 0 1 2 3 4 5 Қазақста н Республи 7 8 10 12 15 19 25 32 34 39 45 51 56 62 67 120, 116, 117, 121, 123, 121, 130, 103, 117, 112, 108, 110, 108, касы 670 958 533 817 787 152 226 984 282 014 918 860 453 271 321 7 8 6 7 2 3 7 8 9 8 7 9 9 3 1 5 6 7 9 11 14 20 26 28 31 39 44 47 52 56 117, 119, 117, 118, 121, 130, 134, 131, 108, 109, 125, 114, 105, 111, 107, Ақмола 656 765 976 441 443 945 053 292 435 169 120 665 253 771 579 4 6 9 4 2 6 2 1 2 6 5 2 8 7 2 8 9 11 13 16 19 24 35 33 36 42 50 55 60 60 119, 118, 116, 121, 123, 113, 127, 141, 96, 107, 118, 108, 101, Ақтөбе 264 752 351 750 982 347 702 010 710 356 970 691 144 042 921 5 0 4 1 5 9 7 7 3 8 2 0 8 9 5 4 5 6 8 9 12 16 22 22 26 34 39 43 47 53 126, 122, 114, 124, 115, 132, 134, 135, 98, 117, 128, 114, 110, 109, 113, Алматы 685 739 594 193 486 534 838 877 588 476 077 106 352 557 860 2 5 9 2 8 1 3 9 7 2 7 8 9 7 3 19 23 27 29 39 37 50 77 81 82 100 108 110 124 123 129, 119, 135, 109, 130, 96, 133, 153, 105, 101, 121, 108, 101, 113, Атырау 509 215 371 970 197 774 363 043 146 662 022 296 188 705 202 6 0 6 5 8 4 3 0 3 9 0 3 7 298, 8 Батыс 9 12 14 15 17 17 23 35 38 43 47 53 56 62 64 141, 132, 115, 107, 116, 99, 133, 149, 109, 112, 108, 112, 106, 108, 103, Қазақстан 293 345 287 313 873 864 816 513 718 556 437 463 974 028 317 8 8 7 2 7 9 3 1 0 5 9 7 6 9 7 4 4 5 6 9 11 16 20 23 28 30 34 36 39 43 123, 122, 112, 124, 131, 130, 140, 124, 113, 120, 108, 112, 105, 108, Жамбыл 001 909 567 917 101 885 669 796 589 333 783 607 539 764 143 3 7 5 3 6 6 3 8 4 1 6 4 6 8 5 Қарағанд 8 10 11 14 15 18 24 36 37 40 48 54 59 63 66 112, 115, 113, 121, 110, 129, 149, 104, 108, 112, 109, 107, 104, ы 756 148 549 051 561 738 164 018 480 701 156 183 275 833 841 7 9 8 7 7 4 0 1 1 6 3 5 4 7 7 6 7 8 10 12 16 21 26 26 30 35 43 48 51 55 114, 113, 120, 122, 120, 131, 132, 120, 102, 113, 118, 122, 109, 107, Қостанай 239 103 573 474 558 860 319 933 514 998 918 006 633 399 0 8 7 2 0 7 0 4 3 3 0 0 3 6 3 Қызылор 5 6 7 9 12 14 18 29 31 34 41 43 46 49 49 120, 116, 118, 122, 129, 117, 129, 153, 107, 111, 120, 105, 107, да 618 535 771 553 385 602 889 052 168 653 802 931 477 998 400 1 3 9 9 6 9 4 8 3 2 6 1 8 698, 8 Маңғыста 18 20 24 29 35 38 43 62 55 59 69 79 86 102 101 126, 109, 117, 120, 121, 107, 114, 141, 89, 107, 116, 113, 108, 119, у 886 724 372 417 713 317 914 194 851 909 818 450 267 645 302 7 7 6 7 4 3 6 6 8 3 5 8 6 098, 7 Оңтүстік 3 4 5 6 8 10 14 20 21 23 26 31 33 34 35 121, 123, 112, 121, 127, 131, 132, 142, 104, 109, 115, 117, 102, 103, Қазақстан 713 586 288 433 206 790 308 320 238 280 974 600 807 688 830 8 5 8 7 6 5 6 0 5 6 9 1 0 6 3 8 9 11 13 15 17 23 34 35 38 46 53 59 64 66 115, 112, 115, 121, 117, 130, 148, 101, 108, 121, 115, 109, 108, 103, Павлодар 656 773 327 808 326 978 455 867 479 396 725 892 016 026 488 7 9 9 9 0 3 5 7 8 2 7 3 5 5 8 9 29. 02. 2017 Солтүстік 6 7 8 10 11 14 19 24 27 31 39 43 47 51 54 119, 116, 114, 123, 113, 131, 127, 113, 114, 125, 110, 108, 107, Қазақстан 117 126 145 084 405 939 033 178 413 478 416 515 256 078 653 8 5 3 8 1 0 4 8 2 4 6 1 0
2014 -2016 жылдардың 3 тоқсанындағы халықтың атаулы ақшалай табыстары 10 29. 02. 2017
11 29. 02. 2017
12 зы ло рд М а аң Оң ғы тү ст ст ау ік Қа за қс та Па н Со вл лтү од ст ар ік Қа Ш за ығ қс ы та с Қа н за қс та н Ас та на қ. Ал ма ты қ. ан ай ды ыл 0 Қы ст Қо н та ан ра ғ мб Жа қс у ыр а аз а Қа сҚ Ат ты ма Ал а ы бе тө Ақ мо л Ақ ас ли к сп уб Ре ты Ба ан қс т за Қа Халықтың тұтынуға пайдаланылған табыстары 600000 500000 2001 2002 400000 2003 2004 2005 300000 2006 2007 200000 2008 2009 2010 100000 2011 2012 2013 2014 2015 29. 02. 2017
2014 -2016 жылдардың 3 тоқсанындағы халықтың тұтыну шығыстарының құрылымы 13 29. 02. 2017
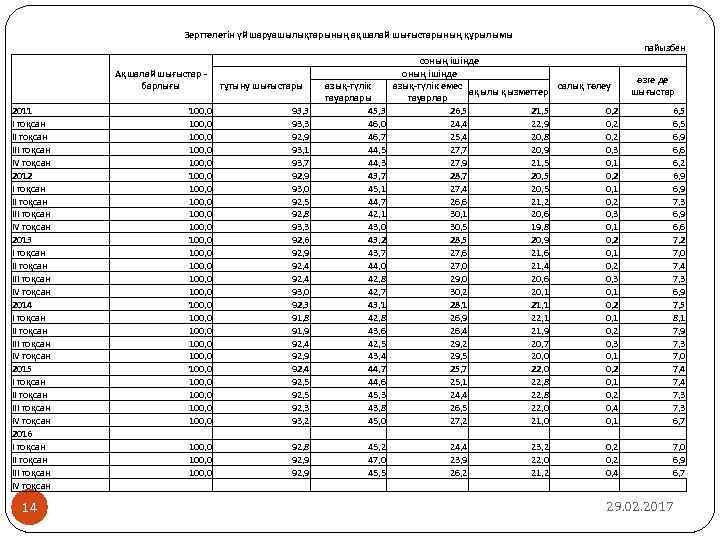
Зерттелетін үй шаруашылықтарының ақшалай шығыстарының құрылымы Ақшалай шығыстар - барлығы 2011 I тоқсан III тоқсан IV тоқсан 2012 I тоқсан III тоқсан IV тоқсан 2013 I тоқсан III тоқсан IV тоқсан 2014 I тоқсан III тоқсан IV тоқсан 2015 I тоқсан III тоқсан IV тоқсан 2016 I тоқсан III тоқсан IV тоқсан 14 тұтыну шығыстары 100, 0 100, 0 100, 0 100, 0 100, 0 100, 0 100, 0 93, 3 92, 9 93, 1 93, 7 92, 9 93, 0 92, 5 92, 8 93, 3 92, 6 92, 9 92, 4 93, 0 92, 3 91, 8 91, 9 92, 4 92, 5 92, 3 93, 2 100, 0 азық-түлік тауарлары 45, 3 46, 0 46, 7 44, 5 44, 3 43, 7 45, 1 44, 7 42, 1 43, 0 43, 2 43, 7 44, 0 42, 8 42, 7 43, 1 42, 8 43, 6 42, 5 43, 4 44, 7 44, 6 45, 3 43, 8 45, 0 92, 8 92, 9 45, 2 47, 0 45, 5 пайызбен соның ішінде өзге де салық төлеу азық-түлік емес шығыстар ақылы қызметтер тауарлар 26, 5 21, 5 0, 2 6, 5 24, 4 22, 9 0, 2 6, 5 25, 4 20, 8 0, 2 6, 9 27, 7 20, 9 0, 3 6, 6 27, 9 21, 5 0, 1 6, 2 28, 7 20, 5 0, 2 6, 9 27, 4 20, 5 0, 1 6, 9 26, 6 21, 2 0, 2 7, 3 30, 1 20, 6 0, 3 6, 9 30, 5 19, 8 0, 1 6, 6 28, 5 20, 9 0, 2 7, 2 27, 6 21, 6 0, 1 7, 0 21, 4 0, 2 7, 4 29, 0 20, 6 0, 3 7, 3 30, 2 20, 1 6, 9 28, 1 21, 1 0, 2 7, 5 26, 9 22, 1 0, 1 8, 1 26, 4 21, 9 0, 2 7, 9 29, 2 20, 7 0, 3 7, 3 29, 5 20, 0 0, 1 7, 0 25, 7 22, 0 0, 2 7, 4 25, 1 22, 8 0, 1 7, 4 24, 4 22, 8 0, 2 7, 3 26, 5 22, 0 0, 4 7, 3 27, 2 21, 0 0, 1 6, 7 24, 4 23, 2 0, 2 7, 0 23, 9 22, 0 0, 2 6, 9 26, 2 21, 2 0, 4 6, 7 29. 02. 2017
15 29. 02. 2017
16 29. 02. 2017
Халықтың тамақ өнімдерін тұтынуы айына орташа жан басына шаққанда, кг 2000 Айына орташа жан басына шаққанда халықтың тамақ өнімдерін тұтынуы Нан өнімдері және жарма өнімдері Ет және ет өнімдері 2001 2002 2003 2004 2005 2006 2007 2008 2009 2010 2011 2012 2013 2014 2015 10, 3 10, 0 10, 2 9, 7 9, 5 10, 3 10, 2 10, 1 10, 2 10, 4 10, 3 10, 4 10, 5 10, 8 3, 7 3, 8 3, 4 3, 3 3, 7 4, 1 4, 2 4, 4 5, 5 5, 6 5, 8 5, 9 6, 1 0, 4 0, 7 0, 7 0, 8 0, 9 0, 9 19, 6 19, 3 16, 7 15, 8 17, 1 17, 3 17, 0 17, 5 17, 0 19, 0 18, 4 19, 0 18, 8 19, 5 8, 5 9, 1 9, 4 9, 9 8, 8 9, 0 9, 5 10, 1 10, 0 10, 7 10, 8 12, 5 13, 0 13, 2 13, 1 13, 7 0, 9 1, 5 1, 2 1, 1 0, 9 0, 9 1, 1 1, 0 1, 6 1, 5 1, 6 1, 3 2, 9 2, 7 2, 8 3, 0 3, 4 3, 6 3, 7 3, 9 4, 0 4, 9 5, 1 5, 4 7, 2 7, 9 6, 8 6, 5 5, 9 6, 0 6, 1 6, 0 6, 3 5, 9 7, 3 7, 2 7, 5 5, 4 4, 6 4, 1 3, 9 3, 8 3, 7 3, 6 3, 5 4, 0 4, 1 4, 0 1, 8 2, 2 2, 6 2, 7 2, 4 2, 5 2, 6 2, 4 2, 5 3, 2 3, 3 3, 5 Балық және теңіз өнімдері Сүт және сүт өнімдері Жұмыртқа (дана) Май және мал Жемістер Көкөністер Қартоп Қант, джем, бал, шоколад, кондитерлік өнімдер 17 29. 02. 2017
18 29. 02. 2017
19 29. 02. 2017
20 29. 02. 2017
21 29. 02. 2017
Индикатор-лар 2001 2002 2003 2004 2005 2006 2007 2008 2009 2010 Табысы ең төменгі күнкөріс деңгейінің шамасынан төмен халықтың үлесі 1), % барлығы 46, 7 44, 5 37, 5 33, 9 31, 6 18, 2 12, 7 12, 1 8, 2 6, 5 қала 36, 0 33, 0 24, 7 23, 4 20, 2 13, 6 6, 9 8, 1 4, 1 3, 7 ауыл 59, 4 58, 4 53, 2 47, 1 45, 6 24, 4 18, 1 15, 9 12, 1 10, 1 Табысы азық-түлік қоржыны құнынан төмен халықтың үлесі 1), % барлығы 16, 1 13, 8 9, 1 6, 3 5, 2 2, 7 1, 4 1, 2 0, 6 0, 4 қала 10, 7 8, 6 4, 9 3, 9 2, 4 1, 8 0, 7 0, 6 0, 2 0, 3 ауыл 22, 6 20, 1 14, 2 9, 4 8, 5 3, 8 2, 1 1, 7 0, 9 0, 6 16 935 20 037 21 348 26 152 Үй шаруашылықтарының табыстары (тұтынуға қолданылған), орташа жан басына шаққанда, теңге 5 729 6 518 7 569 8 387 9 751 13 723 барлығы қала 6 787 7 799 8 988 9 860 11 504 16 121 19 865 23 365 25 008 30 529 ауыл 4 477 4 989 5 828 6 560 7 599 10 527 13 687 16 271 17 136 20 985 Тұтынуға пайдаланылған таыбстың күнкөрістің ең төменгі деңгейі шамасымен арасалмағы, % барлығы 101, 3 108, 6 117, 2 123, 6 128, 0 163, 2 175, 4 162, 1 168, 6 193, 9 қала 120, 0 129, 9 139, 2 145, 3 151, 0 191, 7 205, 8 189, 0 197, 5 226, 4 ауыл 79, 2 83, 1 90, 3 96, 7 99, 8 125, 2 141, 8 131, 6 135, 4 155, 6 Орташа жан басына шаққандағы халықтың ақшалай шығыстары, теңге барлығы 4 918 5 671 6 674 7 500 8 800 12 602 15 516 18 324 19 718 24 460 қала 6 255 7 267 8 424 9 349 10 990 15 535 19 172 22 569 24 220 29 755 ауыл 3 336 3 765 4 527 5 206 6 111 8 691 11 465 13 520 14 537 18 209 Үй шаруашылықтарының орта мөлшері, адам барлығы 3, 6 3, 5 3, 4 3, 3 3, 4 қала 3, 2 3, 1 3, 0 2, 9 3, 0 ауыл 22 3, 7 4, 6 4, 5 4, 3 4, 2 4, 1 3, 9 4, 0 29. 02. 2017
23 29. 02. 2017
есепті тоқсан бойынша Зейнетақының орташа мөлшері, жәрдемақы, теңге Средний размер пенсии, пособия, тенге 2014 Барлық зейнетақы алушылар 36 134 2015 39 010 2016 42 554 Өткен жылғы тиісті кезеңге пайызбен В процентах к соответствующему периоду предыдущего года 2014 112, 9 2015 108, 0 2016 109, 1 одан зейнетақы алатындар: Все получатели пенсий из них получающие пенсии: жасы бойынша (азаматтық халық) 34 781 37 587 40 606 113, 0 108, 1 108, 0 по возрасту (гражданское население) толық емес жұмыс өтіліммен 18 068 20 382 23 106 117, 1 112, 8 113, 4 при неполном стаже работы көп жылдық сіңірген еңбегіне (әлуетті құрылымдар) 70 168 75 121 89 696 112, 2 107, 1 119, 4 за выслугу лет (силовые структуры) Барлық мемлекеттік әлеуметтік жәрдемақы алушылар: 19 962 21 423 28 708 112, 5 107, 3 134, 0 Все получатели государственных социальных пособий одан жәрдемақы алатындар: из них получающие пособия: азаматтық халық гражданское население жасы бойынша 10 383 11 110 11 887 111, 3 107, 0 по возрасту мүгедектігі бойынша 20 753 22 194 29 697 112, 1 106, 9 133, 8 по инвалидности асыраушысынан (отбасынан) айырылуына байланысты 17 895 19 229 25 831 112, 0 107, 5 134, 3 по случаю потери кормильца (семьи) әлеуетті құрылымдар силовые структуры мүгедектік бойынша 26 687 35 642 112, 1 106, 7 133, 6 по инвалидности асыраушысынан (отбасынан) айырылуына байланысты 24 25 016 15 857 18 147 23 790 111, 7 114, 4 131, 1 по случаю потери кормильца (семьи) 29. 02. 2017
Қорытынды: Стратегия-2030 қабылданғаннан бері 15 жыл ішінде мемлекетіміз әлемдегі ең серпінді дамушы елдер бестігіне енді. Нәтижесінде, 2012 жылдың қорытындысы бойынша ІЖӨ-нің көлемі жағынан біз әлемнің 50 ірі экономикасының қатарына кіреміз. Сонымен қатар Қазақстан отын және минерал шикізатының ірі әлеуетін шоғырландырған шағын экономика ретінде өндірістің өңдеуші салаларына инвестициялар үшін қолайлы емес. Бұл шикізат ресурстарына жағдаяттың өзгеруіне қатысты ел экономикасын осал әрі тәуелді етеді. Әлемдік тәжірибе көрсеткендей, шикізат ресурстарына бай кейбір дамуышы елдер тұрақты экономикалық дамуға қол жеткізбей, шикізаттың әлемдік тауар нарықтарында жағдаяттың өзгерістеріне тым тәуелді болып қала береді. 25 29. 02. 2017
Пайдаланылған әдебиеттер: stat. gov. kz www. qazaquni. kz szh. kz www. Stud. Files. ru 26 29. 02. 2017
Гаухар апай слайд.pptx