ЖАСМОНАТЫ Жасмонаты синтезируются во всех растения,

Скачать презентацию ЖАСМОНАТЫ   Жасмонаты синтезируются во всех растения, Скачать презентацию ЖАСМОНАТЫ Жасмонаты синтезируются во всех растения,

ghasmonova_kislota.pptx

  • Размер: 559.1 Кб
  • Автор:
  • Количество слайдов: 7

Описание презентации ЖАСМОНАТЫ Жасмонаты синтезируются во всех растения, по слайдам

ЖАСМОНАТЫ ЖАСМОНАТЫ

 • Жасмонаты синтезируются во всех растения, водорослях и грибах  • Синтез идет • Жасмонаты синтезируются во всех растения, водорослях и грибах • Синтез идет в разных тканях растений в результате перекисного окисления С 18 и С 16 ненасыщенных жирных кислот. • Процесс начинается в хлоропластах и заканчивается в пероксисомах. Jasminum grandiflorum

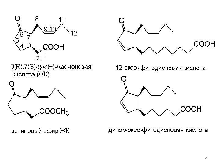
3

Физиологическая  роль. Устойчивость растений к патогенам и насекомым-фито фагам Устойчивость к осмотическому стрессуФизиологическая роль. Устойчивость растений к патогенам и насекомым-фито фагам Устойчивость к осмотическому стрессу и засухе Устойчивость к повреждению ультрафиоле- том и озоном Устойчивость к поранению и элиситорам индукция экспрессии генов в условиях биотического стрессаиндуцируют старение подавляют прорастани е семянконтролируют развитие пыльцы и растрескивани е пыльников, участвуют в регуляции формировани я клубней и луковиц, рост корня и созревания плодов

Повышение содержания жасмоновой кислоты активирует экспрессию целого каскада генов,  которые кодируют : Повышение содержания жасмоновой кислоты активирует экспрессию целого каскада генов, которые кодируют : • белки, формирующие механические барьеры в клеточной стенке на пути инфекции; • ферменты, участвующие в синтезе фитоалексинов; • ингибиторы протеаз, обеспечивающие защиту растений от повреждения насекомыми; • белки, обладающие фунгицидной активностью — тионин, осмотин.

6

7