Лебєдєв С. О. 1902 -1974 ЕОМ “СТРЕЛА”




































lecture_1_2016.ppt
- Размер: 2.9 Мб
- Автор:
- Количество слайдов: 36
Описание презентации Лебєдєв С. О. 1902 -1974 ЕОМ “СТРЕЛА” по слайдам
Лебєдєв С. О. 1902 —
ЕОМ “СТРЕЛА” 1953 рік
Apple – 1 1976 2010 (210 000 USD ) 2014 ( 910000 USD )
Apple — II
Циркулярна поляризація в астрономії NGC 6334 ( Cat’s Paw ) 0, 65 парсек Stanley Miller Harold Urey 1953 Science
GWWWGWMT MM 1~ y. AAx. AEliakim Hastings Moore 1862 -1932 Роджер Пенроуз 1931 р. н. дляy. Ax для матриці розміром. A mn mn mn властивості Узагальнення поняття “розв ’ язок”
Коректні і некоректність задачіmin. GMWM Жак Адамар 1865 -1963 1. Існування розв’язку 2. Однозначність розв’язку 3. Стійкість розв’язку 0 GMW M Жозеф Луи Лагранж 1736 -1813 MM GGУзагальнення поняття “розв ’ язок” Жак Адамар 1865 -1963 Жозеф Луи Лагранж 1736 —
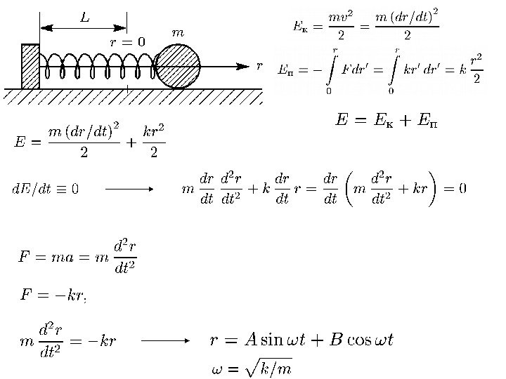
Моделі, що ґрунтуються на фундаментальних законах природи
Закон збереження енергії куля+вантаж яка це оцінка?
енергія випаровування одиниці маси речовини зміна глибини отвору енергія на цю зміну адекватність !
Закон збереження речовини атомна вага речовини модель
Закон збереження імпульсу імпульс ракети імпульс, що переданий газом мах початкова маса корисна маса структурна маса навіть за умов формула Ціолковського характеризує відношення структурної і початкової мас ракети
Варіаційні принципи принцип Ферма
( ! ) закон Снеліуса
Принцип аналогій

де де
де закон Ома
Динаміка системи “ хижак-здобич ” рівновага
Динаміка зайнятості заробітна плата чисельність зайнятих число робітників (зарплата) змінюється пропорційно змінам зарплати (числу робітників) відносно рівноважного значення ( )
Принцип ієрархії моделей
Ієрархія моделей
Ієрархія моделей або
Ієрархія моделей структурна маса ракети маса палива початкова маса ракети при ( 1 ) ( 2 ) ( 3 )
• До 17 слайда включительно – вполне возможная лекция, но с пространными отступлениями (строжайше необходима фактология!)
ti. Fcxxmexp 0 mc 0 ticticti mc F x. I 02012 0 expexpexp ti mc F x. II exp 2 0 ti. Fcxxkxmexp 0 tmkticticti ikmc F x. I 2 expexp 12112 0 22 14 mkmcде ( ? )Ієрархія моделей (адекватність — простота) Блехман , Мышкис , Пановко стр
Ієрархія моделей. HrvÌïññêìH 10050 ÌïññêìH 872 MR Rm (a) RHv. R 2 2 R K mv E 2 m EP M const v m. R R M 2 2 0 const kv R RM 22 mconstk 0 const k M R 2 022 R M Rv 3 3 4 RM 0 3 822 HR 8 32 H R M 2 dt d. R v. R dtd. RMR 2 1010 3 2 H t ( б ) або HR dt d. R t. MR
Популяційна динаміка mmmmmmm tutututufu. Du , , . . . , , 1211111 rhrukk 0, tvtrukk, mk. . . , ,
експонентне зростання Томас Роберт Мальтус 1766 —
експонентне зростання
обмежене зростання — Pierre Francois Verhulst 1804 —
Дослідження стійкості стаціонарного стану з урахуванням та або де де — довільна стала
поповнення
моделі з найменшою критичною чисельністю
моделі з найменшою критичною чисельністю
моделі з найменшою критичною чисельністю

